
生物多样性 ›› 2023, Vol. 31 ›› Issue (3): 22311. DOI: 10.17520/biods.2022311 cstr: 32101.14.biods.2022311
收稿日期:2022-06-08
接受日期:2022-08-12
出版日期:2023-03-20
发布日期:2022-11-10
通讯作者:
宋志平
作者简介:* E-mail: songzp@fudan.edu.cn基金资助:
Wenwen Shao, Guozhen Fan, Zhizhou He, Zhiping Song(
)
Received:2022-06-08
Accepted:2022-08-12
Online:2023-03-20
Published:2022-11-10
Contact:
Zhiping Song
摘要:
边缘种群的表型可塑性和本地适应性的解析是预测植物如何响应气候变化的基础。本研究以普通野生稻(Oryza rufipogon)的北缘种群为核心对象, 以中心种群(中部、南部种群)为对照, 进行3地同质园实验, 以“空间换时间”的策略模拟未来气温变化情形下普通野生稻种群的表型表现。结果显示, 普通野生稻各种群具有丰富的表型可塑性, 种群间表型可塑性存在差异。北缘种群在株高、种子量和越冬存活率等指标上表现出明显的本地适应性, 反映了对相对低温环境的适应。北缘种群无论北移还是南移都能够正常结实、完成生活史, 说明在未来气温变化情形下也能生存; 中部和南部种群在上海同质园都不能越冬存活, 提示极端低温对于低纬度种群影响较大。这些结果表明, 尽管普通野生稻存在明显的适应性分化, 但有较强的表型可塑性能力, 北缘种群和中心种群都能适应当前的气候变暖。
邵雯雯, 范国祯, 何知舟, 宋志平 (2023) 多地同质园实验揭示普通野生稻的表型可塑性与本地适应性. 生物多样性, 31, 22311. DOI: 10.17520/biods.2022311.
Wenwen Shao, Guozhen Fan, Zhizhou He, Zhiping Song (2023) Phenotypic plasticity and local adaptation of Oryza rufipogon revealed by common garden trials. Biodiversity Science, 31, 22311. DOI: 10.17520/biods.2022311.
| 变异来源 Source | df | 花期 FD | 株高 HP | 分蘖数 TN | 有效分蘖数 ET | 每穗颖花数 FN | 每穗实粒数 SN | 每穗实粒重 SW | 单株实粒数 GN | 单株实粒重 GW | 结实率 SS |
|---|---|---|---|---|---|---|---|---|---|---|---|
| 种群 Population | 2 | 6.038* | 1.832 | 0.159 | 0.666 | 10.648* | 4.025 | 0.217 | 4.675 | 0.039 | 5.182 |
| 地点 Site | 2 | 14.906* | 6.387* | 17.029** | 8.525* | 1.661 | 17.338*** | 0.097 | 18.283*** | 0.772 | 33.757*** |
| 区块 Block | 1 | 2.067 | 0.256 | 0.444 | 0.094 | 1.696 | 1.306 | 0 | 0.307 | 0.001 | 1.459 |
| 种群 × 地点的互作 Population × Site | 4 | 16.041** | 2.577 | 1.779 | 1.982 | 5.081 | 7.256 | 4.277 | 0.387 | 3.194 | 2.653 |
表1 种群来源和栽培地点及其相互作用、区块对普通野生稻的表型性状的效应的广义线性模型分析结果(* < 0.05, ** < 0.01, *** < 0.001)。
Table 1 F-values generated from general linear model (GLM) analysis in testing the effects of population, growing site, their interaction and block on the traits of Oryza rufipogon (* < 0.05, ** < 0.01, *** < 0.001). FD, Days to flower; HP, Plant height; TN, Number of total tillers; ET, Number of effective tillers; FN, Spikelet number per panicle; SN, Seed number per panicle; SW, Seed weight per panicle; GN, Grain number per individual; GW, Grain weight per individual; SS, Seed set.
