
Biodiv Sci ›› 2025, Vol. 33 ›› Issue (2): 24118. DOI: 10.17520/biods.2024118 cstr: 32101.14.biods.2024118
• Original Papers: Plant Diversity • Previous Articles Next Articles
Wu Yuxuan1, Wang Ping2, Hu Xiaosheng2, Ding Yi2, Peng Tiantian1, Zhi Qiuying1,3, Bademu Qiqige2, Li Wenjie1, Guan Xiao1, Li Junsheng2,*(
)
Received:2024-03-29
Accepted:2024-09-19
Online:2025-02-20
Published:2025-03-17
Contact:
*E-mail: Supported by:Wu Yuxuan, Wang Ping, Hu Xiaosheng, Ding Yi, Peng Tiantian, Zhi Qiuying, Bademu Qiqige, Li Wenjie, Guan Xiao, Li Junsheng. Evaluation of grassland degradation status and vegetation characteristics changes in Hulunbuir[J]. Biodiv Sci, 2025, 33(2): 24118.
Fig. 1 Degradation status of Hulunbuir grassland in 2023. ND, Non-degraded grassland; LD, Lightly degraded grassland; MD, Moderately degraded grassland; SD, Severely degraded grassland; ED, Extremely degraded grassland. Numbers in the figure represent the plot code.
| 退化等级 Degradation grade | 样地编号 Plot code |
|---|---|
| ND | 6, 13, 34, 36, 40, 51, 52, 53, 59, 62, 64, 65, 74, 81, 82 |
| LD | 12, 14, 24, 26, 27, 29, 37, 42, 45, 58, 79, 83 |
| MD | 1, 3, 19, 23, 25, 30, 31, 47, 56, 57, 60 |
| SD | 10, 11, 21, 28, 41, 43, 44, 46, 50, 54, 61, 63, 67, 80 |
| ED | 8, 9, 16, 17, 18, 22, 32, 33, 35, 38, 39, 49 |
Table 1 Degradation grade table of sample plots. ND, Non-degraded grassland; LD, Lightly degraded grassland; MD, Moderately degraded grassland; SD, Severely degraded grassland; ED, Extremely degraded grassland.
| 退化等级 Degradation grade | 样地编号 Plot code |
|---|---|
| ND | 6, 13, 34, 36, 40, 51, 52, 53, 59, 62, 64, 65, 74, 81, 82 |
| LD | 12, 14, 24, 26, 27, 29, 37, 42, 45, 58, 79, 83 |
| MD | 1, 3, 19, 23, 25, 30, 31, 47, 56, 57, 60 |
| SD | 10, 11, 21, 28, 41, 43, 44, 46, 50, 54, 61, 63, 67, 80 |
| ED | 8, 9, 16, 17, 18, 22, 32, 33, 35, 38, 39, 49 |
Fig. 3 Radar map of plant importance values at different stages of degradation gassland. ND, Non-degraded grassland; LD, Lightly degraded grassland; MD, Moderately degraded grassland; SD, Severely degraded grassland; ED, Extremely degraded grassland.
