
Biodiv Sci ›› 2025, Vol. 33 ›› Issue (12): 25251. DOI: 10.17520/biods.2025251 cstr: 32101.14.biods.2025251
• Original Papers:Plant Diversity • Previous Articles Next Articles
Weiyu Lu1,2,3, Xu Chen1,3, Riqian Zhang1,3, Yunhai Zhang1,3, Zhao Li4,*(
)
Received:2025-07-02
Accepted:2025-11-20
Online:2025-12-20
Published:2026-01-09
Supported by:Weiyu Lu, Xu Chen, Riqian Zhang, Yunhai Zhang, Zhao Li. Effects of nitrogen and cow dung input on plant species-area relationship in a typical grassland[J]. Biodiv Sci, 2025, 33(12): 25251.
Fig. 1 Overview of experimental plots and nested sampling. This experiment primarily focuses on grazing and enclosure as the main effects, with N and cow dung addition as the secondary effects. The numbers 1-8 in the figure refer to eight 1 m × 1 m small plots for plant species sampling. The species- area relationship includes four sampling areas: 1 m2 (red), 2 m2 (yellow), 4 m2 (green), and 8 m2 (blue).
Fig. 2 Effects of N and cow dung addition on the plant species-area relationship. Linear regressions illustrate the relationship between species number and sampling area under both enclosure and grazing conditions. Four spatial scales were examined: 1 m2, 2 m2, 4 m2, and 8 m2. Four colors represent four treatments: control, N addition, cow dung addition, and combined N and cow dung addition. Solid lines indicate significant relationships (P < 0.05), and shaded areas represent 95% confidence intervals of the fitted lines.
| df | 物种数 Species number | 斜率 Slope | 截距 Intercept | 物种共存 最小面积 Amin | 地上净初级生产力 Aboveground net primary production | pH | 土壤含水量 SWC | 铵态氮含量 NH+ 4-N | 硝态氮含量 NO- 3-N | 土壤无机氮含量 SIN | |
|---|---|---|---|---|---|---|---|---|---|---|---|
| 面积 Area | 1, 191 | 954.7*** | - | - | - | - | - | - | - | - | - |
| 围封 Enclosure (E) | 1, 56 | 30.9*** | 1.7 | 28.3*** | 2.0 | 102.7*** | 33.4*** | 31.5*** | 3.1 | 0.0 | 0.0 |
| 氮添加 N addition (N) | 1, 56 | 0.1 | 0.1 | 0.0 | 0.0 | 0.0 | 0.2 | 0.4 | 0.7 | 0.8 | 0.5 |
| 牛粪添加 Cow dung addition (D) | 1, 56 | 0.2 | 0.9 | 0.7 | 2.8 | 2.3 | 0.6 | 0.2 | 5.5* | 20.7*** | 24.0*** |
| 围封 × 氮添加 E × N | 1, 56 | 0.2 | 0.0 | 0.3 | 0.3 | 4.4*** | 0.1 | 1.3 | 1.4 | 0.1 | 0.2 |
| 围封 × 牛粪添加 E × D | 1, 56 | 0.0 | 0.4 | 0.1 | 0.2 | 0.1 | 1.7 | 0.2 | 2.5 | 0.1 | 0.4 |
| 氮添加 × 牛粪添加 N × D | 1, 56 | 3.9 | 0.1 | 3.9 | 0.8 | 1.7 | 1.2 | 0.4 | 1.7 | 0.5 | 0.9 |
| E × N × D | 1, 56 | 1.7 | 1.6 | 3.6 | 2.9 | 8.0** | 0.2 | 1.3 | 1.6 | 1.5 | 0.9 |
Table 1 Variance analysis results of the effects of N and cow dung addition on plant communities and soil physicochemical properties under enclosure and grazing conditions (F-value). Amin, Minimum area for species coexistence; SWC, Soil water content. SIN, Soil inorganic nitrogen.