| 变异来源 Source | df | 花期 FD | 株高 HP | 分蘖数 TN | 有效分蘖数 ET | 每穗颖花数 FN | 每穗实粒数 SN | 每穗实粒重 SW | 单株实粒数 GN | 单株实粒重 GW | 结实率 SS |
|---|---|---|---|---|---|---|---|---|---|---|---|
| 种群 Population | 2 | 6.038* | 1.832 | 0.159 | 0.666 | 10.648* | 4.025 | 0.217 | 4.675 | 0.039 | 5.182 |
| 地点 Site | 2 | 14.906* | 6.387* | 17.029** | 8.525* | 1.661 | 17.338*** | 0.097 | 18.283*** | 0.772 | 33.757*** |
| 区块 Block | 1 | 2.067 | 0.256 | 0.444 | 0.094 | 1.696 | 1.306 | 0 | 0.307 | 0.001 | 1.459 |
| 种群 × 地点的互作 Population × Site | 4 | 16.041** | 2.577 | 1.779 | 1.982 | 5.081 | 7.256 | 4.277 | 0.387 | 3.194 | 2.653 |
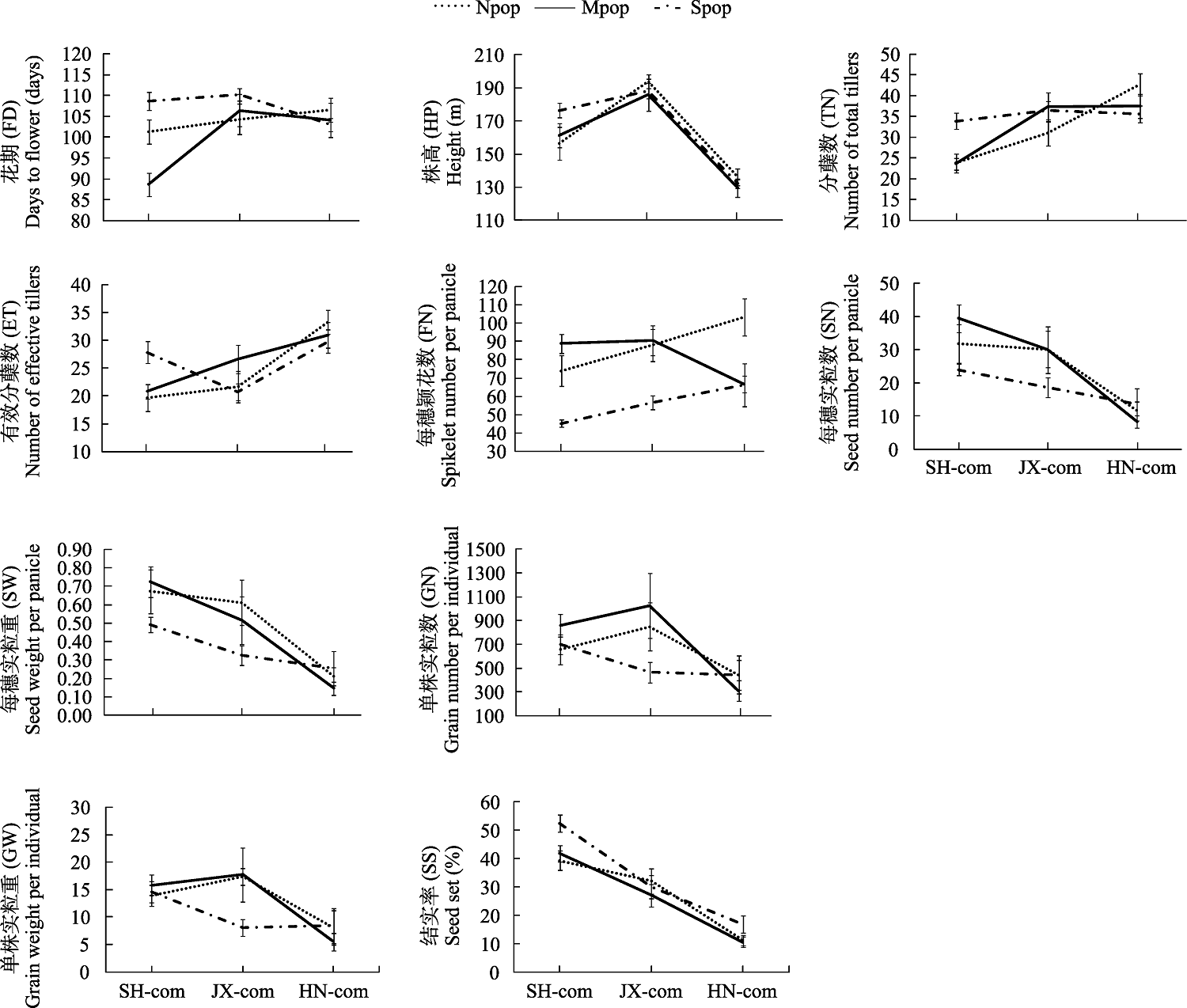
图1 3个普通野生稻种群在不同同质园的表型性状变化(均值 ± 标准误)。误差棒表示95%的置信区间。Npop: 北缘种群; Mpop, 中部种群; Spop: 南部种群。SH-com: 上海同质园; JX-com: 江西同质园; HN-com: 海南同质园。
Fig. 1 Variations of phenotypic traits of three Oryza rufipogon populations in different common gardens. Error bars indicate 95% confidence intervals. Npop, Northern population; Mpop, Middle population; Spop, Southern population. SH-com, Shanghai common garden; JX-com, Jiangxi common garden; HN-com, Hainan common garden.
图2 3个普通野生稻种群的可塑性指数(= |Max-Min| / Max)。Max: 最大值; Min: 最小值。Npop: 北缘种群; Mpop, 中部种群; Spop: 南部种群。FD: 花期; HP: 株高; TN: 分蘖数; ET: 有效分蘖数; FN: 每穗颖花数; SN: 每穗实粒数; SW: 每穗实粒重; GN: 单株实粒数; GW: 单株实粒重; SS: 结实率。
Fig. 2 Index of plasticity (= |Max-Min| / Max) of three Oryza rufipofon populations. Max, Maximum value; Min, Minimum value. Npop, Northern population; Mpop, Middle population; Spop, Southern population. FD, Days to flower; HP, Plant height; TN, Number of total tillers; ET, Number of effective tillers; FN, Spikelet number per panicle; SN, Number per panicle; SW, Seed weight per panicle; GN, Grain number per individual; GW, Grain weight per individual; SS, Seed set.
| [1] |
Albecker MA, Trussell GC, Lotterhos KE (2022) A novel analytical framework to quantify co-gradient and countergradient variation. Ecology Letters, 25, 1521-1533.
