
生物多样性 ›› 2018, Vol. 26 ›› Issue (9): 919-930. DOI: 10.17520/biods.2018101 cstr: 32101.14.biods.2018101
• 研究报告: 植物多样性 • 下一篇
窦丽娜1,2, 张文富1, 邓晓保1, 曹敏1,*(
), 唐勇1
收稿日期:2018-04-04
接受日期:2018-05-15
出版日期:2018-09-20
发布日期:2019-01-05
通讯作者:
曹敏
作者简介:# 共同第一作者
基金资助:
Lina Dou1,2, Wenfu Zhang1, Xiaobao Deng1, Min Cao1,*(
), Yong Tang1
Received:2018-04-04
Accepted:2018-05-15
Online:2018-09-20
Published:2019-01-05
Contact:
Cao Min
About author:# Co-first authors
摘要:
种子雨是森林生态系统过程的重要组成部分。虽然国内外已有部分关于种子雨的研究, 但多数集中在温带和亚热带地区, 热带地区种子雨的长期监测研究仍显不足。为全面了解热带森林种子雨输入的数量动态和物种组成的长期规律, 本文对我国西双版纳望天树(Parashorea chinensis)林群落水平上9年(2008年5月至2017年4月)的种子雨输入进行了研究。9年共收集到木本植物的种子226种8,993,224粒, 其中大型种子(I-1型) 77种9,779粒; 中型种子(I-2型) 61种24,237粒; 小型种子(I-3型) 72种83,399粒; 粒状微小种子(II-1型) 13种1,215,235粒; 粒状极小种子(II-2型) 1种7,244,667粒; 细丝状种子(II-3型) 2种415,907粒。种子雨输入量排名前10位的优势种贡献了70%以上的种子数量。各类型种子的种子雨输入量均具有年际波动, 呈“大小年”的交替变化, 间隔期为1-2年, 物种组成也呈现一定的年际差异。持续9年的监测中, 每类型种子至少观察到了1次大年结实事件。
窦丽娜, 张文富, 邓晓保, 曹敏, 唐勇 (2018) 西双版纳望天树林种子雨9年动态. 生物多样性, 26, 919-930. DOI: 10.17520/biods.2018101.
Lina Dou, Wenfu Zhang, Xiaobao Deng, Min Cao, Yong Tang (2018) Nine-year seed rain dynamics in Parashorea chinensis forest in Xishuangbanna, Southwest China. Biodiversity Science, 26, 919-930. DOI: 10.17520/biods.2018101.
图1 种子雨收集器的设置。(A)种子雨收集器结构示意图; (B)种子雨收集器在样地中的分布, 横坐标、纵坐标分别指20 ha大样地的宽度和长度。
Fig. 1 Seed trap units setting. (A) Schematic of seed trap; (B) Distribution of seed traps in the plot; X- and Y-axes represent the width and length of the 20 ha plot, respectively.
| 种子类型 Seed type | 种子数 No. of seeds | 种子密度 Seed density (seeds·m-2·yr-1) | 物种数 Species | 年际变异系数 CVyears |
|---|---|---|---|---|
| I-1 | 9,779 | 14.5 | 77 | 0.35 |
| I-2 | 24,237 | 35.9 | 61 | 0.50 |
| I-3 | 83,399 | 123.6 | 72 | 0.28 |
| 小计 Subtotal | 117,415 | 174.0 | 210 | 0.24 |
| II-1 | 1,215,235 | 1,800.3 | 13 | 0.72 |
| II-2 | 7,244,667 | 10,732.8 | 1 | 0.81 |
| II-3 | 415,907 | 616.2 | 2 | 0.73 |
| 小计 Subtotal | 8,875,809 | 13,149.3 | 16 | 0.69 |
| 总计 Total | 8,993,224 | 13,323.3 | 226 | 0.68 |
表1 西双版纳望天树林9年中采集到的全部成熟完整种子个体数、种子密度和物种数量
Table 1 Number of seeds, seed density and number of species during 9 years in Parashorea chinensis forest, Xishuangbanna
| 种子类型 Seed type | 种子数 No. of seeds | 种子密度 Seed density (seeds·m-2·yr-1) | 物种数 Species | 年际变异系数 CVyears |
|---|---|---|---|---|
| I-1 | 9,779 | 14.5 | 77 | 0.35 |
| I-2 | 24,237 | 35.9 | 61 | 0.50 |
| I-3 | 83,399 | 123.6 | 72 | 0.28 |
| 小计 Subtotal | 117,415 | 174.0 | 210 | 0.24 |
| II-1 | 1,215,235 | 1,800.3 | 13 | 0.72 |
| II-2 | 7,244,667 | 10,732.8 | 1 | 0.81 |
| II-3 | 415,907 | 616.2 | 2 | 0.73 |
| 小计 Subtotal | 8,875,809 | 13,149.3 | 16 | 0.69 |
| 总计 Total | 8,993,224 | 13,323.3 | 226 | 0.68 |
图2 226个物种2008-2017年种子雨输入量年际变异系数频率分布图
Fig. 2 Frequency histogram of coefficients of annual variation in seed rain input (number of species) for 226 species during 2008-2017
图3 2008-2017年间6种类型种子雨输入量的年际变化。6种类型种子的含义同表1。
Fig. 3 Variations in the annual input for six types of seeds during 2008-2017. Seed types are the same as in Table 1.