| df | 物种数 Species number | 斜率 Slope | 截距 Intercept | 物种共存 最小面积 Amin | 地上净初级生产力 Aboveground net primary production | pH | 土壤含水量 SWC | 铵态氮含量 NH+ 4-N | 硝态氮含量 NO- 3-N | 土壤无机氮含量 SIN | |
|---|---|---|---|---|---|---|---|---|---|---|---|
| 面积 Area | 1, 191 | 954.7*** | - | - | - | - | - | - | - | - | - |
| 围封 Enclosure (E) | 1, 56 | 30.9*** | 1.7 | 28.3*** | 2.0 | 102.7*** | 33.4*** | 31.5*** | 3.1 | 0.0 | 0.0 |
| 氮添加 N addition (N) | 1, 56 | 0.1 | 0.1 | 0.0 | 0.0 | 0.0 | 0.2 | 0.4 | 0.7 | 0.8 | 0.5 |
| 牛粪添加 Cow dung addition (D) | 1, 56 | 0.2 | 0.9 | 0.7 | 2.8 | 2.3 | 0.6 | 0.2 | 5.5* | 20.7*** | 24.0*** |
| 围封 × 氮添加 E × N | 1, 56 | 0.2 | 0.0 | 0.3 | 0.3 | 4.4*** | 0.1 | 1.3 | 1.4 | 0.1 | 0.2 |
| 围封 × 牛粪添加 E × D | 1, 56 | 0.0 | 0.4 | 0.1 | 0.2 | 0.1 | 1.7 | 0.2 | 2.5 | 0.1 | 0.4 |
| 氮添加 × 牛粪添加 N × D | 1, 56 | 3.9 | 0.1 | 3.9 | 0.8 | 1.7 | 1.2 | 0.4 | 1.7 | 0.5 | 0.9 |
| E × N × D | 1, 56 | 1.7 | 1.6 | 3.6 | 2.9 | 8.0** | 0.2 | 1.3 | 1.6 | 1.5 | 0.9 |
Fig. 3 Effects of N and cow dung addition on the slope (a), intercept (b), and minimum area for species coexistence (Amin) (c) of the plant species-area relationship (mean ± SE). Different lowercase letters indicate significant differences between treatments during enclosure (P < 0.05), while different uppercase letters indicate significant differences between treatments during grazing (P < 0.05). Asterisks denote significant differences between enclosure and grazing within the same treatment: * P < 0.05; ** P < 0.01; NS, not significant.
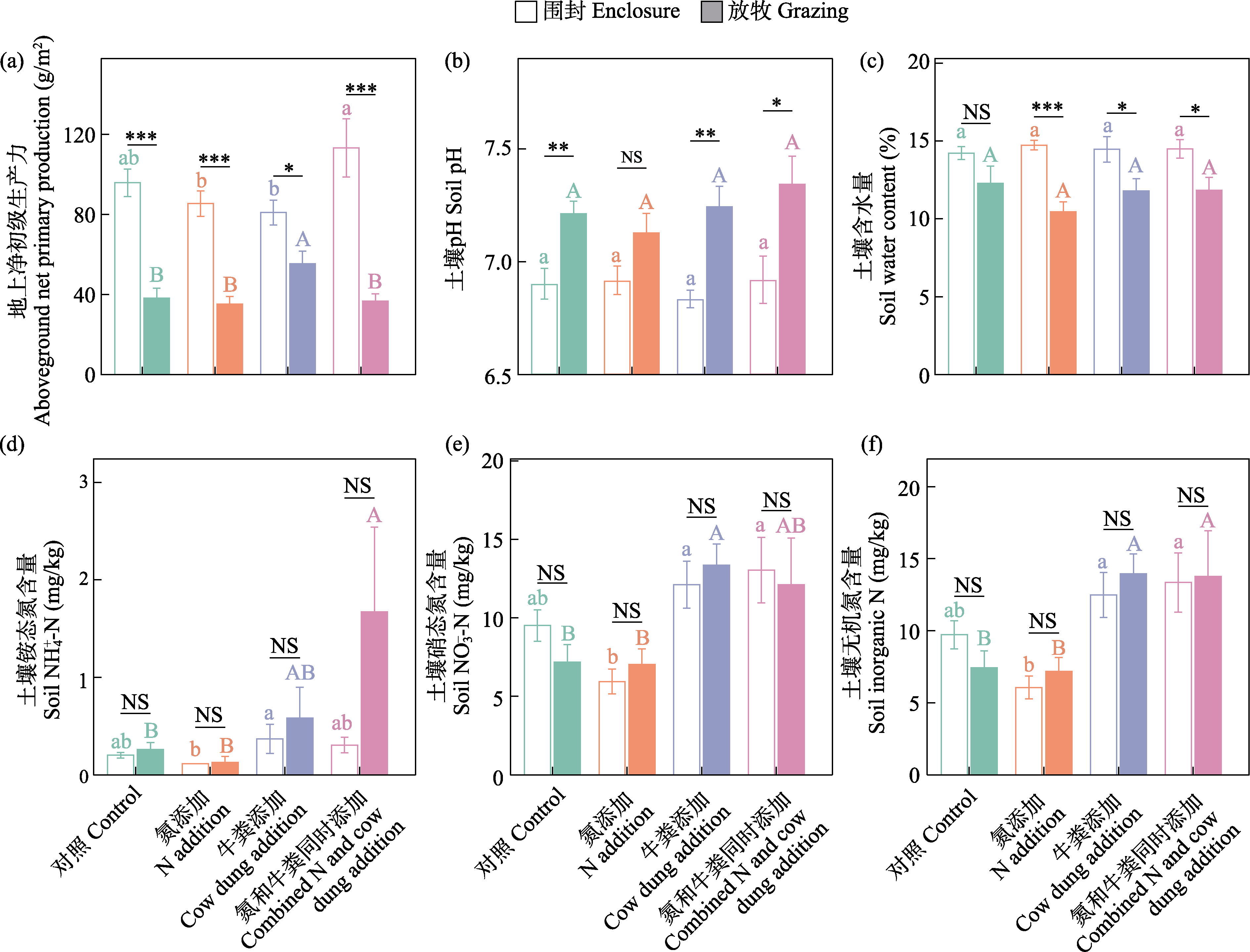
Fig. 4 Effects of cow dung and nitrogen addition on aboveground net primary productivity (a), soil pH (b), soil water content (c), soil ammonium nitrogen (NH4+-N) content (d), soil nitrate nitrogen (NO3--N) content (e), and soil inorganic nitrogen (f) (mean ± SE). Different lowercase letters indicate significant differences between treatments during enclosure (P < 0.05), while different uppercase letters indicate significant differences between treatments during grazing (P < 0.05). Asterisks denote significant differences between enclosure and grazing within the same treatment: * P < 0.05; ** P < 0.01; *** P < 0.001; NS, not significant.
