Please wait a minute...
    2025年, 第12期
    刊出日期:2025-12-20
    全球生物多样性下降与人类活动、气候变化等压力叠加, 亟需建立面向《昆蒙框架》的动态监测与风险预警。本期俞乐等(25329)依托智算平台, 融合遥感卫星、通量塔、近地表相机与地面调查等多源数据, 基于“状态-趋势-背景”构建生物多样性预警指数(BWI)。封面展示了从数据感知、风险制图到响应反馈的整体技术架构。(封面图: 大连理工大学杜贞容)
      
    从昆蒙框架到国家行动专题
    面向《昆蒙框架》目标的生物多样性早期预警
    俞乐, 顾珈同, 武慧, 杜贞容, 李曦煜, 申小莉, 朱丽, 马克平
    生物多样性. 2025, 33(12):  25329.  doi: 10.17520/biods.2025329   cstr: 32101.14.biods.2025329
    摘要 ( 454 )   PDF (4494KB) ( 36 )   知识图谱   收藏
    相关文章 | 多维度评价
    生物多样性保护是国际社会最为关注的热点之一, 有效遏制并扭转全球生物多样性的丧失趋势是当前全球生态治理的重大挑战, 亟需构建有效的全球生物多样性早期预警体系, 以实时监测和评估生物多样性变化。《生物多样性公约》第十五次缔约方大会制定并通过的《昆明-蒙特利尔全球生物多样性框架》(简称《昆蒙框架》)为全球生物多样性治理指明了方向。本文基于《昆蒙框架》目标, 探讨了全球生物多样性早期预警体系建设的现状、关键问题、潜在机遇及实现路径。首先, 本文阐述了全球早期预警系统的建设现状, 并分析全球其他领域早期预警对生物多样性早期预警的启示。本文指出, 尽管当前全球在生物多样性早期预警体系建设方面取得了一定进展, 但仍面临数据不完善、技术手段落后、跨国合作不足等困难。其次, 本文从《昆蒙框架》出发, 系统梳理了全球生物多样性早期预警体系建设的基本框架和关键要素, 并设计了全球早期预警指标。最后, 本文提出通过整合卫星遥感、地面相机等多源数据, 依托云计算、人工智能等先进技术, 构建具有高扩展性和强容错性的数据-知识-计算一体化生物多样性早期预警体系, 以实现对生物多样性的多维度、多层次、多尺度综合分析。在国际政策协同合作的基础上, 面向《昆蒙框架》的全球生物多样性早期预警体系建设将推动全球生物多样性治理的科学化与智能化, 为各国制定与实施生物多样性保护政策提供坚实的科学依据, 并为全球生物多样性保护和可持续发展做出积极贡献。
    《昆蒙框架》背景下自然保护地管理有效性评估演化趋势与启示
    林雅莉, 林舒云, 廖凌云, 张玮仪, 陈大樑, 兰思仁, 尹伟伦
    生物多样性. 2025, 33(12):  25260.  doi: 10.17520/biods.2025260   cstr: 32101.14.biods.2025260
    摘要 ( 486 )   PDF (4616KB) ( 30 )   知识图谱   收藏
    相关文章 | 多维度评价
    建立自然保护地体系是生物多样性就地保护的主要形式,而有效的管理投入为实现成功的生态保护结果提供了重要的保障。《昆明-蒙特利尔全球生物多样性框架》目标3提出“2030年全球实现30%有效保护与管理的就地保护覆盖范围”,如何衡量目标3中就地保护措施的管理有效性,是全球履约执行目标3的关键。为全面了解管理有效性评估的全球进展,本文梳理以《生物多样性公约》为主线的自然保护地管理有效性评估发展脉络,归纳各阶段特点,辨析管理有效评估内涵演变及关键评估框架间的关系,总结国际管理评估工具的发展趋势。基于国际管理有效性评估实践进展的启示,研究构建中国本土化的管理有效性评估框架体系,旨在促进我国自然保护地管理有效性评估的标准化,强化管理有效性评估观念的主流化,以期为我国履约《昆蒙框架》目标3中衡量就地保护的管理有效性评估提供科学参考。
    地方战略与行动助力中国生物多样性保护目标路径研究
    吴杨, 杨梦婵, 孙芳芳, 田瑜
    生物多样性. 2025, 33(12):  25365.  doi: 10.17520/biods.2025365   cstr: 32101.14.biods.2025365
    摘要 ( 485 )   PDF (747KB) ( 58 )   知识图谱   收藏
    相关文章 | 多维度评价
    《中国生物多样性保护战略与行动计划(2023‒2030年)》(简称中国NBSAP)的发布带动了新一轮地方生物多样性保护战略与行动计划(LBSAP)的编制与更新。本文通过收集整理中国NBSAP出台后发布的省级LBSAP, 从保护目标、优先行动和保障机制3个方面比较分析省级LBSAP对中国NBSAP的响应情况, 以及地方生物多样性治理与国家行动的衔接性, 探讨我国不同地区、省际间目标设定差异与影响因素, 揭示多层级治理中的瓶颈并提出优化路径。研究发现, 省级LBSAP在目标设定、行动方向和保障机制等方面与中国NBSAP密切衔接, 省级LBSAP在中国NBSAP框架的基础上因地制宜地提出了具有地方特色的目标、行动和保障举措, 不同区域的LBSAP呈现出不同特征, 以反映当地独特的生物多样性状况、社会经济条件和保护需求。然而, 多数地方的LBSAP战略和行动仍面临目标路径不清晰、部门协调不畅、资金不足、科技力量薄弱、公众参与不足的困境。为此, 我们建议各地可通过科学编制和实施LBSAP, 从目标设定、跨部门跨地区合作、资金、科技、人才和社会参与等方面统筹协调, 优化资源配置, 助力中国NBSAP目标实现。