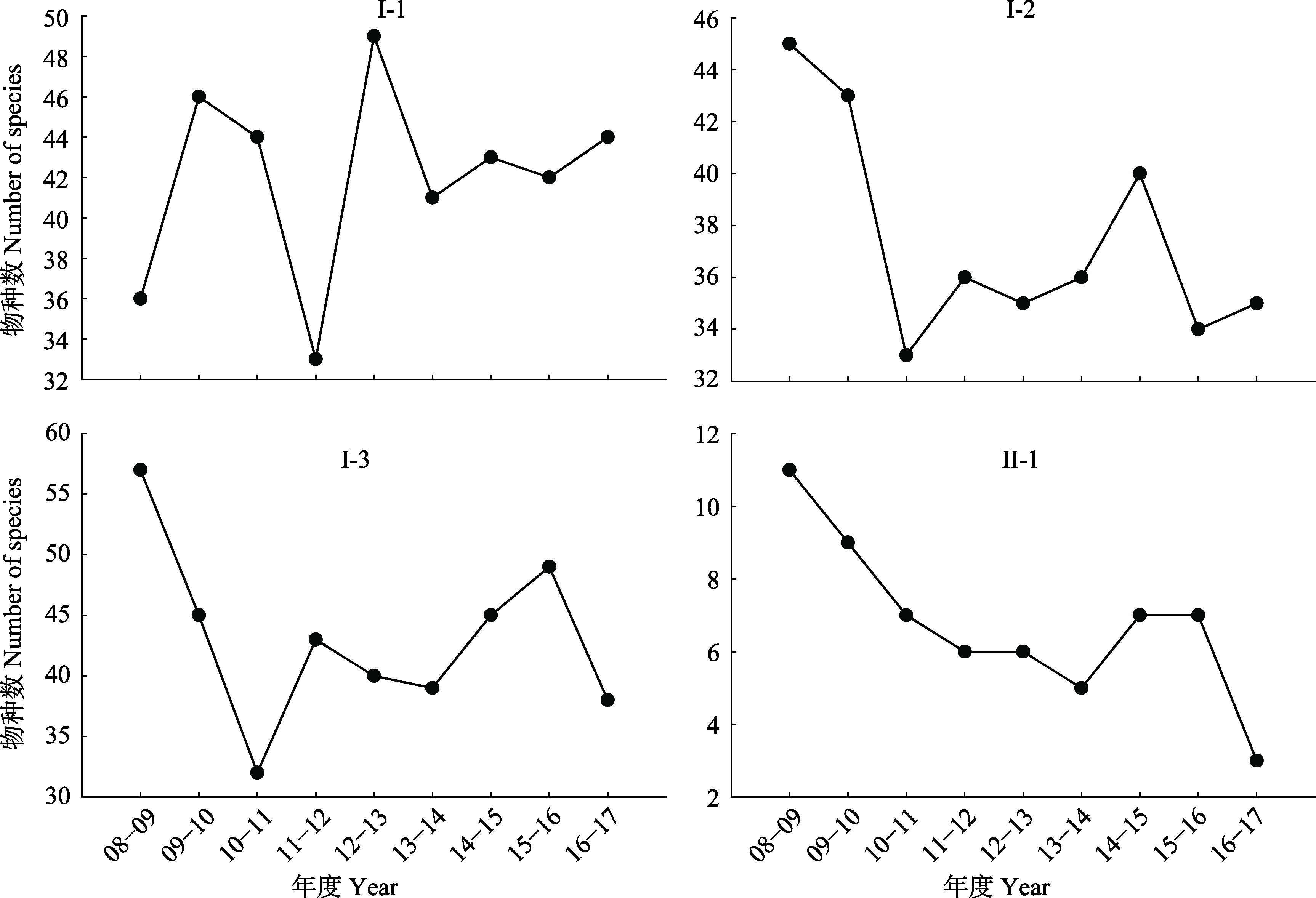
图4 2008-2017年间4种类型种子雨物种数量的年际变化。因II-2和II-3型种子仅分别包括1种和2种, 故在此未列出。6种类型种子的含义同表1。
Fig. 4 Annual dynamics in the species numbers of four types of seeds during 2008-2017. Because the seed types of II-2 and II-3 only include one and two species, respectively, they are not shown here. Seed types are the same as in Table 1.