Fig. 5 Structural equation models illustrating the factors influencing the slope (a), intercept (b), and minimum area for species coexistence (Amin) (c) of the species-area relationship. SWC, Soil water content. Black arrows represent positive effects, while red arrows represent negative effects. * P < 0.05; ** P < 0.01; *** P < 0.001. RMSEA (root mean square error of approximation) is used to evaluate the model fit.
| [1] | Allbee SA, Rogers HS, Sullivan LL (2023) The effects of dispersal, herbivory, and competition on plant community assembly. Ecology, 104, e3859. |
| [2] |
Arrhenius O (1921) Species and area. Journal of Ecology, 9, 95-99.
DOI URL |
| [3] |
Bai YF, Wu JG, Clark CM, Naeem S, Pan QM, Huang JH, Zhang LX, Han XG (2010) Tradeoffs and thresholds in the effects of nitrogen addition on biodiversity and ecosystem functioning: Evidence from Inner Mongolia grasslands. Global Change Biology, 16, 358-372.
DOI URL |
| [4] |
Borer ET, Seabloom EW, Gruner DS, Harpole WS, Hillebrand H, Lind EM, Adler PB, Alberti J, Anderson TM, Bakker JD, Biederman L, Blumenthal D, Brown CS, Brudvig LA, Buckley YM, Cadotte M, Chu CJ, Cleland EE, Crawley MJ, Daleo P, Damschen EI, Davies KF, DeCrappeo NM, Du GZ, Firn J, Hautier Y, Heckman RW, Hector A, HilleRisLambers J, Iribarne O, Klein JA, Knops JMH, La Pierre KJ, Leakey ADB, Li W, MacDougall AS, McCulley RL, Melbourne BA, Mitchell CE, Moore JL, Mortensen B, O’Halloran LR, Orrock JL, Pascual J, Prober SM, Pyke DA, Risch AC, Schuetz M, Smith MD, Stevens CJ, Sullivan LL, Williams RJ, Wragg PD, Wright JP, Yang LH (2014) Herbivores and nutrients control grassland plant diversity via light limitation. Nature, 508, 517-520.