    金融支持生物多样性路径探析: 国内外创新经验和政策启示
    赵丹阳, 殷昕媛, 白韫雯
    生物多样性. 2025, 33(12):  24512.  doi: 10.17520/biods.2024512
    摘要 ( 490 )   PDF (969KB) ( 40 )   知识图谱   收藏
    相关文章 | 多维度评价
    随着《昆明-蒙特利尔全球生物多样性框架》的达成, 资金动员在全球生物多样性治理体系中的战略地位显著上升。《中国生物多样性保护战略与行动计划(2023−2030年)》首次系统提出“到2030年基本建立多元化投融资机制”的目标, 标志着生物多样性金融支持体系迈入制度化建设新阶段。本文基于政策文本梳理与金融实践归纳, 构建了“政策支持维度—金融工具类型”双维度分析框架, 系统梳理我国在生物多样性金融支持方面的政策部署、工具分类与属性特征。研究发现, 我国在五类政策支持维度上逐步形成了引导型、激励型与强制型相结合的支持机制, 金融工具体系也呈现出绿色信贷、绿色债券、生态补偿、混合融资与生态产品抵质押等多元路径。进一步地, 本文重点剖析了国内外在混合融资、生物多样性挂钩机制和市场化生态补偿等三类创新机制方面的运作逻辑与现实挑战, 尝试为金融支持生物多样性提供多元化投融资路径与制度经验。本文有助于把握我国生物多样性金融支持机制的结构逻辑与制度演进趋势, 并为政策优化与金融产品设计提供理论支撑与实践参考。本文提出制定明确的生物多样性金融标准和目录, 以引导投资者降低识别成本;鼓励开发基于GEP和生态绩效的金融产品, 创新环境权益抵押、混合融资与EOD等服务模式, 提升对生物多样性项目的支持能力; 强化生物多样性相关的风险管理和信息披露, 以增强私营部门投资信心等政策建议。通过这些措施, 旨在建立稳定且可持续的资金流动, 推动生物多样性在经济、政策和社会各领域的全面主流化。
    《生物多样性公约》第十六次缔约方大会重要议题进展与展望
    李希, 平晓鸽, 徐学红, 操瑜, 高博轩, 鲍一明, 徐基良
    生物多样性. 2025, 33(12):  25121.  doi: 10.17520/biods.2025121   cstr: 32101.14.biods.2025121
    摘要 ( 435 )   PDF (387KB) ( 37 )   知识图谱   收藏
    相关文章 | 多维度评价
    《生物多样性公约》第十六次缔约方大会(COP16)是《昆明-蒙特利尔全球生物多样性框架》(简称《昆蒙框架》)达成后的首次缔约方大会, 参会代表围绕《昆蒙框架》的实施、遗传资源数字序列信息的惠益分享、海洋和沿海生物多样性保护等20多项议题展开了深入讨论。本文综述了COP16重要议题的进展, 包括遗传资源数字序列信息的惠益分享机制、《昆蒙框架》的监测框架、资源调动与资金机制、海洋与沿海生物多样性保护、生物多样性与气候变化, 以及第8(j)条及相关条款。基于COP16重要议题的进展和我国的履约实际, 提出未来履约应重点关注以下内容: 推动遗传资源数字序列信息的研究和管理, 基于《昆蒙框架》监测框架的报告, 充分利用昆明生物多样性基金的重要作用持续引领全球生态环境治理, 推动生物多样性保护、海洋与气候协同治理, 重视多元群体声音, 以及加强跨部门合作和履约团队建设等。
    研究报告: 植物多样性
    吉林蛟河针阔混交林β多样性格局及其形成机制
    陈长樵, 冯艳飞, 卢力奇, 何怀江, 张春雨, 赵秀海, 郝珉辉
    生物多样性. 2025, 33(12):  25169.  doi: 10.17520/biods.2025169   cstr: 32101.14.biods.2025169
    摘要 ( 327 )   PDF (1180KB) ( 14 )   知识图谱   收藏
    相关文章 | 多维度评价
    β多样性是生物多样性的一个重要维度, 反映了物种组成在时间和空间上的变化。探讨β多样性的分布格局及其背后的生态学过程, 有助于揭示生物多样性的形成和维持机制, 为生物多样性保护提供指导。β多样性可以划分为不同组分, 但目前温带针阔混交林中不同组分对β多样性的贡献及其驱动机制并不清楚。本研究基于吉林蛟河针阔混交林30 ha动态监测样地(500 m × 600 m)的植被调查数据, 利用Jaccard指数和Sørenson指数量化群落β多样性, 通过Podani分解方法将群落β多样性分解为物种替换组分和丰富度差异组分, 检验其对群落β多样性的贡献; 同时利用样方–物种多度矩阵的总方差量化β多样性, 并将其划分为不同物种对β多样性的贡献(species contribution to β diversity, SCBD)和不同样方对β多样性的贡献(local contribution to β diversity, LCBD)。通过一元线性回归和二次项回归分析分别检验SCBD与物种频度、LCBD与物种丰富度的关系; 最后, 结合环境和空间数据, 采用变差分解检验环境过滤和扩散限制两种生态过程对森林生态特异性的影响。结果表明: (1)吉林蛟河针阔混交林的β多样性主要由物种替换导致, 而丰富度差异的贡献相对较小; (2) SCBD与物种频度显著相关, 随着频度的增加呈现先上升后下降的趋势, 其中对森林β多样性贡献最高的物种是千金榆(Carpinus cordata), 贡献最低的物种是毛山楂(Crataegus maximowiczii); (3) LCBD与物种丰富度显著相关, 随着物种丰富度的升高呈现先下降后上升的趋势; (4)森林生态特异性由环境过滤和扩散限制共同驱动, 但扩散限制的影响更大。本研究揭示了吉林蛟河针阔混交林β多样性及其不同组分的空间分布特征与生态驱动机制, 研究结果有助于促进对温带森林β多样性形成机制的理解, 同时能够为东北地区次生林的生态修复和生物多样性保护提供科学依据。