| 种子类型 Seed type | 总数量 No. of seeds | 密度 Density (seeds·m-2·yr-1) | 占所有物种种子数量的百分比 % of all species |
|---|---|---|---|
| I-1 大型种子 Large-sized seeds | |||
| 假海桐 Pittopsoropsis kerrii | 1,629 | 2.4 | |
| 云树 Garcinia cowa | 1,316 | 1.9 | |
| 南酸枣 Choerospondias axillaris | 951 | 1.4 | |
| 贵州香花藤 Aganosma breviloba | 616 | 0.9 | |
| 望天树 Parashorea chinensis | 527 | 0.8 | |
| 番龙眼 Pometia pinnata | 484 | 0.7 | |
| 华马钱 Strychnos cathayensis | 413 | 0.6 | |
| 蒙自黄檀 Dalbergia henryana | 404 | 0.6 | |
| 望谟崖摩 Aglaia lawii | 325 | 0.5 | |
| 微花藤 Iodes cirrhosa | 321 | 0.5 | |
| 合计 Total | 6,986 | 71.44 | |
| I-2 中型种子 Medium-sized seeds | |||
| 短刺锥 Castanopsis echinocarpa | 6,041 | 8.9 | |
| 阔叶风车子 Combretum latifolium | 2,662 | 3.9 | |
| 宽药青藤 Illigera celebica | 1,318 | 2.0 | |
| 多花瓜馥木 Fissistigma polyanthum | 1,779 | 2.6 | |
| 毛叶岭南酸枣 Spondiaslakonensis var. hirsuta | 1,734 | 2.6 | |
| 海南破布叶 Microcos chungii | 1,243 | 1.8 | |
| 酸苔菜 Ardisia solanacea | 1,192 | 1.8 | |
| 细毛润楠 Machilus tenuipilis | 1,118 | 1.7 | |
| 岭南臭椿 Ailanthus triphysa | 787 | 1.2 | |
| 羽叶金合欢 Acacia pennata | 930 | 1.4 | |
| 合计 Total | 18,804 | 77.58 | |
| I-3 小型种子 Small-sized seeds | |||
| 小萼菜豆树 Radermachera microcalyx | 20,972 | 31.1 | |
| 狭叶一担柴 Colona thorelii | 13,803 | 20.4 | |
| 千果榄仁 Terminalia myriocarpa | 6,903 | 10.2 | |
| 云南黄杞 Engelhardtia spicata | 6,213 | 9.2 | |
| 浆果乌桕 Balakata baccata | 5,460 | 8.1 | |
| 滇缅斑鸠菊 Vernonia parishii | 5,436 | 8.1 | |
| 翅果麻 Kydia calycina | 4,581 | 6.8 | |
| 西桦 Betula alnoides | 3,381 | 5.0 | |
| 羽叶白头树 Garuga pinnata | 1,891 | 2.8 | |
| 大果褐叶榕 Ficus pubigera var. maliformis | 1,594 | 2.4 | |
| 合计 Total | 70,234 | 84.21 | |
| II-1 粒状微小种子 Tiny grainy seeds | |||
| 假斜叶榕 Ficus subulata | 495,753 | 734.4 | |
| 青藤公 Ficus langkokensis | 392,351 | 581.3 | |
| 劲直榕 Ficus stricta | 119,718 | 177.4 | |
| 羊乳榕 Ficus sagittata | 112,407 | 166.5 | |
| 水同木 Ficus fistulosa | 73,401 | 108.7 | |
| 滇南新乌檀 Neonauclea tsaiana | 9,857 | 14.6 | |
| 海桐叶柃 Eurya pittosporifolia | 5,816 | 8.6 | |
| 垂叶榕 Ficus benjamina var. benjamina | 2,657 | 3.9 | |
| 棒果榕 Ficus subincisa | 2,020 | 3.0 | |
| 大果榕 Ficus auriculata | 770 | 1.1 | |
| 合计 Total | 1,214,750 | 99.96 | |
| II-2 粒状极小种子 Infinitesimally grainy seed | |||
| 团花 Neolamarckia cadamba | 7,244,667 | 10,732.8 | |
| 合计 Total | 7,244,667 | 100.00 | |
| II-3 细丝状种子 Filamentous seeds | |||
| 八宝树 Duabanga grandiflora | 194,928 | 288.8 | |
| 大叶钩藤 Uncaria macrophylla | 220,979 | 327.4 | |
| 合计 Total | 415,907 | 100.00 |
表2 4种类型种子的种子雨输入量前10位的优势物种
Table 2 Top 10 dominant species with the most abundant seed input for four seed types
| 种子类型 Seed type | 总数量 No. of seeds | 密度 Density (seeds·m-2·yr-1) | 占所有物种种子数量的百分比 % of all species |
|---|---|---|---|
| I-1 大型种子 Large-sized seeds | |||
| 假海桐 Pittopsoropsis kerrii | 1,629 | 2.4 | |
| 云树 Garcinia cowa | 1,316 | 1.9 | |
| 南酸枣 Choerospondias axillaris | 951 | 1.4 | |
| 贵州香花藤 Aganosma breviloba | 616 | 0.9 | |
| 望天树 Parashorea chinensis | 527 | 0.8 | |
| 番龙眼 Pometia pinnata | 484 | 0.7 | |
| 华马钱 Strychnos cathayensis | 413 | 0.6 | |
| 蒙自黄檀 Dalbergia henryana | 404 | 0.6 | |
| 望谟崖摩 Aglaia lawii | 325 | 0.5 | |
| 微花藤 Iodes cirrhosa | 321 | 0.5 | |
| 合计 Total | 6,986 | 71.44 | |
| I-2 中型种子 Medium-sized seeds | |||
| 短刺锥 Castanopsis echinocarpa | 6,041 | 8.9 | |
| 阔叶风车子 Combretum latifolium | 2,662 | 3.9 | |
| 宽药青藤 Illigera celebica | 1,318 | 2.0 | |
| 多花瓜馥木 Fissistigma polyanthum | 1,779 | 2.6 | |
| 毛叶岭南酸枣 Spondiaslakonensis var. hirsuta | 1,734 | 2.6 | |