DOI |
| [5] |
Chase JM, McGill BJ, McGlinn DJ, May F, Blowes SA, Xiao X, Knight TM, Purschke O, Gotelli NJ (2018) Embracing scale-dependence to achieve a deeper understanding of biodiversity and its change across communities. Ecology Letters, 21, 1737-1751.
DOI PMID |
| [6] |
Chase JM, McGill BJ, Thompson PL, Antão LH, Bates AE, Blowes SA, Dornelas M, Gonzalez A, Magurran AE, Supp SR, Winter M, Bjorkman AD, Bruelheide H, Byrnes JEK, Cabral JS, Elahi R, Gomez C, Guzman HM, Isbell F, Myers-Smith IH, Jones HP, Hines J, Vellend M, Waldock C, O’Connor M (2019) Species richness change across spatial scales. Oikos, 128, 1079-1091.
DOI |
| [7] |
Chen X, Lu HN, Ren ZR, Zhang YQ, Liu RX, Zhang YH, Han XG (2024) Reproductive height determines the loss of clonal grasses with nitrogen enrichment in a temperate grassland. Plant Diversity, 46, 256-264.
DOI |
| [8] |
Cheng JW, Li FY, Wang YD, Wang YN, Liu XM, Zhang JZ, Wang ZY, Li YL, Wang H, Yang ZP, Potter MA (2022) Dweller and tunneler dung beetles synergistically accelerate decomposition of cattle and horse dung in a semi-arid steppe. Agriculture, Ecosystems & Environment, 329, 107873.
DOI URL |
| [9] |
Dengler J, Matthews TJ, Steinbauer MJ, Wolfrum S, Boch S, Chiarucci A, Conradi T, Dembicz I, Marcenò C, García-Mijangos I, Nowak A, Storch D, Ulrich W, Campos JA, Cancellieri L, Carboni M, Ciaschetti G, De Frenne P, Dolezal J, Dolnik C, Essl F, Fantinato E, Filibeck G, Grytnes JA, Guarino R, Güler B, Janišová M, Klichowska E, Kozub Ł, Kuzemko A, Manthey M, Mimet A, Naqinezhad A, Pedersen C, Peet RK, Pellissier V, Pielech R, Potenza G, Rosati L, Terzi M, Valkó O, Vynokurov D, White H, Winkler M, Biurrun I (2020) Species-area relationships in continuous vegetation: Evidence from Palaearctic grasslands. Journal of Biogeography, 47, 72-86.
DOI URL |
| [10] |
Devault M, Woolf D, Lehmann J (2025) Nutrient recycling potential of excreta for global crop and grassland production. Nature Sustainability, 8, 99-111.
DOI |
| [11] |
Dong SK, Tang L, Wang XX, Liu YH, Liu SL, Liu QR, Wu Y, Li YY, Su XK, Zhao C (2013) Minimum plot size for estimating plant biodiversity of the alpine grasslands on the Qinghai-Tibetan Plateau. Biodiversity Science, 21, 651-657. (in Chinese with English abstract)
DOI |
|
[董世魁, 汤琳, 王学霞, 刘颖慧, 刘世梁, 刘全儒, 吴娱, 李媛媛, 苏旭坤, 赵晨 (2013) 青藏高原高寒草地植物多样性测定的最小样地面积. 生物多样性, 21, 651-657.]
DOI |
|
| [12] |
Du EZ, Terrer C, Pellegrini AFA, Ahlström A, van Lissa CJ, Zhao X, Xia N, Wu XH, Jackson RB (2020) Global patterns of terrestrial nitrogen and phosphorus limitation. Nature Geoscience, 13, 221-226.
DOI |
| [13] | Du ZY, Cai YJ, Wang XD, Zhang B, Du Z (2019) Research progress on grazing livestock dung decomposition and its influence on the dynamics of grassland soil nutrients. Acta Ecologica Sinica, 39, 4627-4637. (in Chinese with English abstract) |
| [杜子银, 蔡延江, 王小丹, 张斌, 杜忠 (2019) 放牧牲畜粪便降解及其对草地土壤养分动态的影响研究进展. 生态学报, 39, 4627-4637.] | |
| [14] |
Elser JJ, Bracken MES, Cleland EE, Gruner DS, Harpole WS, Hillebrand H, Ngai JT, Seabloom EW, Shurin JB, Smith JE (2007) Global analysis of nitrogen and phosphorus limitation of primary producers in freshwater, marine and terrestrial ecosystems. Ecology Letters, 10, 1135-1142.