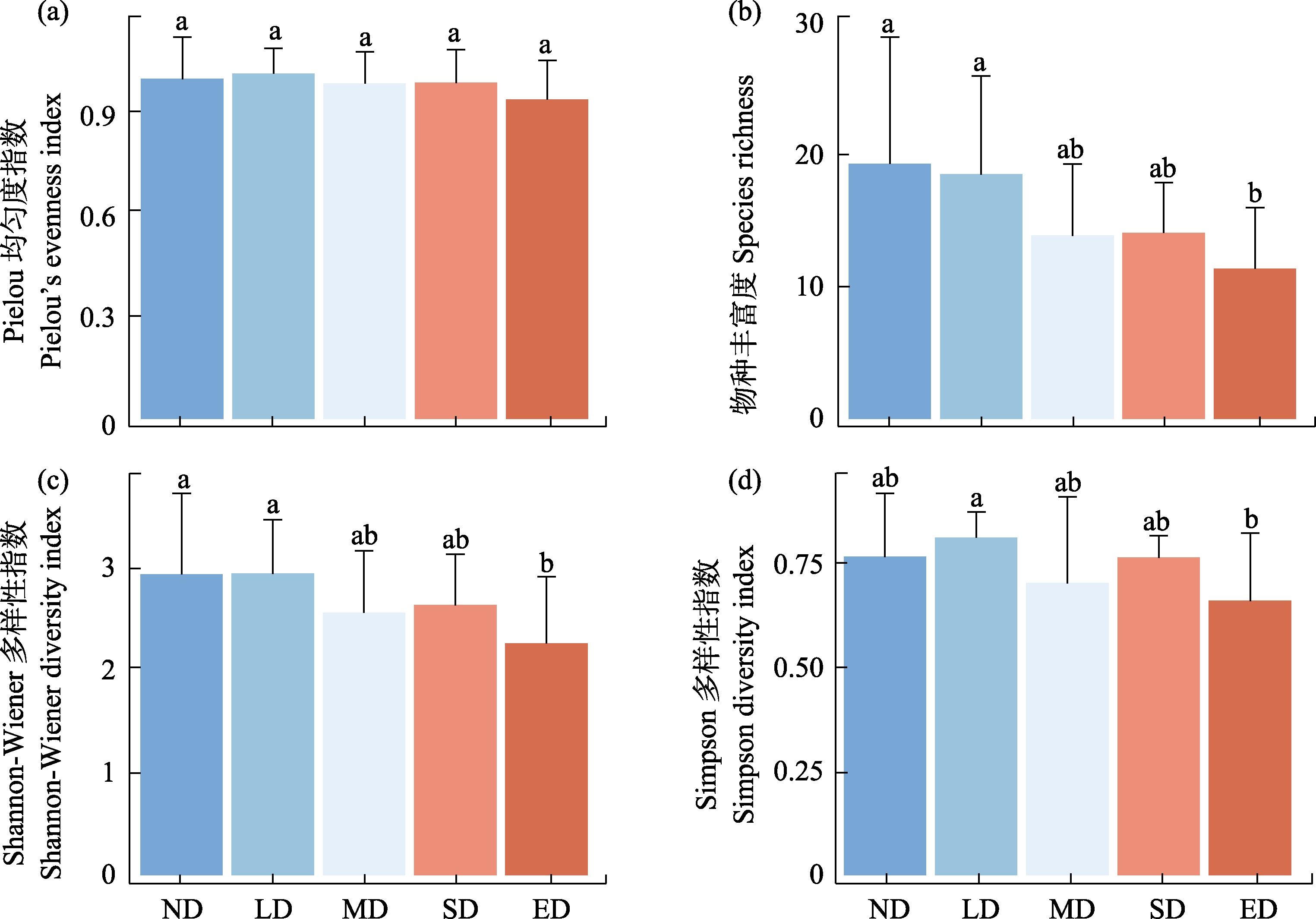
Fig. 4 Comparison of plant diversity indices at different stages of degradation grassland (mean ± SD). ND, Non-degraded grassland; LD, Lightly degraded grassland; MD, Moderately degraded grassland; SD, Severely degraded grassland; ED, Extremely degraded grassland. Different lowercase letters indicate significant differences (P < 0.05).
Fig. 5 Comparison of aboveground biomass, bellowground biomass and litter at different stages of degradation grassland (mean ± SD). ND, Non-degraded grassland; LD, Lightly degraded grassland; MD, Moderately degraded grassland; SD, Severely degraded grassland; ED, Extremely degraded grassland. Different lowercase letters indicate significant differences (P < 0.05).
Fig. 6 Plots of plant functional group biomass proportions at different stages of degradation grassland. ND, Non-degraded grassland; LD, Lightly degraded grassland; MD, Moderately degraded grassland; SD, Severely degraded grassland; ED, Extremely degraded grassland.
Fig. 7 Non-metric multidimensional scaling analysis of vegetation distribution at different degradation grassland. ND, Non-degraded grassland; LD, Lightly degraded grassland; MD, Moderately degraded grassland; SD, Severely degraded grassland; ED, Extremely degraded grassland.
| [1] | Angassa A (2014) Effects of grazing intensity and bush encroachment on herbaceous species and rangeland condition in southern Ethiopia. Land Degradation & Development, 25, 438-451. |
| [2] |
Auffret AG, Kimberley A, Plue J, Waldén E (2018) Super-regional land-use change and effects on the grassland specialist flora. Nature Communications, 9, 3464.