| 海南破布叶 Microcos chungii | 1,243 | 1.8 | |
| 酸苔菜 Ardisia solanacea | 1,192 | 1.8 | |
| 细毛润楠 Machilus tenuipilis | 1,118 | 1.7 | |
| 岭南臭椿 Ailanthus triphysa | 787 | 1.2 | |
| 羽叶金合欢 Acacia pennata | 930 | 1.4 | |
| 合计 Total | 18,804 | 77.58 | |
| I-3 小型种子 Small-sized seeds | |||
| 小萼菜豆树 Radermachera microcalyx | 20,972 | 31.1 | |
| 狭叶一担柴 Colona thorelii | 13,803 | 20.4 | |
| 千果榄仁 Terminalia myriocarpa | 6,903 | 10.2 | |
| 云南黄杞 Engelhardtia spicata | 6,213 | 9.2 | |
| 浆果乌桕 Balakata baccata | 5,460 | 8.1 | |
| 滇缅斑鸠菊 Vernonia parishii | 5,436 | 8.1 | |
| 翅果麻 Kydia calycina | 4,581 | 6.8 | |
| 西桦 Betula alnoides | 3,381 | 5.0 | |
| 羽叶白头树 Garuga pinnata | 1,891 | 2.8 | |
| 大果褐叶榕 Ficus pubigera var. maliformis | 1,594 | 2.4 | |
| 合计 Total | 70,234 | 84.21 | |
| II-1 粒状微小种子 Tiny grainy seeds | |||
| 假斜叶榕 Ficus subulata | 495,753 | 734.4 | |
| 青藤公 Ficus langkokensis | 392,351 | 581.3 | |
| 劲直榕 Ficus stricta | 119,718 | 177.4 | |
| 羊乳榕 Ficus sagittata | 112,407 | 166.5 | |
| 水同木 Ficus fistulosa | 73,401 | 108.7 | |
| 滇南新乌檀 Neonauclea tsaiana | 9,857 | 14.6 | |
| 海桐叶柃 Eurya pittosporifolia | 5,816 | 8.6 | |
| 垂叶榕 Ficus benjamina var. benjamina | 2,657 | 3.9 | |
| 棒果榕 Ficus subincisa | 2,020 | 3.0 | |
| 大果榕 Ficus auriculata | 770 | 1.1 | |
| 合计 Total | 1,214,750 | 99.96 | |
| II-2 粒状极小种子 Infinitesimally grainy seed | |||
| 团花 Neolamarckia cadamba | 7,244,667 | 10,732.8 | |
| 合计 Total | 7,244,667 | 100.00 | |
| II-3 细丝状种子 Filamentous seeds | |||
| 八宝树 Duabanga grandiflora | 194,928 | 288.8 | |
| 大叶钩藤 Uncaria macrophylla | 220,979 | 327.4 | |
| 合计 Total | 415,907 | 100.00 |
| [1] | Appanah S (1985) General flowering in the climax rain forests of Southeast Asia. Journal of Tropical Ecology, 1, 225-240. |
| [2] | Appanah S (1993) Mass flowering of dipterocarp forests in the aseasonal tropics. Journal of Biosciences, 18, 457-474. |
| [3] | Ashton PS, Givnish TJ, Appanah S (1988) Staggered flowering in the Dipterocarpaceae: New insights into floral induction and the evolution of mast fruiting in the aseasonal tropics. The American Naturalist, 132, 44-66. |
| [4] | Baskin CC, Baskin JM (1998) Seeds: Ecology, Biogeography, and Evolution of Dormancy and Germination. Elsevier Science & Technology Books, San Diego. |
| [5] | Brearley FQ, Proctor J, Nagy L, Dalrymple G, Voysey BC (2007) Reproductive phenology over a 10-year period in a lowland evergreen rain forest of central Borneo. Journal of Ecology, 95, 828-839. |
| [6] | Cao M, Zhu H, Wang H, Lan GY, Hu YH, Zhou SS, Deng XB, Cui JY (2008) Xishuangbanna Tropical Seasonal Rainforest Dynamics Plot: Tree Distribution Maps, Diameter Tables and Species Documentation. Yunnan Science and Technology Press, Kunming. |
| [7] | Cao M, Zou X, Warren M, Zhu H (2006) Tropical forests of Xishuangbanna, China. Biotropica, 38, 306-309. |
| [8] | Ceccon E, Hernández P (2009) Seed rain dynamics following disturbance exclusion in a secondary tropical dry forest in Morelos, Mexico. Revista de Biología Tropical, 57, 257-269. |
| [9] | Chang-Yang CH, Sun I-F, Tsai C-H, Lu C-L, Hsieh C-F (2016) ENSO and frost codetermine decade-long temporal variation in flower and seed production in a subtropical rain forest. Journal of Ecology, 104, 44-54. |
| [10] | Chen B, Song YC, Da LJ (2003) A review on mast seeding studies. Chinese Journal of Applied Ecology, 14, 117-120. (in Chinese with English abstract) |
| [陈波, 宋永昌, 达良俊 (2003) 植物大年结实研究概述. 应用生态学报, 14, 117-120.] | |