    氮和牛粪输入对典型草原植物种–面积关系的影响
    卢炜煜, 陈旭, 张日谦, 张云海, 李昭
    生物多样性. 2025, 33(12):  25251.  doi: 10.17520/biods.2025251   cstr: 32101.14.biods.2025251
    摘要 ( 420 )   PDF (1968KB) ( 9 )   知识图谱   收藏
    相关文章 | 多维度评价
    氮富集通常会降低样方尺度的植物多样性, 而牛粪输入被认为能维持天然草原植物多样性。但是氮沉降增加和牛粪周转时间延长等复合情景如何影响草原植物多样性及种–面积关系尚不明确。本研究依托位于中国科学院内蒙古草原生态系统定位研究站, 在附近典型草原建立了氮和牛粪添加实验, 并于实验第3年即2024年8月测定了每个实验小区1–8 m2植物物种数及表层土壤理化特性指标。结果表明: 围封显著降低了18.9%空间尺度平均植物物种数。围封显著降低了种–面积关系截距(单位面积植物多样性), 但并未改变物种共存最小面积和种–面积关系斜率(群落组成空间异质性)。氮和牛粪添加均未显著改变植物种–面积关系的截距、斜率和物种共存最小面积。结构方程模型结果显示, 围封通过降低土壤pH值使种–面积关系斜率增加, 但通过增加植物地上生产力降低了种–面积关系截距; 牛粪添加通过增加土壤铵态氮同时降低种–面积关系斜率和物种共存最小面积。本文结果表明, 典型草原生态系统牛粪输入会带来适量的养分输入, 有利于物种共存。因此, 应在保障草畜平衡的基础上评估牛粪输入对草原生态功能和畜牧生产的协同效益。
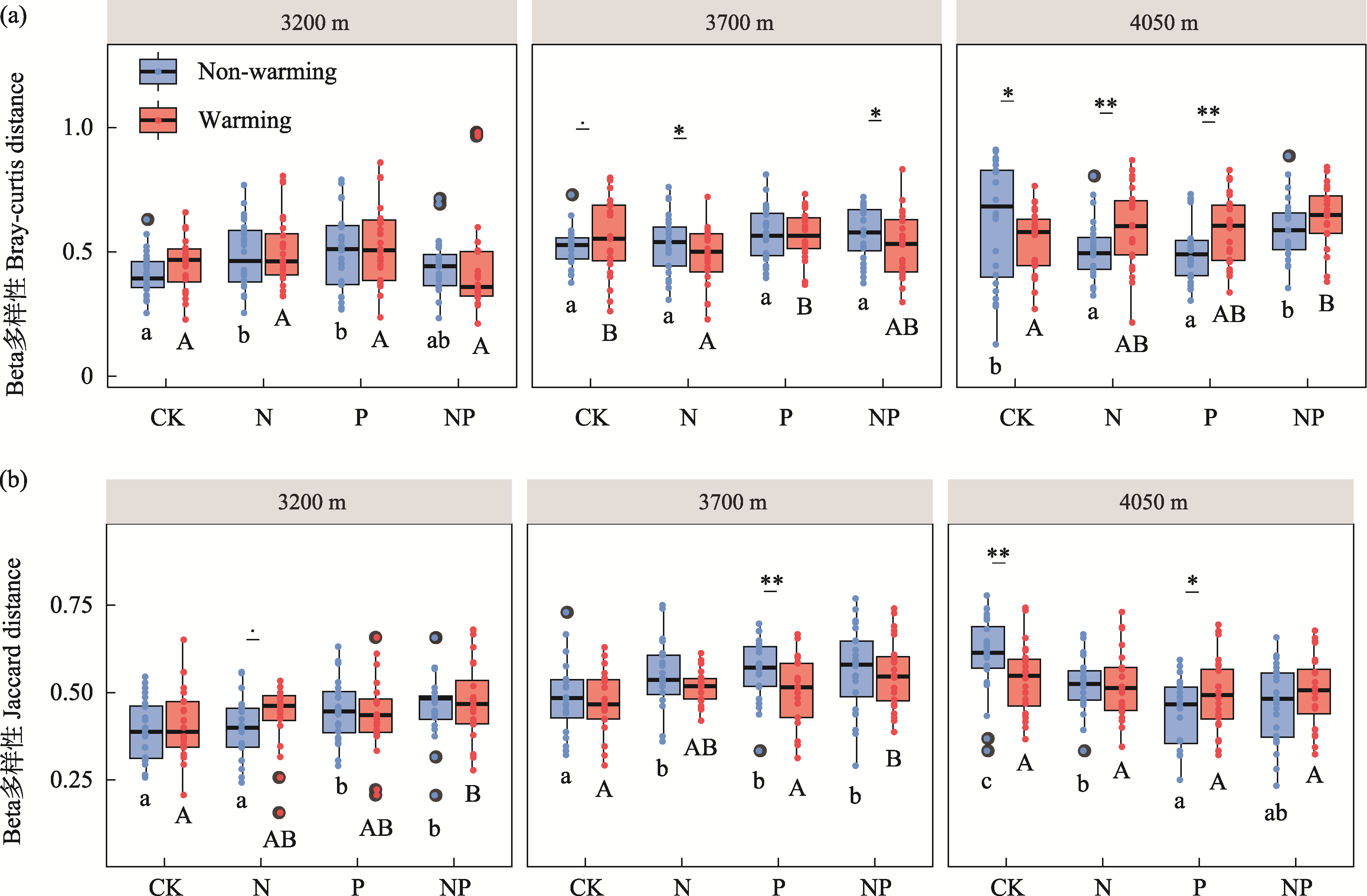
    高寒草甸α与β多样性对增温的响应受海拔和土壤养分水平调控
    李燚, 赵艳超, 陈立同
    生物多样性. 2025, 33(12):  25062.  doi: 10.17520/biods.2025062   cstr: 32101.14.biods.2025062
    摘要 ( 510 )   PDF (2690KB) ( 15 )   知识图谱   收藏
    相关文章 | 多维度评价
    青藏高原是全球气候变暖的敏感区, 且表现出海拔依赖性的增温特点。全球气候变暖会通过改变土壤水分和养分来影响群落植物多样性及其组成。因此, 为准确理解、把握与预测未来全球变暖情景下青藏高原高寒草甸生物多样性的变化趋势与规律, 本文以祁连山北麓高寒草甸为研究对象, 基于低(3,200 m)、中(3,700 m)、高(4,050 m)3个海拔的“增温-养分添加”实验平台, 于2021–2024年在生长季进行了群落物种组成调查, 以探究不同海拔群落多样性与组成对增温和养分添加的响应。结果表明: (1) α多样性对增温的响应具有海拔差异性, 即在低海拔不变、在中海拔降低而在高海拔升高。养分添加影响了α多样性对增温的响应, 其主要是通过改变群落不同功能群植物的物种丰富度或相对多度实现的, 且具有海拔差异。具体而言, 在养分添加条件下, 增温降低了低海拔豆科和禾草、中海拔禾草、莎草和杂类草植物的丰富度, 而增加了高海拔禾草和杂类草植物的丰富度及其相对多度。(2) 群落β多样性对增温的响应同样依赖于海拔, 并受到养分添加的调节。单独增温显著降低了高海拔群落β多样性, 但是在养分添加的条件下, 增温使得中海拔群落β多样性降低, 而高海拔群落β多样性增加。因此, 在未来全球变暖情境下, 为了更准确地预测生物多样性对全球变暖的响应, 必须要考虑不同地点的基线环境条件, 例如土壤水分和养分状况对生物多样性响应增温的影响。
    杭州西溪国家湿地公园外来入侵植物对自生植物群落的影响
    姚兴达, 朱开元, 蓝艺涵, 詹书侠, 乌云塔娜, 李健, 许雯婷
    生物多样性. 2025, 33(12):  25212.  doi: 10.17520/biods.2025212   cstr: 32101.14.biods.2025212
    摘要 ( 319 )   PDF (2261KB) ( 5 )   知识图谱   收藏
    相关文章 | 多维度评价
    入侵植物在城市自生植物中占有较大比例, 是自生植物群落景观营建不可回避的问题。研究入侵植物的影响对支持城市生物多样性的自生植物群落景观化应用具有重要意义。本研究通过对杭州西溪国家湿地公园不同生境的草本层自生植物进行分层随机抽样调查, 分析了外来植物入侵现状及其对自生植物群落的影响, 并对西溪湿地外来入侵植物管控方法提出建议。结果显示: (1)调查共记录到外来入侵植物25种, 约占自生植物物种总数的10.7%, 其中重要值最高的是空心莲子草(Alternanthera philoxeroides)和一年蓬(Erigeron annuus); (2) 5类生境中, 草地生境的入侵植物种类数量、发生频度和重要值均最高; (3)外来入侵植物显著减少了本土植物物种数, 显著降低了自生植物群落的物种多样性, 并显著影响了自生植物群落结构; (4)西溪国家湿地公园入侵植物管理需要特别注意空心莲子草、一年蓬等优势入侵种, 根据生境间差异、多物种入侵类型制定差异化的管理技术措施。本研究为自生植物群落景观营建与管理提供了参考。