DOI PMID |
| [3] |
Bai YF, Wu JG, Xing Q, Pan QM, Huang JH, Yang DL, Han XG (2008) Primary production and rain use efficiency across a precipitation gradient on the Mongolia Plateau. Ecology, 89, 2140-2153.
PMID |
| [4] | Bardgett RD, Bullock JM, Lavorel S, Manning P, Schaffner U, Ostle N, Chomel M, Durigan G, Fry EL, Johnson D, Lavallee JM, Le Provost G, Luo S, Png K, Sankaran M, Hou XY, Zhou HK, Ma L, Ren WB, Li XL, Ding Y, Li YH, Shi HX (2021) Combatting global grassland degradation. Nature Reviews Earth & Environment, 2, 720-735. |
| [5] | Chen Y, Yin PD, Chen W, Pan WJ (2013) Progress of mechanism model in plant photosynthate allocation. Plant Physiology Journal, 49, 425-436. (in Chinese with English abstract) |
| [ 陈懿, 尹鹏达, 陈伟, 潘文杰 (2013) 植物光合产物分配的机理模型的研究进展. 植物生理学报, 49, 425-436.] | |
| [6] | Craine JM, Dybzinski R (2013) Mechanisms of plant competition for nutrients, water and light. Functional Ecology, 27, 833-840. |
| [7] |
Craine JM, Morrow C, Stock WD (2008) Nutrient concentration ratios and co-limitation in South African grasslands. New Phytologist, 179, 829-836.
DOI PMID |
| [8] | Delecti Florae Reipublicae Popularis Sinicae Agendae Academiae Sinicae (2004) Flora Reipublicae Popularis Sinicae. Science Press, Beijing. (in Chinese) |
| [ 中国科学院中国植物志编辑委员会 (2004) 中国植物志. 科学出版社, 北京.] | |
| [9] | Dudenhöffer JH, Luecke NC, Crawford KM (2022) Changes in precipitation patterns can destabilize plant species coexistence via changes in plant-soil feedback. Nature Ecology & Evolution, 6, 546-554. |
| [10] | Fu ZY, Jiang H, Wang GQ, A YL, Xue BL, Wang HQ (2018) Effects of soil properties on plant community structure in a semi-arid grassland. Chinese Journal of Ecology, 37, 823-830. (in Chinese with English abstract) |
| [ 傅致远, 姜宏, 王国强, 阿膺兰, 薛宝林, 王红旗 (2018) 半干旱草原区土壤性质对植物群落结构的影响. 生态学杂志, 37, 823-830.] | |
| [11] | Gan S, Xiao Y, Xu J, Wang YY, Yu FQ, Xie GD (2019) Comprehensive cost-benefit evaluation of the Hulunbuir grassland meadow ecological function area. Acta Ecologica Sinica, 39, 5874-5884. (in Chinese with English abstract) |
| [ 甘爽, 肖玉, 徐洁, 王洋洋, 余付勤, 谢高地 (2019) 呼伦贝尔草原草甸生态功能区建设效益评价. 生态学报, 39, 5874-5884.] | |
| [12] | Han GD, Jiao SY, Biligetu, Aodenggaowa (2007) Effects of plant species diversity and productivity under different stocking rates in the Stipa breviflora Griseb. desert steppe. Acta Ecologica Sinica, 27, 182-188. (in Chinese with English abstract) |
| [ 韩国栋, 焦树英, 毕力格图, 敖登高娃 (2007) 短花针茅草原不同载畜率对植物多样性和草地生产力的影响. 生态学报, 27 182-188.] | |
| [13] | Han X, Li YH, Du XF, Li YB, Wang ZW, Jiang SW, Li Q (2020) Effect of grassland degradation on soil quality and soil biotic community in a semi-arid temperate steppe. Ecological Processes, 9, 63. |
| [14] | Harris RB (2010) Rangeland degradation on the Qinghai-Tibetan Plateau: A review of the evidence of its magnitude and causes. Journal of Arid Environments, 74, 1-12. |
| [15] | Kang L, Han XG, Zhang ZB, Sun OJ (2007) Grassland ecosystems in China, Review of current knowledge and research advancement. Philosophical Transactions of the Royal Society B: Biological Sciences, 362, 997-1008. |
| [16] | Li B (1997) Grassland degradation and its control measures in northern China. Scientia Agricultura Sinica, 30, 1-10. (in Chinese with English abstract) |
|
[ 李博 (1997) 中国北方草地退化及其防治对策. 中国农业科学, 30, 1-10.]