| [11] | Curran LM, Caniago II, Paoli GD, Astianti D, Kusneti M, Leighton M, Nirarita CE, Haeruman H (1999) Impact of El Nino and logging on canopy tree recruitment in Borneo. Science, 286, 2184. |
| [12] | Deng L, Zhang WH, Guan JH (2014) Seed rain and community diversity of Liaotung oak (Quercus liaotungensis Koidz) in Shaanxi, Northwest China. Ecological Engineering, 67, 101-111. |
| [13] | Drake DR (1998) Relationships among the seed rain, seed bank and vegetation of a Hawaiian forest. Journal of Vegetation Science, 9, 103-112. |
| [14] | Du YJ, Ma KP (2012) Temporal and spatial variation of seedfall in a broad-leaved evergreen forest in Gutianshan Nature Reserve of Zhejiang Province, China. Chinese Journal of Plant Ecology, 36, 717-728. (in Chinese with English abstract) |
| [杜彦君, 马克平 (2012) 浙江古田山自然保护区常绿阔叶林种子雨的时空变异. 植物生态学报, 36, 717-728.] | |
| [15] | Editorial Committee of Flora of China(1989-2013) Flora of China. Science Press, Beijing & Missouri Botanical Garden Press, St. Louis. |
| [16] | Fenner M, Thompson K (2005) The Ecology of Seeds. Cambridge University Press, Cambridge. |
| [17] | Fretwell SD (1972) Populations in a Seasonal Environment: Monographs in Population Biology. Princeton University Press, New Jersey. |
| [18] | Hardesty BD, Parker VT (2003) Community seed rain patterns and a comparison to adult community structure in a West African tropical forest. Plant Ecology, 164, 49-64. |
| [19] | Harms KE, Wright SJ, Calderon O, Hernandez A, Herre EA (2000) Pervasive density-dependent recruitment enhances seedling diversity in a tropical forest. Nature, 404, 493-495. |
| [20] | Harper JL (1977) Population Biology of Plants. Academic Press, London. |
| [21] | Herrera CM (1998) Population-level estimates of interannual variability in seed production: What do they actually tell us? Oikos, 82, 612-616. |
| [22] | Holl KD (1999) Factors limiting tropical rain forest regeneration in abandoned pasture: Seed rain, seed germination, microclimate, and soil. Biotropica, 31, 229-242. |
| [23] | Ishihara MI, Kikuzawa K (2009) Annual and spatial variation in shoot demography associated with masting in Betula grossa: Comparison between mature trees and saplings. Annals of Botany, 104, 1195-1205. |
| [24] | Janzen DH (1976) Why bamboos wait so long to flower? Annual Review of Ecology and Systematics, 7, 347-391. |
| [25] | Jensen PG, Demers CL, Mcnulty SA, Jakubas WJ, Humphries MM (2012) Marten and fisher responses to fluctuations in prey populations and mast crops in the northern hardwood forest. The Journal of Wildlife Management, 76, 489-502. |
| [26] | Kelly D (1994) The evolutionary ecology of mast seeding. Trends in Ecology & Evolution, 9, 465-470. |
| [27] | Kelly D, Sork VL (2002) Mast seeding in perennial plants: Why, how, where? Annual Review of Ecology and Systematics, 33, 427-447. |
| [28] | Koenig WD, Knops JMH (2000) Patterns of annual seed production by northern hemisphere trees: A global perspective. The American Naturalist, 155, 59-69. |
| [29] | Kushwaha C, Tripathi S, Singh K (2011) Tree specific traits affect flowering time in Indian dry tropical forest. Plant Ecology, 212, 985-998. |
| [30] | Lan GY, Hu YH, Cao M, Zhu H, Wang H, Zhou SS, Deng XB, Cui JY, Huang JG, Liu LY, Xu HL, Song JP, He YC (2008) Establishment of Xishuangbanna tropical forest dynamics plot: Species compositions and spatial distribution patterns. Chinese Journal of Plant Ecology, 32, 287-298. (in Chinese with English abstract) |