DOI PMID |
| [15] |
Eskelinen A, Harpole WS, Jessen MT, Virtanen R, Hautier Y (2022) Light competition drives herbivore and nutrient effects on plant diversity. Nature, 611, 301-305.
DOI |
| [16] |
Gao D, Wang YP (2023) A review of the small-island effect detection methods and method advancement. Biodiversity Science, 31, 23299. (in Chinese with English abstract)
DOI |
|
[高德, 王彦平 (2023) 小岛屿效应检测方法研究进展. 生物多样性, 31, 23299.]
DOI |
|
| [17] |
Harpole WS, Ngai JT, Cleland EE, Seabloom EW, Borer ET, Bracken MES, Elser JJ, Gruner DS, Hillebrand H, Shurin JB, Smith JE (2011) Nutrient co-limitation of primary producer communities. Ecology Letters, 14, 852-862.
DOI PMID |
| [18] |
Harpole WS, Sullivan LL, Lind EM, Firn J, Adler PB, Borer ET, Chase J, Fay PA, Hautier Y, Hillebrand H, MacDougall AS, Seabloom EW, Williams R, Bakker JD, Cadotte MW, Chaneton EJ, Chu CJ, Cleland EE, D’Antonio C, Davies KF, Gruner DS, Hagenah N, Kirkman K, Knops JMH, La Pierre KJ, McCulley RL, Moore JL, Morgan JW, Prober SM, Risch AC, Schuetz M, Stevens CJ, Wragg PD (2016) Addition of multiple limiting resources reduces grassland diversity. Nature, 537, 93-96.
DOI |
| [19] | Jiang SC, Zhou DW (2006) The impact of cattle dung deposition on grasslands in the Songnen Grassland. Acta Prataculturae Sinica, 15(4), 30-35. (in Chinese with English abstract) |
| [姜世成, 周道玮 (2006) 牛粪堆积对草地影响的研究. 草业学报, 15(4), 30-35.] | |
| [20] | Keller AB, Walter CA, Blumenthal DM, Borer ET, Collins SL, DeLancey LC, Fay PA, Hofmockel KS, Knops JMH, Leakey ADB, Mayes MA, Seabloom EW, Hobbie SE (2023) Stronger fertilization effects on aboveground versus belowground plant properties across nine U.S. grasslands. Ecology, 104, e3891. |
| [21] |
Kimmel K, Furey GN, Hobbie SE, Isbell F, Tilman D, Reich PB (2020) Diversity-dependent soil acidification under nitrogen enrichment constrains biomass productivity. Global Change Biology, 26, 6594-6603.
DOI URL |
| [22] |
Lan ZC, Jenerette GD, Zhan SX, Li WH, Zheng SX, Bai YF (2015) Testing the scaling effects and mechanisms of N-induced biodiversity loss: Evidence from a decade-long grassland experiment. Journal of Ecology, 103, 750-760.
DOI URL |
| [23] |
Lefcheck JS (2016) piecewiseSEM: Piecewise structural equation modelling in R for ecology, evolution, and systematics. Methods in Ecology and Evolution, 7, 573-579.
DOI URL |
| [24] |
Liu D, Wang ZL, Liu KF, Zhang S, Yang FL, Li J, Liu F, Bao D, Che RX (2024) Dung-soil microbial community coalescence can exert dual effects on alpine grasslands through changing soil microbiomes. Journal of Soils and Sediments, 24, 874-887.
DOI |
| [25] |
Liu XM, Chen HY, Zheng R, Wuyun, Arengaowa, Wang RR (2011) Decomposition of sheep and cattle dung in a steppe in Inner Mongolia, China. Chinese Journal of Applied and Environmental Biology, 17, 791-796. (in Chinese with English abstract)
DOI URL |
| [刘新民, 陈海燕, 峥嵘, 乌云, 阿仁高娃, 王润润 (2011) 内蒙古典型草原羊粪和牛粪的分解特征. 应用与环境生物学报, 17, 791-796.] | |
| [26] | Liu Y, Men MX, Peng ZP, Houx JH III, Peng YF (2022) Nitrogen availability determines ecosystem productivity in response to climate warming. Ecology, 103, e3823. |
| [27] |
Lu WY, Zhang YQ, Chen X, Ren ZR, Lu HN, Liu RX, Zhang YH (2024) Similar effects of seasonal nitrogen enrichment on plant species-area relationship in a temperate grassland. Ecological Indicators, 158, 111430.