DOI |
|
| [17] | Li WL, Liu C, Wang W, Zhou HK, Xue Y, Xu J, Xue P, Yan H (2021) Effects of different grazing disturbances on the plant diversity and ecological functions of alpine grassland ecosystem on the Qinghai-Tibetan Plateau. Frontiers in Plant Science, 12,765070. |
| [18] | Liu ZL, Wang W, Hao DY, Liang CZ (2002) Probes on the degeneration and recovery succession mechanisms of Inner Mongolia steppe. Journal of Arid Land Resources and Environment, 16(1), 84-91. (in Chinese with English abstract) |
| [ 刘钟龄, 王炜, 郝敦元, 梁存柱 (2002) 内蒙古草原退化与恢复演替机理的探讨. 干旱区资源与环境 16( 1), 84-91.] | |
| [19] | Ma HZ, Mo LD, Crowther TW, Maynard DS, van den Hoogen J, Stocker BD, Terrer C, Zohner CM (2021) The global distribution and environmental drivers of aboveground versus belowground plant biomass. Nature Ecology & Evolution, 5, 1110-1122. |
| [20] | Mo Y, Bao YJ, Li ZH, Zhang J, Wu WG, Wu S, Tang JZ, Wu WZ, Xu MR, Li M (2023) Impacts of grassland degradation on vegetation carbon pool in Hulun Buir. Journal of Inner Mongolia University (Natural Science Edition), 54(1), 61-68. (in Chinese with English abstract) |
| [ 莫宇, 鲍雅静, 李政海, 张靖, 武文广, 吴帅, 唐吉喆, 吴伟赜, 徐梦冉, 李蔓 (2023) 呼伦贝尔草原退化对植被碳库的影响. 内蒙古大学学报(自然科学版), 54(1), 61-68.] | |
| [21] | Pi WQ (2021) Recongnition and Classification of Land Features of Grassland Degradation Indicators Based on UAV Hyperspectral Remote Sensing. PhD dissertation, Inner Mongolia Agricultural University, Hohhot. (in Chinese with English abstract) |
| [ 皮伟强 (2021) 基于无人机高光谱遥感的草原退化指标地物的识别与分类研究. 博士学位论文, 内蒙古农业大学, 呼和浩特.] | |
| [22] | Pielou EC (1966) The measurement of diversity in different types of biological collections. Journal of Theoretical Biology, 13, 131-144. |
| [23] | Ren H, Li ZA, Shen WJ, Yu ZY, Peng SL, Liao CH, Ding MM, Wu JG (2007) Changes in biodiversity and ecosystem function during the restoration of a tropical forest in south China. Science in China Series C, Life Sciences, 50, 274-284. |
| [24] | Ren JZ (1985) Grassland Science and Grassland Survey Planning. China Agriculture Press, Beijing. (in Chinese) |
| [ 任继周 (1985) 草原学与草原调查与规划. 中国农业出版社, 北京.] | |
| [25] | Shannon CE (1948) A mathematical theory of communication. Bell System Technical Journal, 27, 379-423. |
| [26] | Simpson EH (1949) Measurement of diversity. Nature, 163, 688. |
| [27] | Song XX, Wang L, Zhao X, Liu C, Chang Q, Wang Y, Xu TT, Wang DL (2017) Sheep grazing and local community diversity interact to control litter decomposition of dominant species in grassland ecosystem. Soil Biology and Biochemistry, 115, 364-370. |
| [28] | Sun LA, Liang YM, Liu GB (1993) Review of research on subsurface biomass of grassland. Grassland and Turf, 13(1), 6-13. (in Chinese with English abstract) |
| [ 孙力安, 梁一民, 刘国彬 (1993) 草地地下生物量研究综述. 国外畜牧学、草原与牧草, 13(1), 6-13.] | |
| [29] | Tilman D, Wedin D, Knops J (1996) Productivity and sustainability influenced by biodiversity in grassland ecosystems. Nature, 379, 718-720. |