| [兰国玉, 胡跃华, 曹敏, 朱华, 王洪, 周仕顺, 邓晓保, 崔景云, 黄建国, 刘林云, 许海龙, 宋军平, 何有才 (2008) 西双版纳热带森林动态监测样地——树种组成与空间分布格局. 植物生态学报, 32, 287-298.] | |
| [31] | Lei X, Yang QS, Liu HM, Xing JZ, Wang XH (2015) Character of seed rain of species with different dispersal modes in Tiantong evergreen broad-leaved forest, Zhejiang Province. Journal of East China Normal University (Natural Science), (2), 122-132. (in Chinese with English abstract) |
| [雷霄, 杨庆松, 刘何铭, 邢九州, 王希华 (2015) 浙江天童常绿阔叶林不同传播方式物种种子雨的基本特征. 华东师范大学学报(自然科学版), (2), 122-132.] | |
| [32] | Liu JM, Zhong ZC (2000) Nature of seed rain, the seed bank and regeneration of a Castanopsis fargesii community on Fanjing Mountain. Acta Phytoecologica Sinica, 24, 402-407. (in Chinese with English abstract) |
| [刘济明, 钟章成 (2000) 梵净山栲树群落的种子雨、种子库及更新. 植物生态学报, 24, 402-407.] | |
| [33] | Ma XX, Cheng BQ, Xu Y, Wang J (1998) Study on the medicinal use species of Uncaria and their seeds’ propagation. In: Tropical Plant Conservation and Utilization (eds. Cheng BQ, Ma XX), pp. 129-132. Yunnan University Press, Kunming. (in Chinese) |
| [马信祥, 程必强, 许勇, 王坚 (1998) 药用钩藤种类及繁殖研究. 见 程必强, 马信祥编, 热带植物保护与利用, 129-132页. 云南大学出版社:, 昆明.] | |
| [34] | Martínez-Garza C, Osorio-Beristain M, Valenzuela-Galván D, Nicolás-Medina A (2011) Intra and inter-annual variation in seed rain in a secondary dry tropical forest excluded from chronic disturbance. Forest Ecology and Management, 262, 2207-2218. |
| [35] | McEuen AB, Curran LM (2004) Seed dispersal and recruitment limitation across spatial scales in temperate forest fragments. Ecology, 85, 507-518. |
| [36] | Muller-Landau HC, Wright SJ, Calderón O, Hubbell SP, Foster RB (2002) Assessing recruitment limitation: Concepts, methods and case-studies from a tropical forest. In: Seed Dispersal and Frugivory: Ecology, Evolution and Conservation (eds Levey DJ, Silva WR, Galetti M), pp. 35-53. CABI Publishing, London. |
| [37] | Nathan R, Muller-Landau HC (2000) Spatial patterns of seed dispersal, their determinants and consequences for recruitment. Trends in Ecology & Evolution, 15, 278-285. |
| [38] | Norton DA, Kelly D (1988) Mast seeding over 33 years by Dacrydium cupressinum Lamb. (rimu) (Podocarpaceae) in New Zealand: The importance of economies of scale. Functional Ecology, 2, 399-408. |
| [39] | Ostfeld RS, Jones CG, Wolff JO (1996) Of mice and mast: Ecological connections in eastern deciduous forests. BioScience, 46, 323-330. |
| [40] | Pearse IS, Koenig WD, Kelly D (2016) Mechanisms of mast seeding: Resources, weather, cues, and selection. New Phytologist, 212, 546-562. |
| [41] | Rapp JM, McIntire EJB, Crone EE (2013) Sex allocation, pollen limitation and masting in whitebark pine. Journal of Ecology, 101, 1345-1352. |
| [42] | R Core Team (2016) R: A Language and Environment for Statistical Computing. R Foundation for Statistical Computing, Vienna, Austria. |
| [43] | Schnurr JL, Ostfeld RS, Canham CD (2002) Direct and indirect effects of casting on rodent populations and tree seed survival. Oikos, 96, 402-410. |
| [44] | Shalom L, Samuels S, Zur N, Shlizerman L, Zemach H, Weissberg M, Ophir R, Blumwald E, Sadka A (2012) Alternate bearing in Citrus: Changes in the expression of flowering control genes and in global gene expression in on-versus off-crop trees. PLoS ONE, 7, e46930. |