    研究报告: 动物多样性
    中国青藏高原两栖、爬行动物多样性及其分布格局
    卢宸祺, 王剀, 于中斌, 吴云鹤, 郭宪光, 郭鹏, 车静
    生物多样性. 2025, 33(12):  25087.  doi: 10.17520/biods2025087   cstr: 32101.14.biods.2025087
    摘要 ( 509 )   PDF (4111KB) ( 110 )   附录    知识图谱   收藏
    相关文章 | 多维度评价
    青藏高原是世界上最独特的地质-地理-生态单元之一。复杂的地形地貌及多样的气候环境孕育了该地区丰富的生物资源, 使其成为全球生物多样性研究和保护的热点区域。本文通过整合历史文献、野外考察数据及分类学和分子系统学研究进展, 对中国青藏高原地区的两栖、爬行动物多样性及分布进行了系统梳理, 编制形成了两大类群的物种名录。截至2024年12月31日, 中国青藏高原地区共记录两栖动物2目12科39属151种, 约占我国两栖动物总数的22.0%, 其中有尾目3科3属10种, 无尾目9科36属141种, 中国青藏高原特有种64种;爬行动物共记录2目19科62属206种, 约占我国爬行动物总数的30.3%, 其中龟鳖目1科1属1种, 有鳞目蜥蜴亚目6科24属96种, 蛇亚目12科37属109种, 中国青藏高原特有种72种。从发表时间来看, 该地区超过1/4的两栖、爬行动物被发现和报道于过去10年间(2015–2024年)。基于中国生物多样性红色名录的评估, 中国青藏高原地区22.5%的两栖动物和11.7%的爬行动物正面临不同程度的灭绝风险, 而42.4%的两栖动物和43.7%的爬行动物处于数据缺乏或未评估状态。在名录基础上, 本文分别构建了两大类群县域尺度的多样性、特有性、受胁物种、数据缺乏及未评估物种和近10年新发现物种的分布格局。结果显示, 中国青藏高原地区两栖、爬行动物的分布极不均衡, 藏东南、滇西北及川西是物种丰富度、特有度最高, 受胁物种、数据缺乏及未评估物种和新发现物种数量最多的3个热点地区, 其中墨脱县在各县级行政单元中最为突出。基于以上结果, 本研究建议将上述热点地区作为未来考察的重点关注区域。此外, 该地区物种基础生物学数据缺口明显, 数据缺乏或未评估物种比例远高于国家及世界平均水平, 亟需开展针对性的种群生物学调查, 尽快完善相关物种的保护评估。最后, 应建立长效的多样性监测和管理机制, 以应对栖息地丧失、过度利用及全球气候变化等日益加剧的威胁。
    基于红外相机监测的杭州市鸟兽多样性分析与优先保护关键区域评估
    汪锦辉, 刘宝权, 周晓, 梁子安, 孔令伟, 方卫军, 孙晗靖, 金挺浩, 厉亮, 何珂, 朱振贤
    生物多样性. 2025, 33(12):  25265.  doi: 10.17520/biods.2025265   cstr: 32101.14.biods.2025265
    摘要 ( 433 )   PDF (2240KB) ( 26 )   知识图谱   收藏
    相关文章 | 多维度评价
    了解区域内物种的空间分布格局和种群数量, 是制定科学有效保护策略的关键依据, 城市生物多样性更是城市自然生产力和生态系统稳定的重要基础。本研究基于杭州市全域红外相机监测数据, 系统分析区域内物种的空间分布格局, 利用随机相遇模型估算种群密度, 占域模型评价栖息地利用影响生态因素, Zonation评估杭州市珍稀濒危物种保护优先区。结果显示: (1)共记录到147个物种, 包括兽类7目18科30种, 鸟类11目36科117种, 其中兽类以小麂(Muntiacus reevesi)、花面狸(Paguma larvata)、鼬獾(Melogale moschata)和猪獾(Arctonyx collaris)为优势种, 鸟类则以白鹇(Lophura nycthemera)为优势种。(2)物种多样性空间分布呈现明显异质性, 临安和淳安是重点保护物种的主要分布区, 黑麂(Muntiacus crinifrons)、中华鬣羚(Capricornis milneedwardsii)等珍稀物种集中分布于此, 而梅花鹿(Cervus nippon)仅见于临安的自然保护区内; 淳安发现了具有重要生态意义的豹猫(Prionailurus bengalensis)种群, 余杭区则分布有貉(Nyctereutes procyonoides)和亚洲狗獾(Meles leucurus)等适应城市周边生态系统的食肉目物种。(3)对于广泛分布的物种, 海拔是影响其在杭州市分布的重要因素。(4)针对红外相机监测的小型兽类和地栖性鸟类数据, 系统评估识别出优先区总面积5,068.85 km2, 现有自然保护地的54.33%位于30%优先区内, 保护了目标优先区的20.74%, 主要为国家级保护体系(天目山国家级自然保护区、清凉峰国家级自然保护区和富春江-新安江国家级风景名胜区, 占目标优先区保护体系的94.25%)。在淳安西部和西北部的山区、萧山湘湖、临安岛石和清凉峰镇及桐庐百江镇山区存在保护空缺。这些发现为优化杭州市生物多样性保护网络、完善保护地体系建设提供了科学依据, 特别是对临安和淳安等关键区域的保护管理具有重要指导意义。