| [30] | Wang BZ, Zhu YJ, Shan D, Liu YS, Yang XH (2019) Effects of community degradation of Hulun Buir typical steppe on its species diversity and biomass. Journal of Plant Resources and Environment, 28(4), 68-76. (in Chinese with English abstract) |
| [ 王百竹, 朱媛君, 山丹, 刘艳书, 杨晓晖 (2019) 呼伦贝尔典型草原群落退化对其物种多样性及生物量的影响. 植物资源与环境学报, 28(4), 68-76.] | |
| [31] | Wang HJ, Fan WJ, Cui YK, Zhou L, Yan BY, Wu DH, Xu XR (2010) Hyperspectral remote sensing of grassland degradation. Spectroscopy and Spectral Analysis, 30, 2734-2738. (in Chinese with English abstract) |
| [ 王焕炯, 范闻捷, 崔要奎, 周磊, 闫彬彦, 吴代晖, 徐希孺 (2010) 草地退化的高光谱遥感监测方法. 光谱学与光谱分析, 30, 2734-2738.] | |
| [32] | Wang MM, Liu XP, He YH, Zhang TH, Wei J, Che L, Sun SS (2019) How enclosure influences restored plant community changes of different initial types in Horqin Sandy Land. Chinese Journal of Plant Ecology, 43, 672-684. (in Chinese with English abstract) |
|
[ 王明明, 刘新平, 何玉惠, 张铜会, 魏静, 车力木格, 孙姗姗 (2019) 科尔沁沙地封育恢复过程中植物群落特征变化及影响因素. 植物生态学报, 43, 672-684.]
DOI |
|
| [33] | Wang XX, Dong SK, Yang B, Li YY, Su XK (2014) The effects of grassland degradation on plant diversity, primary productivity, and soil fertility in the alpine region of Asia’s headwaters. Environmental Monitoring and Assessment, 186, 6903-6917. |
| [34] | Wang XY, Chen XS, Ding QP, Zhao XY, Wang XJ, Ma ZW, Lian J (2018) Vegetation and soil environmental factor characteristics, and their relationship at different desertification stages: A case study in the Minqin desert-oasis ecotone. Acta Ecologica Sinica, 38, 1569-1580. (in Chinese with English abstract) |
| [ 王新源, 陈翔舜, 丁乾平, 赵学勇, 王小军, 马仲武, 连杰 (2018) 不同荒漠化阶段植被生态特征对土壤环境因子的响应——以民勤荒漠绿洲过渡带为例. 生态学报, 38, 1569-1580.] | |
| [35] | Wang YH, Zhou GS (2004) Responses of temporal dynamics of aboveground net primary productivity of Leymus chinensis community to precipitation fluctuation in Inner Mongolia. Acta Ecologica Sinica, 24, 1140-1145. (in Chinese with English abstract) |
| [ 王玉辉, 周广胜 (2004) 内蒙古羊草草原植物群落地上初级生产力时间动态对降水变化的响应. 生态学报, 24, 1140-1145.] | |
| [36] | Xiao HL, Zhou HC, Yao YJ, Chen JG, Lin D, Zhang DG (2023) Analysis on vegetation and soil characteristics of alpine grassland with different degradation degrees in Three Rivers Region. Grassland and Turf, 43(2), 85-91. (in Chinese with English abstract) |
| [ 肖海龙, 周会程, 姚玉娇, 陈建纲, 林栋, 张德罡 (2023) 三江源地区不同退化程度高寒草原植被与土壤特征分析. 草原与草坪, 43(2), 85-91.] | |
| [37] |
Xie GD, Zhang YL, Lu CX, Zheng D, Cheng SK (2001) Study on valuation of rangeland ecosystem services of China. Journal of Natural Resources, 16(1), 47-53. (in Chinese with English abstract)
DOI |
| [ 谢高地, 张钇锂, 鲁春霞, 郑度, 成升魁 (2001) 中国自然草地生态系统服务价值. 自然资源学报, 16(1), 47-53.] | |
| [38] |
Xie Y, Sha Z, Yu M (2008) Remote sensing imagery in vegetation mapping: A review. Journal of Plant Ecology, 1, 9-23.