| [45] | Sheldon KS, Nadkarni NM (2013) Spatial and temporal variation of seed rain in the canopy and on the ground of a tropical cloud forest. Biotropica, 45, 549-556. |
| [46] | Silvertown JW (1980) The evolutionary ecology of mast seeding in trees. Biological Journal of the Linnean Society, 14, 235-250. |
| [47] | Smythe N (1970) Relationships between fruiting seasons and seed dispersal methods in a neotropical forest. The American Naturalist, 104, 25-35. |
| [48] | Sritongchuay T, Gale GA, Stewart A, Kerdkaew T, Bumrungsri S (2014) Seed rain in abandoned clearings in a lowland evergreen rain forest in Southern Thailand. Tropical Conservation Science, 7, 572-585. |
| [49] | Sun I-F, Chen Y-Y, Hubbell SP, Wright SJ, Noor NSM (2007) Seed predation during general flowering events of varying magnitude in a Malaysian rain forest. Journal of Ecology, 95, 818-827. |
| [50] | Sun MY, Ma QL, Tian SL, Wang JD, Lu JQ (2011) Effects of seed productivity on dispersal of nuts of Quercus variabilis by rodents. Acta Theriologica Sinica, 31, 265-271. (in Chinese with English abstract) |
| [孙明洋, 马庆亮, 田澍辽, 王建东, 路纪琪 (2011) 种子产量对鼠类扩散栓皮栎坚果的影响. 兽类学报, 31, 265-271.] | |
| [51] | Wen B, Yin SH, Lan QY, Yang XY (2002) Ecological characteristics of seed germination of Pometia tomentosa. Guihaia, 22, 408-412. (in Chinese with English abstract) |
| [文彬, 殷寿华, 兰芹英, 杨湘云 (2002) 绒毛番龙眼种子萌发生态特性的研究. 广西植物, 22, 408-412.] | |
| [52] | Willson MF, Rice BL, Westoby M (1990) Seed dispersal spectra: A comparison of temperate plant communities. Journal of Vegetation Science, 1, 547-562. |
| [53] | Wright SJ, Carrasco C, Calderon O, Paton SR (1999) The El Nino southern oscillation, variable fruit production, and famine in a tropical forest. Ecology, 80, 1632-1647. |
| [54] | Wright SJ, Muller-Landau HC, Calderon O, Hernandez A (2005) Annual and spatial variation in seedfall and seedling recruitment in a neotropical forest. Ecology, 86, 848-860. |
| [55] | Xie ZQ, Chen WL, Hu D, Zhu RG (1998) The fruiting characteristics of an endangered plant, Cathaya argyrophylla and the impact of animal on fruits. Acta Phytoecologica Sinica, 22, 319-326. (in Chinese with English abstract) |
| [谢宗强, 陈伟烈, 胡东, 朱日光 (1998) 濒危植物银杉的结实特性及动物对果实的危害性. 植物生态学报, 22, 319-326.] | |
| [56] | Xu L, Bao WK, He YH (2004) Morphological characters and geographical variation of cones and seeds of four Cupressus chenggiana S. Y. Hu populations. China Journal of Applied and Environmental Biology, 10, 707-711. (in Chinese with English abstract) |
| [徐亮, 包维楷, 何永华 (2004) 4个岷江柏种群的球果和种子相态特征及其地理空间差异. 应用与环境生物学报, 10, 707-711.] | |
| [57] | Yan XF, Cao M (2008) The endangered causes and protective strategies for Shorea wantianshuea, a tropical rain forest tree species in Xishuangbanna. Journal of Fujian Forestry Science and Technology, 35, 187-191. (in Chinese with English abstract) |
| [闫兴富, 曹敏 (2008) 热带雨林濒危树种望天树的致危原因及保护策略. 福建林业科技, 35, 187-191.] | |
| [58] | Yang QS, Ma ZP, Xie YB, Zhang ZG, Wang ZH, Liu HM, Li P, Zhang N, Wang DL, Yang HB, Fang XF, Yan ER, Wang XH (2011) Community structure and species composition of an evergreen broadleaved forest in Tiantong’s 20 ha dynamic plot, Zhejiang Province, eastern China. Biodiversity Science, 19, 215-223. (in Chinese with English abstract) |
| [杨庆松, 马遵平, 谢玉彬, 张志国, 王樟华, 刘何铭, 李萍, 张娜, 王达力, 杨海波, 方晓峰, 阎恩荣, 王希华 (2011) 浙江天童20 ha常绿阔叶林动态监测样地的群落特征. 生物多样性, 19, 215-223.] | |
| [59] | Yang XF, Tang Y, Cao M (2010) Diaspore traits of 145 tree species from a tropical seasonal rainforest in Xishuangbanna, SW China. Acta Botanica Yunnanica, 32, 367-377. (in Chinese with English abstract) |