DOI URL |
| [28] |
Midolo G, Alkemade R, Schipper AM, Benítez-López A, Perring MP, De Vries W (2019) Impacts of nitrogen addition on plant species richness and abundance: A global meta-analysis. Global Ecology and Biogeography, 28, 398-413.
DOI URL |
| [29] |
Namuhan, Wang J, Yang JG, Song YT, Yu YG, Wang JD, Wang XG, Shi YP, Shen Y, Han XG, Wuyunna , Zhang HY (2024) Mechanisms of biodiversity loss under nitrogen enrichment: Unveiling a shift from light competition to cation toxicity. New Phytologist, 243, 1966-1979.
DOI PMID |
| [30] | Pinheiro JC, Bates DM, R Core Team(2020) Linear and Nonlinear Mixed Effects Models. R Package nlme Version, 3.1-151. |
| [31] |
Preston FW (1960) Time and space and the variation of species. Ecology, 41, 611-627.
DOI URL |
| [32] | R Core Team (2014) R: A Language and Environment for Statistical Computing. R Foundation for Statistical Computing, Vienna, Austria. |
| [33] |
Seabloom EW, Batzer E, Chase JM, Stanley Harpole W, Adler PB, Bagchi S, Bakker JD, Barrio IC, Biederman L, Boughton EH, Bugalho MN, Caldeira MC, Catford JA, Daleo P, Eisenhauer N, Eskelinen A, Haider S, Hallett LM, Svala Jónsdóttir I, Kimmel K, Kuhlman M, MacDougall A, Molina CD, Moore JL, Morgan JW, Muthukrishnan R, Ohlert T, Risch AC, Roscher C, Schütz M, Sonnier G, Tognetti PM, Virtanen R, Wilfahrt PA, Borer ET (2021) Species loss due to nutrient addition increases with spatial scale in global grasslands. Ecology Letters, 24, 2100-2112.
DOI PMID |
| [34] |
Stevens CJ, Dise NB, Mountford JO, Gowing DJ (2004) Impact of nitrogen deposition on the species richness of grasslands. Science, 303, 1876-1879.
PMID |
| [35] | Sun H, Yu YW, Ma XL, Mu XM, Zhang HM, Liao JF, Hou FJ (2014) Effects of animal dung deposition on grassland nutrients and botanical composition in mixed Lolium perenne and Trifolium repens pasture in Guizhou Plateau. Pratacultural Science, 31, 488-498. (in Chinese with English abstract) |
| [孙红, 于应文, 马向丽, 牟晓明, 张红梅, 廖加法, 侯扶江 (2014) 畜粪沉积对贵州高原黑麦草 + 白三叶草地养分和植被构成的影响. 草业科学, 31, 488-498.] | |
| [36] | Suttie JM, Reynolds SG, Batello C (2005) Grasslands of the World. Plant Production and Protection Series No. 34. Food and Agriculture Organization of the United Nations, Rome. |
| [37] |
Taddesse G, Peden D, Abiye A, Wagnew A (2003) Effect of manure on grazing lands in Ethiopia, East African highlands. Mountain Research and Development, 23, 156-160.
DOI URL |
| [38] |
Tian DS, Niu SL (2015) A global analysis of soil acidification caused by nitrogen addition. Environmental Research Letters, 10, 024019.
DOI URL |
| [39] |
Tjørve E (2003) Shapes and functions of species-area curves: A review of possible models. Journal of Biogeography, 30, 827-835.
DOI URL |
| [40] |
Valdés-Correcher E, Sitters J, Wassen M, Brion N, Olde Venterink H (2019) Herbivore dung quality affects plant community diversity. Scientific Reports, 9, 5675.