DOI |
| [39] |
Xu HP, Zhang J, Pang XP, Wang Q, Zhang WN, Wang J, Guo ZG (2019) Responses of plant productivity and soil nutrient concentrations to different alpine grassland degradation levels. Environmental Monitoring and Assessment, 191, 678.
DOI PMID |
| [40] | Yan W, Hugejiletu, Narenmandula (2016) Analysis of climate change characteristics in Hulunbuir grassland—A case study of Chen Bahu Banner. Inner Mongolia Science Technology & Economy, (16), 58-60. (in Chinese) |
| [ 闫炜, 呼格吉勒图, 那仁满都拉 (2016) 呼伦贝尔草原气候变化特征简析——以陈巴尔虎旗为例. 内蒙古科技与经济, (16), 58-60.] | |
| [41] | Yu ZH, Dong QM, Cao Q, Yu Y, Zhang CP, Liu WT, Yang XX, Liu YZ, Zhang ZX, Feng B, Lv WD, Yang ZZ (2023) Effects of different grazing patterns on plant community characteristics of alpine meadows in Qilian Mountains. Acta Agrestia Sinica, 31, 2621-2627. (in Chinese with English abstract) |
|
[ 于泽航, 董全民, 曹铨, 俞旸, 张春平, 刘文亭, 杨晓霞, 刘玉祯, 张振祥, 冯斌, 吕卫东, 杨增增 (2023) 不同放牧模式对祁连山高寒草甸植物群落特征的影响. 草地学报, 31, 2621-2627.]
DOI |
|
| [42] |
Yuan ZY, Jiao F, Li YH, Kallenbach RL (2016) Anthropogenic disturbances are key to maintaining the biodiversity of grasslands. Scientific Reports, 6, 22132.
DOI PMID |
| [43] |
Zhao S, Yang WQ, Lin BJ, Qiao QL, Wu YR, Li QY, Zhang SX, Han XZ, Li XL, Kou JC (2023) Plant and soil characteristics of different degraded alpine meadows in Qilian Mountain National Park. Acta Agrestia Sinica, 31, 1530-1538. (in Chinese with English abstract)
DOI |
|
[ 赵帅, 杨文权, 蔺宝珺, 乔千洛, 武燕茹, 李钦瑶, 张生祥, 韩显忠, 李希来, 寇建村 (2023) 祁连山国家公园不同退化高寒草甸植物与土壤特性研究. 草地学报, 31, 1530-1538.]
DOI |
|
| [44] | Zhou M, Yang Q, Zhang HJ, Yao XD, Zeng WJ, Wang W (2020) Plant community temporal stability in response to nitrogen addition among different degraded grasslands. Science of the Total Environment, 729, 138886. |
| [45] | Zhu N, Wang H, Ning XG, Liu YF (2021) Advances in remote sensing monitoring of grassland degradation. Science of Surveying and Mapping, 46(5), 66-76. (in Chinese with English abstract) |
| [ 朱宁, 王浩, 宁晓刚, 刘娅菲 (2021) 草地退化遥感监测研究进展. 测绘科学, 46(5), 66-76.] |
| [1] | Xiao-Qing Wu Meihui Zhang Suting Ge Manshu Li Kun Song Guochun Shen Jian Zhang. Spatiotemporal Dynamics of Woody Plant Species Diversity and Aboveground Biomass during Near-Natural Forest Reconstruction in Shanghai: A Case Study from the Eco-Island in Minhang District [J]. Biodiv Sci, 2025, 33(5): 24444-. |
| [2] | Tai Wang, Fujun Song, Yongsheng Zhang, Zhongyu Lou, Yanping Zhang, Yanyan Du. Fish diversity and resource status in interior drainage systems of Hexi Corridor [J]. Biodiv Sci, 2025, 33(4): 24387-. |
| [3] | Jingjing Zhang, Wenbin Huang, Yiting Chen, Zepeng Yang, Weiye Ke, Zhaojie Peng, Shichao Wei, Zhiwei Zhang, Yisi Hu, Wenhua Yu, Wenliang Zhou. Reef-building coral diversity and distribution characteristics in the National Nature Reserve for Marine Ecology of Guangdong Nanpeng Islands [J]. Biodiv Sci, 2025, 33(4): 24424-. |