| [杨小飞, 唐勇, 曹敏 (2010) 西双版纳热带季节雨林145个树种繁殖体特征. 云南植物研究, 32, 367-377.] | |
| [60] | Yang YF, Zhu TC (1989) Preliminary study on seed rain of herbaceous plant community. Chinese Bulletin of Botany, 6, 48-51. (in Chinese) |
| [杨允菲, 祝廷成 (1989) 草本植物群落种子雨的初步研究. 植物学通报, 6, 48-51.] | |
| [61] | Yin SH, Shuai JG (1990) Study on fruiting behavior, seedling establishment and population age classes of Parashorea chinensis. Acta Botanica Yunnanica, 12, 415-420. (in Chinese with English abstract) |
| [殷寿华, 帅建国 (1990) 望天树种子散布、萌发及其种群龄级配备的关系研究. 云南植物研究, 12, 415-420.] | |
| [62] | Yu Y, Cao M, Zheng L, Sheng CY (2007) Effects of light in seed germination and seedling establishment of tropical rainforest canopy tree, Pometia tomentosa. Journal of Plant Ecology (Chinese Version), 31, 1028-1036. (in Chinese with English abstract) |
| [于洋, 曹敏, 郑丽, 盛才余 (2007) 光对热带雨林冠层树种绒毛番龙眼种子萌发及其幼苗早期建立的影响. 植物生态学报, 31, 1028-1036.] | |
| [63] | Zhu H (2006) Forest vegetation of Xishuangbanna, South China. Forestry Studies in China, 8, 1-58. |
| [64] | Zhu H, Li YH, Xu ZF, Wang H, Li BG (2001) Characteristics and affinity of the flora of Xishuangbanna, SW China. Guihaia, 21, 127-136. (in Chinese with English abstract) |
| [朱华, 李延辉, 许再富, 王洪, 李宝贵 (2001) 西双版纳植物区系的特点与亲缘. 广西植物, 21, 127-136.] | |
| [65] | Zhu XC, Tao YQ, Yang J (2005) Anthocephalus chinensis seedlings and afforestation. Practical Forestry Technology, (2), 19-20. (in Chinese) |
| [朱先成, 陶永强, 杨军 (2005) 团花育苗与造林. 林业实用技术, (2), 19-20.] |
| [1] | 吴晓晴 张美惠 葛苏婷 李漫淑 宋坤 沈国春 达良俊 张健. 上海近自然林重建过程中木本植物物种多样性与地上生物量的时空动态——以闵行区生态岛为例[J]. 生物多样性, 2025, 33(5): 24444-. |
| [2] | 刘咏华, 童光蓉, 余航远, 王宁宁, 任海保, 陈磊, 马克平, 米湘成. 钱江源-百山祖国家公园候选区钱江源园区冠层三维结构及光谱特征对人为干扰的响应[J]. 生物多样性, 2025, 33(4): 24174-. |
| [3] | 马文俊, 刘思嘉, 李柯懋, 简生龙, 薛长安, 韩庆祥, 魏金良, 陈生学, 牛依萌, 崔洲平, 隋瑞臣, 田菲, 赵凯. 青海省长江源区鱼类分布及多样性格局[J]. 生物多样性, 2025, 33(2): 24494-. |
| [4] | 曲文杰, 王磊, 康文岩, 杨新国, 屈建军, 张雪. 腾格里沙漠东南缘不同年限固沙植被区种子雨和土壤种子库动态与植被更新潜力[J]. 生物多样性, 2025, 33(1): 24254-. |
| [5] | 靳川, 张子嘉, 底凯, 张卫荣, 乔栋, 程思源, 胡中民. 海南热带雨林植物光合荧光气体交换和叶功能性状数据集[J]. 生物多样性, 2024, 32(9): 24139-. |
| [6] | 时永强, 栾青杉, 单秀娟, 韦超, 赵永松, 孙策策, 金显仕. 长岛南部海域浮游动物多样性周年变化[J]. 生物多样性, 2024, 32(7): 23428-. |
| [7] | 艾妍雨, 胡海霞, 沈婷, 莫雨轩, 杞金华, 宋亮. 附生维管植物多样性及其与宿主特征的相关性: 以哀牢山中山湿性常绿阔叶林为例[J]. 生物多样性, 2024, 32(5): 24072-. |
| [8] | 赵勇强, 阎玺羽, 谢加琪, 侯梦婷, 陈丹梅, 臧丽鹏, 刘庆福, 隋明浈, 张广奇. 退化喀斯特森林自然恢复中不同生活史阶段木本植物物种多样性与群落构建[J]. 生物多样性, 2024, 32(5): 23462-. |
| [9] | 林迪, 陈双林, 杜榷, 宋文龙, 饶固, 闫淑珍. 大别山黏菌的物种多样性调查[J]. 生物多样性, 2024, 32(2): 23242-. |
| [10] | 徐凯伦, 陈小荣, 张敏华, 于婉婉, 吴素美, 朱志成, 陈定云, 兰荣光, 董舒, 刘宇. 演替和地形共同影响浙江百山祖森林群落的性系统多样性[J]. 生物多样性, 2024, 32(12): 24338-. |
| [11] | 姚嘉, 张聪伶, 李时轩, 林阳, 王震, 张煜涵, 周伟龙, 潘心禾, 朱珊, 吴逸卿, 王丹, 刘金亮, 谭珊珊, 沈国春, 于明坚. 百山祖连续海拔样带植物群落特征[J]. 生物多样性, 2024, 32(12): 24052-. |
| [12] | 楼晨阳, 任海保, 陈小南, 米湘成, 童冉, 朱念福, 陈磊, 吴统贵, 申小莉. 钱江源国家公园森林群落的物种多样性、结构多样性及其对黑麂出现概率的影响[J]. 生物多样性, 2023, 31(6): 22518-. |
| [13] | 陈哲涵, 尹进, 叶吉, 刘冬伟, 毛子昆, 房帅, 蔺菲, 王绪高. 增温对东北温带次生林草本群落季节动态的影响[J]. 生物多样性, 2023, 31(5): 23059-. |
| [14] | 陈星, 涂淑雯, 戴尊, 高爽, 王幼芳, 邢诗晨, 魏博嘉, 唐录艳, 师瑞萍, 王晓蕊, 刘永英, 赵东平, 唐霞, 姚雪, 赵明水, 吴晗星, 祁祥斌, 张健, 李敏, 王健. 浙江天目山国家级自然保护区苔藓植物多样性[J]. 生物多样性, 2023, 31(4): 22649-. |
| [15] | 薛玉洁, 程安鹏, 李珊, 刘晓娟, 李景文. 亚热带森林中环境和物种多样性对灌木存活的影响[J]. 生物多样性, 2023, 31(3): 22443-. |
| 阅读次数 | ||||||
|
全文 |
|
|||||
|
摘要 |
|
|||||
备案号:京ICP备16067583号-7
Copyright © 2026 版权所有 《生物多样性》编辑部
地址: 北京香山南辛村20号, 邮编:100093
电话: 010-62836137, 62836665 E-mail: biodiversity@ibcas.ac.cn