DOI PMID |
| [41] | Valliere JM, Irvine IC, Allen EB (2024) Nitrogen deposition suppresses ephemeral post-fire plant diversity. Global Change Biology, 30, e17117. |
| [42] | van der Plas F, Hautier Y, Ceulemans T, Alard D, Bobbink R, Diekmann M, Dise NB, Dorland E, Dupré C, Gowing D, Stevens C (2024) Atmospheric nitrogen deposition is related to plant biodiversity loss at multiple spatial scales. Global Change Biology, 30, e17445. |
| [43] |
Verma P, Sagar R, Giri N, Patel R, Verma H, Singh DK, Kumar K (2015) Variations in soil properties, species composition, diversity and biomass of herbaceous species due to ruminant dung residue in a seasonally dry tropical environment of India. Tropical Grasslands-Forrajes Tropicales, 3, 112-128.
DOI URL |
| [44] |
Wang SL, Hou FJ (2021) Seed bank of livestock dung in the Qilian Mountain grassland: A potential resource for vegetation recovery. Rangeland Ecology & Management, 78, 90-99.
DOI URL |
| [45] |
Xie YQ, Huang H, Wang CX, He YQ, Jiang YX, Liu ZL, Deng CY, Zheng YS (2023) Determinants of species-area relationship and species richness of coastal endemic plants in the Fujian islands. Biodiversity Science, 31, 22345. (in Chinese with English abstract)
DOI |
|
[谢艳秋, 黄晖, 王春晓, 何雅琴, 江怡萱, 刘子琳, 邓传远, 郑郁善 (2023) 福建海岛滨海特有植物种-面积关系及物种丰富度决定因素. 生物多样性, 31, 22345.]
DOI |
|
| [46] |
Yu GR, Jia YL, He NP, Zhu JX, Chen Z, Wang QF, Piao SL, Liu XJ, He HL, Guo XB, Wen Z, Li P, Ding G, Goulding K (2019) Stabilization of atmospheric nitrogen deposition in China over the past decade. Nature Geoscience, 12, 424-429.
DOI |
| [47] |
Zhang YH, Loreau M, Lü XT, He NP, Zhang GM, Han XG (2016) Nitrogen enrichment weakens ecosystem stability through decreased species asynchrony and population stability in a temperate grassland. Global Change Biology, 22, 1445-1455.
DOI PMID |
| [48] |
Zhang YH, Lü XT, Isbell F, Stevens C, Han X, He NP, Zhang GM, Yu Q, Huang JH, Han XG (2014) Rapid plant species loss at high rates and at low frequency of N addition in temperate steppe. Global Change Biology, 20, 3520-3529.
DOI PMID |
| [49] |
Zhang YJ, Zhu JT, Shen RN, Wang L (2020) Research progress on the effects of grazing on grassland ecosystem. Chinese Journal of Plant Ecology, 44, 553-564. (in Chinese with English abstract)
DOI URL |
|
[张扬建, 朱军涛, 沈若楠, 王荔 (2020) 放牧对草地生态系统影响的研究进展. 植物生态学报, 44, 553-564.]
DOI |
|
| [50] |
Zhou XL, Liu XD, Zhang PF, Guo Z, Du GZ (2019) Increased community compositional dissimilarity alleviates species loss following nutrient enrichment at large spatial scales. Journal of Plant Ecology, 12, 376-386.
DOI |
| [51] |
Zhu JX, Jia YL, Yu GR, Wang QF, He NP, Chen Z, He HL, Zhu XJ, Li P, Zhang FS, Liu XJ, Goulding K, Fowler D, Vitousek P (2025) Changing patterns of global nitrogen deposition driven by socio-economic development. Nature Communications, 16, 46.