    秦岭主梁北坡黄喉貂的种间关联与保护
    罗颖璐, 崔巍, 朱代博, 卜书海, 郑雪莉
    生物多样性. 2025, 33(12):  25186.  doi: 10.17520/biods.2025186   cstr: 32101.14.biods.2025186
    摘要 ( 403 )   PDF (1884KB) ( 33 )   知识图谱   收藏
    相关文章 | 多维度评价
    明晰物种间的空间关联网络是理解群落结构的关键, 有利于揭示种间生态学关系和阐述物种的共存机制。在秦岭北坡的复杂生境中, 黄喉貂(Martes flavigula)为中型食肉动物的代表, 对动物种群规模及植被资源分配的影响逐渐增加。本研究对秦岭主梁北坡2019–2024年所获83台红外相机数据进行分析, 构建黄喉貂与该区域地栖鸟兽的种间关联网络。结果显示: (1)在拍摄到的6目13科29种地栖动物中, 黄喉貂与14个物种存在空间关联, 其中黄喉貂与野猪(Sus scrofa)、小麂(Muntiacus reevesi)、中华扭角羚(Budorcas tibetana)和毛冠鹿(Elaphodus cephalophus) 4个物种呈偏利生态学关系, 与其余10个物种呈对称生态学关系。(2)黄喉貂对该区域群落稳定性的贡献率排名第二, 仅次于川金丝猴(Rhinopithecus roxellanae)。关联网络中共识别出14个核心物种(如川金丝猴、毛冠鹿和亚洲黑熊Ursus thibetanus等)和9个外周物种(如中华鬣羚Capricornis milneedwardsii和隐纹花鼠Tamiops swinhoei等)。黄喉貂在食物网中占据核心节点, 是网络中最积极的物种之一, 特别在大型食肉动物稀少的秦岭森林生态系统中, 对维持群落稳定发挥着重要作用。
    研究报告: 微生物多样性
    古尔班通古特沙漠灌木叶际细菌群落的多样性特征及其驱动因素
    罗春生, 张俊, 金华, 尹翔正, 张元明
    生物多样性. 2025, 33(12):  25340.  doi: 10.17520/biods.2025340   cstr: 32101.14.biods.2025340
    摘要 ( 377 )   PDF (4044KB) ( 15 )   知识图谱   收藏
    相关文章 | 多维度评价
    叶际微生物对宿主植物健康、适应性及生态系统稳定性具有重要作用,但目前针对温带荒漠灌木叶际微生物群落多样性特征及其驱动机制的研究仍较为匮乏。本研究以古尔班通古特沙漠三种典型荒漠灌木[淡枝沙拐枣(Calligonum leucocladum)、膜果麻黄(Ephedra przewalskii)和白梭梭(Haloxylon persicum)]为研究对象,基于16S rRNA高通量测序技术,结合PCoA分析、冗余分析和零模型构建等方法,系统解析了叶际细菌群落的多样性特征及确定性与随机性过程对其群落构建的相对贡献。结果表明:宿主植物身份和地理位置均显著影响叶际细菌群落的多样性和结构(P < 0.05),其中宿主身份的解释度(R2 = 0.766)显著高于地理位置(R2 = 0.046);植物功能性状对叶际细菌群落结构变异的独立贡献(9.39%–47.45%)远高于气候因素(0%–0.38%)和土壤特性(1.23%–6.21%);随机性过程(75.53%–95.24%)主导叶际细菌群落构建,生态漂变(60.01%– 91.43%)是其核心驱动力;共现网络分析显示不同荒漠灌木叶际细菌群落的网络结构紧密,并且存在显著的网络模块化特征。本研究揭示了干旱区荒漠灌木叶际细菌群落的多样性特征及构建机制,强调了宿主功能性状的关键作用,为全球气候变化背景下荒漠生态系统的适应性管理策略制定提供理论依据和实践指导。
    研究报告: 遗传多样性
    艾比湖湿地国家级自然保护区马鹿遗传多样性及遗传结构
    伍金山, 杨长乐, 马玉凤, 李亚旋, 高文家, 叶·库斯力, 叶樑洪, 杨宇骄, 徐梦琦, 廖廷琼, 钟林强, 单文娟
    生物多样性. 2025, 33(12):  25233.  doi: 10.17520/biods.2025233   cstr: 32101.14.biods.2025233
    摘要 ( 483 )   PDF (2397KB) ( 9 )   知识图谱   收藏
    相关文章 | 多维度评价
    在全球生物多样性面临威胁的背景下, 保护野生动物的遗传多样性对于维护生态平衡和提升生态系统适应能力具有至关重要的作用。本研究以艾比湖保护区马鹿为研究对象, 采用非损伤性取样法获取粪便样本, 基于微卫星和线粒体标记(CYTBD-LOOP)分析其遗传多样性和遗传结构。结果显示, 微卫星整体观测杂合度(Ho)为0.662, 期望杂合度(He)为0.777, 多态信息含量(PIC)为0.712, 近交系数(Fis)为0.165, 整体偏离哈迪-温伯格平衡; 线粒体标记CYTB及D-LOOP单倍型多样性(Hd)分别为0.447和0.605, 核苷酸多样性(Pi)分别为0.00463和0.00334, 与其他马鹿亚种相比艾比湖保护区马鹿的遗传多样性处于中等偏高水平, 未发生瓶颈效应且存在一定程度的近交现象。微卫星Structure分析、主坐标分析表明, 艾比湖保护区马鹿分为两个聚类群体, 推测其发生了遗传分化。系统发育及遗传距离表明, 艾比湖保护区马鹿与天山马鹿及阿勒泰马鹿亲缘关系较近。作为保护区内的大型有蹄类物种之一, 其遗传多样性对维持生态系统具有重要意义。因此, 为维持保护艾比湖保护区马鹿遗传多样性, 建议加强马鹿栖息地的保护, 构建生态廊道以促进基因交流, 避免发生近交现象。