| [4] | Shang Huadan, Zhang Chuqing, Wang Mei, Pei Wenya, Li Guohong, Wang Hongbin. Species diversity and geographic distribution of poplar pests in China [J]. Biodiv Sci, 2025, 33(2): 24370-. |
| [5] | Zihong Chen, Yifei Zhang, Kai Chen, Jianying Chen, Ling Xu. Species diversity of entomopathogenic fungi and the influencing factors in the Southern Gaoligong Mountains [J]. Biodiv Sci, 2025, 33(1): 24228-. |
| [6] | Ke Tan, Yao Ning, Renfen Wang, Qing Wang, Danping Liang, Zibing Xin, Fang Wen. A dataset on the checklist and geographical distribution of Gesneriaceae in China [J]. Biodiv Sci, 2025, 33(1): 23275-. |
| [7] | Jianan Han, Yang Su, Fei Li, Junyan Liu, Yilin Zhao, Lin Li, Jiancheng Zhao, Hongzhu Liang, Min Li. Bryophytes diversity of Hebei Province, China [J]. Biodiv Sci, 2024, 32(9): 24096-. |
| [8] | Hongyu Niu, Lu Chen, Hengyue Zhao, Gulzar Abdukirim, Hongmao Zhang. Effects of urbanization on animals: From community to individual level [J]. Biodiv Sci, 2024, 32(8): 23489-. |
| [9] | Xue Bai, Zhengfei Li, Yang Liu, Junqian Zhang, Duopeng Zhang, Xin Luo, Jiali Yang, Lina Du, Xuankong Jiang, Ruiwen Wu, Zhicai Xie. Species diversity and maintenance mechanisms of benthic macroinvertebrate assemblages in the Xijiang River [J]. Biodiv Sci, 2024, 32(7): 23499-. |
| [10] | Jia Xu, Xiaojuan Cui, Yifei Zhang, Chang Wu, Yuandong Sun. Fish diversity and distribution in the Nanling region [J]. Biodiv Sci, 2024, 32(7): 23482-. |
| [11] | Xingyuan Yin, Hui An, Binbin Xing, Shiyu Su, Zhilin Wen, Jianchao Guo, Xiaoping Liu, Bo Wang. Effects of nutrient addition and precipitation changes on the stability of aboveground and belowground biomass in desert grassland [J]. Biodiv Sci, 2024, 32(7): 24073-. |
| [12] | Qiyu Kuang, Liang Hu. Species diversity and geographical distribution of marine benthic shell-bearing mollusks around Donghai Island and Naozhou Island, Guangdong Province [J]. Biodiv Sci, 2024, 32(5): 24065-. |
| [13] | Yongqiang Zhao, Xiyu Yan, Jiaqi Xie, Mengting Hou, Danmei Chen, Lipeng Zang, Qingfu Liu, Mingzhen Sui, Guangqi Zhang. Species diversity and community assembly of woody plants at different life history stages during the natural restoration of degraded karst forests [J]. Biodiv Sci, 2024, 32(5): 23462-. |
| [14] | Weiqiang Xu, Qiang Su. Exploring the interplay of fractal model and species abundance distribution: A case study of shellfish and insect [J]. Biodiv Sci, 2024, 32(4): 23410-. |
| [15] | Lejie Wu, Zekang Liu, Xing Tian, Qun Zhang, Bo Li, Jihua Wu. Effects of genotypic diversity on vegetative growth and reproductive strategies of Scirpus mariqueter population [J]. Biodiv Sci, 2024, 32(4): 23478-. |
| Viewed | ||||||
|
Full text |
|
|||||
|
Abstract |
|
|||||
Copyright © 2026 Biodiversity Science
Editorial Office of Biodiversity Science, 20 Nanxincun, Xiangshan, Beijing 100093, China
Tel: 010-62836137, 62836665 E-mail: biodiversity@ibcas.ac.cn