DOI |
| [1] | Yafei Shi, Furong Niu, Xiaomin Huang, Xing Hong, Xiangwen Gong, Yanli Wang, Dong Lin, Xiaoni Liu. Interpretable machine learning and its applications in ecology [J]. Biodiv Sci, 2026, 34(1): 25210-. |
| [2] | Shuai Li, Weihua Liu, Yudan Xu, Xiaobo Tian, Houjuan Song, Xiaoting Yue, Lingling Wu, Qing Zhang, Tieliang Shanguan. A dataset on inventory and geographical distributions of vascular plants in Shanxi, China [J]. Biodiv Sci, 2025, 33(7): 24317-. |
| [3] | Qinwen Lin, Na Zhang, Qiang Wang. A dataset on inventory and geographical distribution of halophytes of China [J]. Biodiv Sci, 2025, 33(7): 25030-. |
| [4] | Quanfeng Yang, Yanjie Tang, Haijun Xiao, Ying Wang, Rong Zhang, Fang Ouyang, Shuhua Wei. Cascading effects of plant diversity-grasshoppers-carabids and their impacts on primary productivity across grassland types of Ningxia, China [J]. Biodiv Sci, 2025, 33(6): 25021-. |
| [5] | Xie Gan, Xuan Jing, Fu Qidi, Wei Ze, Xue Kai, Luo Hairui, Gao Jixi, Li Min. Establishing an intelligent identification model for unmanned aerial vehicle surveys of grassland plant diversity [J]. Biodiv Sci, 2025, 33(4): 24236-. |
| [6] | Song Wei, Cheng Cai, Wang Jiawei, Wu Jihua. Soil microbes regulate the relationships between plant diversity and ecosystem functions [J]. Biodiv Sci, 2025, 33(4): 24579-. |
| [7] | Zhang Haobin, Xiao Lu, Liu Yanjie. Effects of artificial light at night on the diversity and growth of invasive alien and native plants [J]. Biodiv Sci, 2025, 33(4): 24553-. |
| [8] | Zhou Zhihua, Jin Xiaohua, Luo Ying, Li Diqiang, Yue Jianbing, Liu Fang, He Tuo, Li Xi, Dong Hui, Luo Peng. Analyses and suggestions on mechanisms of forestry and grassland administrations in China to achieve targets of Kunming-Montreal Global Biodiversity Framework [J]. Biodiv Sci, 2025, 33(3): 24487-. |
| [9] | Wu Yuxuan, Wang Ping, Hu Xiaosheng, Ding Yi, Peng Tiantian, Zhi Qiuying, Bademu Qiqige, Li Wenjie, Guan Xiao, Li Junsheng. Evaluation of grassland degradation status and vegetation characteristics changes in Hulunbuir [J]. Biodiv Sci, 2025, 33(2): 24118-. |
| [10] | Donghong Li, Yuanyuan Hao, Huilin Gan, Hang Zhang, Yaomeng Liu, Fuyuan Ta, Guixin Hu. Distribution of grasshoppers (Orthoptera: Acridoidea) in different grassland types across the middle zone of the northern Qilian Mountains, western China [J]. Biodiv Sci, 2024, 32(9): 24119-. |
| [11] | Xingyuan Yin, Hui An, Binbin Xing, Shiyu Su, Zhilin Wen, Jianchao Guo, Xiaoping Liu, Bo Wang. Effects of nutrient addition and precipitation changes on the stability of aboveground and belowground biomass in desert grassland [J]. Biodiv Sci, 2024, 32(7): 24073-. |
| [12] | Yixin Sun, Chunyu Hou, Lei Zhou, Xue Wei, Jinhao Ma, Juan Xue, Xiaohan Li, Pengfei Wu. Effects of annual and perennial potted legume forages on soil nematode communities in the Qinghai-Xizang Plateau [J]. Biodiv Sci, 2024, 32(7): 24040-. |
| [13] | Jiali Lian, Jing Chen, Xueqin Yang, Ying Zhao, Xu Luo, Cui Han, Yaxin Zhao, Jianping Li. Responses of desert steppe plant diversity and microbial diversity to precipitation change [J]. Biodiv Sci, 2024, 32(6): 24044-. |
| [14] | Jianwei Cheng, Manhou Xu, Yongjing Dou, Yadong Wang, Yanan Wang, Xinmin Liu, Frank Yonghong Li. Seasonal dynamics of arthropod communities during horse dung decomposition in Inner Mongolian grasslands [J]. Biodiv Sci, 2024, 32(6): 24018-. |
| [15] | Yongcai Wang, Huawei Wan, Jixi Gao, Zhuowei Hu, Chenxi Sun, Na Lü, Zhiru Zhang. Identification of common native grassland plants in northern China using deep learning [J]. Biodiv Sci, 2024, 32(4): 23435-. |
| Viewed | ||||||
|
Full text |
|
|||||
|
Abstract |
|
|||||
Copyright © 2026 Biodiversity Science
Editorial Office of Biodiversity Science, 20 Nanxincun, Xiangshan, Beijing 100093, China
Tel: 010-62836137, 62836665 E-mail: biodiversity@ibcas.ac.cn