    研究报告: 生态系统多样性
    北京市东灵山人工林和天然林对土壤跳虫体型、生物量和代谢功能的影响
    张兵, 张春雨, 陈相秀, 陈浩缜, 潘萌, 王少鹏
    生物多样性. 2025, 33(12):  25352.  doi: 10.17520/biods.2025352   cstr: 32101.14.biods.2025352
    摘要 ( 396 )   PDF (761KB) ( 54 )   知识图谱   收藏
    相关文章 | 多维度评价
    人工造林导致的林型变化会显著影响土壤生物群落结构和功能。跳虫作为土壤中重要的分解者类群, 其不同物种间体型差异可达百倍, 且体型大小、体重和代谢速率间均为非线性关系。为评估林型变化和凋落物理化性质对土壤跳虫群落“存量”功能(密度和生物量)和“流量”功能(代谢速率)影响的异同, 本研究以北京市东灵山辽东栎(Quercus liaotungensis)天然林和华北落叶松(Larix principis-rupprechtii)和油松(Pinus tabuliformis)人工林中的土壤跳虫为对象, 综合分析了林型和林下凋落物生物量以及氮、磷元素浓度对跳虫密度、生物量和代谢速率等功能的影响。结果显示, (1)林型不显著影响跳虫群落总密度、总生物量和总代谢速率, 但油松林中跳虫群落密度结构、生物量结构和代谢结构与落叶松林和辽东栎林显著不同; (2)凋落物氮、磷元素浓度(而非凋落物生物量)显著影响(正相关)跳虫群落和3个目跳虫的密度、生物量和代谢速率; (3)林型对跳虫群落平均体长、平均体重和平均代谢速率无显著影响, 但显著影响了长跳目和愈腹目平均体长、平均体重和平均代谢速率, 并且凋落物生物量和氮、磷元素浓度与部分目跳虫的平均体长、平均体重和平均代谢速率显著相关。这些结果表明, 东灵山60年落叶松人工林与辽东栎天然林的跳虫密度、生物量和代谢速率等功能指标相近, 但油松人工林中跳虫群落的功能已出现显著变化, 这种变化主要与油松人工林中低质量(氮、磷元素浓度)的凋落物有关。林型和凋落物理化性质对跳虫总密度、总生物量和总代谢速率以及对跳虫平均体长、平均体重和平均代谢速率的影响程度与跳虫类群有关。此外, 本研究还发现, 林型和凋落物理化性质对3个目跳虫的代谢速率和生物量的影响程度相似, 而与对密度的影响存在较大差异。通过在跳虫群落和目 水平上分析不同生境下跳虫的密度和生物量等“存量”功能和代谢速率等“流量”的影响差异, 本研究结果为系统探究环境变化如何影响土壤动物群落的生态功能提供了新视角。
    技术与方法
    融合对抗解耦与特征对齐的野生动物图像开集域适应方法
    安家宁, 张长春, 王建涛, 裴志永, 白丹丹, 张军国
    生物多样性. 2025, 33(12):  25283.  doi: 10.17520/biods.2025283   cstr: 32101.14.biods.2025283
    摘要 ( 368 )   PDF (6951KB) ( 10 )   知识图谱   收藏
    相关文章 | 多维度评价
    野生动物是生态系统的重要组成部分, 高效的图像识别与监测对其保护具有重要意义。在野生动物图像识别的实际应用中, 由于环境背景复杂所引发的跨域分布差异, 以及目标域中未知物种的干扰, 常常导致模型泛化性能的降低。针对上述挑战, 本文提出一种融合对抗解耦与特征对齐的野生动物图像开集域适应方法。首先, 基于残差网络ResNet50构建域对抗网络, 再采用融合中心对齐与正交投影的双重优化策略, 通过增强已知类别的判别性进一步解耦未知类别的特征空间, 最后构建融合对抗解耦与特征对齐的野生动物开集域适应识别模型。实验结果表明, 所提出的方法在包含8类与11类野生动物的域适应数据集上进行训练与评估, 分别获得了48.95%和46.38%的Average-HOS值, 与最佳对比方法相比, Average-HOS值分别提升了14.73%和9.53%。与基线模型相比, 所提方法在开集域适应任务中展现出显著的性能优势。本文提出的融合对抗解耦与特征对齐的协同优化方法, 能有效解决野生动物识别任务中域偏移与未知类别干扰难题, 进而提升模型在开放场景下的跨域泛化及未知类别识别能力。
    生物编目
    中国植物新分类群、新名称变化2024年度报告
    黄章杰, 熊驰, 冯真豪, 廖帅, 刘军, 杜诚
    生物多样性. 2025, 33(12):  25483.  doi: 10.17520/biods.2025483   cstr: 32101.14.biods.2025483
    摘要 ( 404 )   PDF (2639KB) ( 42 )   知识图谱   收藏
    相关文章 | 多维度评价
    通过查阅2024年出版的117种期刊和相关书籍, 并对各种网络数据库进行交叉检索和系统梳理, 我们检索到5部书籍和61种刊物中发表的416篇文章包含与中国植物物种编目相关的内容。涵盖植物新分类群、新组合、替代名称、新等级、异名、模式标定、名称更正以及国家级新记录、排除中国分布、物种再次发现等。数据显示, 2024年共发表国产高等植物新科6个, 新属5个, 新种(含新杂交种) 284个, 新种下分类群24个, 新高阶等级35个(新亚纲1个、新亚科2个、新超族15个、新族9个、新亚族8个), 新组5个, 新系1个; 发表新组合(等级) 531个(种上等级组合5个, 种级组合507个, 种下等级组合19个), 替代名称92个; 发表国家级新记录属6个、种56个、种下等级3个; 将166个名称处理为109个物种的异名, 恢复物种地位9个; 重新发现多年未曾发现的物种4个, 排除物种分布3个。发表的新物种中,苔藓植物有4种, 蕨类植物有21种(含2个杂交种), 裸子植物有3种, 被子植物有256种(含1个杂交种)及24个种下等级。这些新物种中, 有136个在发表时提供了综合证据, 97个在发表时依据IUCN标准评估了生存状态。云南、广西、西藏和四川等西南4省区发表新物种数量最多, 占全国新物种总数的2/3; 墨脱县是发现新物种以及国家级新记录最多的县级行政单位, 共计发表了13个新物种和6个新记录。2024年中国高等植物净新增316个分类群, 占全国总数的0.67%, 796个高等植物名称发生变动, 占全国总数的1.69%。多项指标显示, 中国植物的新分类群发表和名称变化的数量在波动中仍处于较高水平。
    数据论文
    全球变化情景下的中国蝴蝶受威胁物种名录
    张一帆, 张文远, 王迪, 王志恒, 王戎疆
    生物多样性. 2025, 33(12):  25400.  doi: 10.17520/biods.2025400
    摘要 ( 184 )   PDF (628KB) ( 17 )   知识图谱   收藏
    相关文章 | 多维度评价
    人类活动导致的环境变化正严重威胁全球生物多样性。在保护生物学中, IUCN红色名录常被作为衡量物种灭绝风险的重要依据, 但目前在昆虫等类群中, 物种灭绝风险评估仍存在明显不足。中国蝴蝶多样性丰富, 但现有红色名录评估主要依赖历史数据, 尚未纳入对未来生存风险的预测。本研究整合了中国1,920种蝴蝶的247,248条分布记录, 其中598个物种当前的分布数据不足以建模, 将其评估为数据缺乏; 对1,322种数据充足的物种, 结合未来气候与土地利用数据, 运用集成物种分布模型模拟了从当前至2070年间的潜在分布变化。通过量化分布区面积变动, 并依据IUCN标准A3c阈值, 系统评估了物种的受威胁等级。研究结果显示, 不同未来情景下蝴蝶物种所受威胁存在显著差异, 其中在高强迫路径SSP5-8.5下受威胁物种数量最高(277种), 且分布区平均缩减幅度高达55.0%。与此前红色名录相比, 本研究新识别出多个易受未来气候变化影响的物种。本研究提供了首份基于未来情景的中国蝴蝶红色名录评估, 揭示了高强度排放路径对生物多样性的严重威胁, 识别出需优先保护的关键类群, 为制定前瞻性保护策略提供了科学依据。
    综述
    古树生物文化微保护地: 一种生物与文化要素协同的创新型保护路径
    李小双, 马建忠
    生物多样性. 2025, 33(12):  25295.  doi: 10.17520/biods.2025295   cstr: 32101.14.biods.2025295
    摘要 ( 336 )   PDF (1599KB) ( 5 )   知识图谱   收藏
    相关文章 | 多维度评价
    古树生物文化微保护地(ancient tree biocultural micro-conservation site, ATBMS)是一种旨在协同保护古树生物与文化要素的创新性保护路径。本文拟通过系统阐释其概念内涵与特征, 明确其在全球保护地体系中的独特定位与价值。通过系统梳理自然保护地发展历程, 对比其他有效的区域保护措施(other effective area-based conservation measures, OECMs)、植物微型保护区及自然保护小区等相关模式, 并结合案例研究, 本研究明确了ATBMS以单株或小型古树群为核心、整合其微生境与文化空间的复合特征。ATBMS的核心创新在于实现了生态-文化双维度的精细化协同保护, 填补了OECMs在“文化及精细化保护”方面的不足, 弥补了传统小微保护地“生态-文化割裂”的缺陷, 并与自然保护小区形成互补。基于此, 本研究提出了针对不同古树类型(如单株/群状、自然/栽培、城市/乡村)的差异化保护策略。本研究阐明, ATBMS能为局部生物多样性提供关键栖息地, 并承载地方传统知识与文化记忆, 是OECMs的有效补充, 为全球生物文化多样性保护提供了“精微守护”的创新范式。未来需深化评估指标体系、推动跨学科研究并完善社区共管机制, 以构建科学的ATBMS保护体系。
    北部湾海洋哺乳动物组成、地理分布及保护对策
    黄秀滋, 郭宇明, 戴洪涛, 乔莹, 郭李臻, 陈炳耀
    生物多样性. 2025, 33(12):  25229.  doi: 10.17520/biods.2025229   cstr: 32101.14.biods.2025229
    摘要 ( 358 )   PDF (4893KB) ( 37 )   知识图谱   收藏
    相关文章 | 多维度评价
    北部湾拥有丰富的海洋哺乳动物资源, 但物种组成及分布信息还缺乏整理。本研究通过整合历史典籍、文献、专著及核实的搁浅、野外目击和误捕等记录, 首次系统梳理了该区域海洋哺乳动物的物种组成和分布特征。结果显示, 北部湾出现过海洋哺乳动物26种, 分属食肉目(Carnivora)、海牛目(Sirenia)和鲸偶蹄目(Cetartiodactyla)3目8科19属, 包括中华白海豚(Sousa chinensis)和印太江豚(Neophocaena phocaenoides)等定居种(Resident species), 布氏鲸(Balaenoptera edeni)和真海豚(Delphinus delphis)等季节性常见种(Seasonal residents), 飞旋原海豚等常见种(Visitor species), 斑海豹(Phoca largha)等偶见种(Vagrant species)。北部湾海洋哺乳动物物种多样性呈现“北高南低”的分布特征, 广西北海是高密度分布区, 防城港和钦州近岸水域是中等密度分布区。历史典籍表明, 海洋哺乳动物尤其儒艮在北部湾的分布范围比现今更加广泛。现代记录可划分为1954年-2000年和2000年-2025年两个阶段, 对比两个阶段北部湾的海洋哺乳动物物种数由21种增至22种, 新增了髯海豹(Erignathus barbatus)、大村鲸(Balaenoptera omurai)等5个物种, 而灰鲸(Eschrichtius robustus)、塞鲸(Balaenoptera borealis)等4个物种2000年之后再无记录。10种海洋哺乳动物为国家I级重点保护野生动物, 其余16种为II级; 在全部物种中, 有5种为IUCN受威胁物种, 占总数的19.23%。其中包括1种濒危EN物种和4种易危VU物种, 分别占总种数的3.85%与15.38%。儒艮历史上主要分布在北海合浦近岸海草密集水域, 如今海草急剧缩减, 难觅踪迹; 中华白海豚主要分布在大风江-南流江口、广西沙田-广东草潭水域和海南西南侧, 关于该物种的种群总数存在争议; 布氏鲸在涠洲岛-斜阳岛分布较为集中, 每年12月至次年4年稳定出现, 识别个体数超80头; 印太江豚广泛分布于北部湾沿岸, 种群数量庞大, 可能超过1000头。建议未来加强北部湾海洋哺乳动物基线调查, 优化监测体系, 科学管控沿海工程, 推广改良渔具及声学驱避装置, 设立动态管理保护区, 强化生境修复并施行文明观鲸/豚规范, 减缓人类活动影响。
    “SITE-100”中国样地昆虫多样性监测研究进展
    孔祥飞, 丁强, 王国全, 黄国华, 田哲豪, 王新谱, 佟一杰, 宋志顺, 张晓宁, 李卫海, 韩辉林, 李文亮, 聂瑞娥, 杨海东, 杨星科, 刘梅柯, 孙永明, 崔亚琴, 杨美霞, 刘宁, 路园园, 李盼盼, 白明
    生物多样性. 2025, 33(12):  24323.  doi: 10.17520/biods.2024323   cstr: 32101.14.biods.2024323
    摘要 ( 321 )   PDF (4496KB) ( 30 )   知识图谱   收藏
    相关文章 | 多维度评价
    昆虫是最大的生物类群, 近年来昆虫多样性的减少引起人们的极大关注。通过在全球定点布设长期样地, 定量评估昆虫多样性与环境之间的关系将有助于高精度刻画昆虫减少过程, 具有重要的理论意义和现实价值。本文通过对“SITE-100”中国样地目前在昆虫多样性监测方面取得的研究成果、已研发的新技术、新方法进行综述, 详细介绍了“SITE-100”样地的标准化工作流程, 以及各个新技术、新方法的特点与优势, 以期助力于中国森林生物多样性监测工作的更好开展, 推动在昆虫多样性时空分布格局评估、昆虫智能监测等方面技术标准体系的形成。
    保护与治理对策
    战略微生物资源评估方法与首批资源清单
    王科, 赵鹏, 范国梅, 王芳, 刘世良, 黄静, 蔡磊, 周丽伟
    生物多样性. 2025, 33(12):  25146.  doi: 10.17520/biods2025146   cstr: 32101.14.biods.2025146
    摘要 ( 374 )   PDF (626KB) ( 2340 )   知识图谱   收藏
    相关文章 | 多维度评价
    生物资源与国民经济和社会发展息息相关, 是保障国家粮食安全、生态安全、能源安全等的重要战略资源。微生物是地球生态系统的关键组成部分, 对人类生产、生活资料的积累和可持续发展具有重要的战略意义。然而, 由于对战略微生物资源的内涵认识不清, 导致大量微生物资源通过走私、夹带等方式流失海外, 甚至出现本土灭绝。本研究针对战略微生物评价体系的空白, 首先对微生物资源的战略价值进行了基本的归类并明确流失风险点。在此基础上, 建立了一套针对微生物战略价值的评估和赋分标准。该评估方法已完成海关行业标准送审稿的编写, 并已提交标准委员会审定。同时, 建设了战略微生物资源在线评估系统(软著登记号2024SR1032250, https://www.casbrc.org/assessment), 挂靠在中国科学院战略生物资源计划网站之下(https://www.casbrc.org/)。依据此评估方法对773个微生物物种进行了战略价值评分, 确认首批502个物种入选战略微生物资源清单, 包含真菌440种、卵菌7种、微孢子虫1种、细菌53种以及古细菌1种。以上研究方法与成果预期为我国战略生物微生物资源的收集、保藏、管理和开发应用提供基本依据。

  • 微信号:swdyx_wx

  • 淘宝店二维码

  • 微店二维码