DOI URL |
| [2] |
Bansal S, Harrington CA, Gould PJ, St Clair JB (2015) Climate-related genetic variation in drought-resistance of Douglas-fir (Pseudotsuga menziesii). Global Change Biology, 21, 947-958.
DOI PMID |
| [3] |
Bjorkman AD, Vellend M, Frei ER, Henry GHR (2017) Climate adaptation is not enough: Warming does not facilitate success of southern tundra plant populations in the high Arctic. Global Change Biology, 23, 1540-1551.
DOI PMID |
| [4] |
Bontrager M, Angert AL (2019) Gene flow improves fitness at a range edge under climate change. Evolution Letters, 3, 55-68.
DOI PMID |
| [5] | Chevin LM, Lande R, Mace GM (2010) Adaptation, plasticity, and extinction in a changing environment: Towards a predictive theory. PLoS Biology, 8, e1000357. |
| [6] |
Franks SJ, Weber JJ, Aitken SN (2014) Evolutionary and plastic responses to climate change in terrestrial plant populations. Evolutionary Applications, 7, 123-139.
DOI PMID |
| [7] |
Hamann E, Kesselring H, Stöcklin J (2017) Plant responses to simulated warming and drought: A comparative study of functional plasticity between congeneric mid and high elevation species. Journal of Plant Ecology, 11, 364-374.
DOI URL |
| [8] |
Hereford J (2017) Genetic divergence for physiological response to temperature between populations of a C3-C 4 intermediate annual. International Journal of Plant Sciences, 178, 431-438.
DOI URL |
| [9] |
Huang P, Molina J, Flowers JM, Rubinstein S, Jackson SA, Purugganan MD, Schaal BA (2012) Phylogeography of Asian wild rice, Oryza rufipogon: A genome-wide view. Molecular Ecology, 21, 4593-4604.
DOI PMID |
| [10] | IPCC (2019) 2019 refinement to the 2006 IPCC guidelines for national greenhouse gas inventories. In: Key Concepts Unchanged from the 2006 IPCC Guidelines (eds Calvo BE, Tanabe K, Kranjc A, Baasansuren J, Fukuda M, Ngarize S, Osako A, Pyrozhenko Y, Shermanau P, Federici S), pp. 45. IPCC, Interlaken. |
| [11] |
Kawecki TJ, Ebert D (2004) Conceptual issues in local adaptation. Ecology Letters, 7, 1225-1241.
DOI URL |
| [12] |
Khush GS (1997) Origin, dispersal, cultivation and variation of rice. Plant Molecular Biology, 35, 25-34.
PMID |
| [13] |
Lee-Yaw JA, Kharouba HM, Bontrager M, Mahony C, Csergő AM, Noreen AME, Li Q, Schuster R, Angert AL (2016) A synthesis of transplant experiments and ecological niche models suggests that range limits are often niche limits. Ecology Letters, 19, 710-722.
DOI PMID |
| [14] |
Parmesan C (2006) Ecological and evolutionary responses to recent climate change. Annual Review of Ecology, Evolution, and Systematics, 37, 637-669.
DOI URL |
| [15] |
Parmesan C, Hanley ME (2015) Plants and climate change: Complexities and surprises. Annals of Botany, 116, 849-864.
DOI PMID |
| [16] | Sexton JP, Strauss SY, Rice KJ (2011) Gene flow increases fitness at the warm edge of a species’ range. Proceedings of the National Academy of Sciences, USA, 108, 11704-11709. |
| [17] |
Shaw RG, Etterson JR (2012) Rapid climate change and the rate of adaptation: Insight from experimental quantitative genetics. New Phytologist, 195, 752-765.
DOI PMID |
| [18] |
Simón-Porcar VI, Silva JL, Vallejo-Marín M (2021) Rapid local adaptation in both sexual and asexual invasive populations of monkeyflowers (Mimulus spp.). Annals of Botany, 127, 655-668.
DOI PMID |
| [19] |
Song ZP, Li B, Chen JK, Lu BR (2005) Genetic diversity and conservation of common wild rice (Oryza rufipogon) in China. Plant Species Biology, 20, 83-92.
DOI URL |
| [20] |
Valdés A, Marteinsdóttir B, Ehrlén J (2019) A natural heating experiment: Phenotypic and genotypic responses of plant phenology to geothermal soil warming. Global Change Biology, 25, 954-962.
DOI PMID |
| [21] |
Valladares F, Gianoli E, Gómez JM (2007) Ecological limits to plant phenotypic plasticity. New Phytologist, 176, 749-763.
DOI PMID |
| [22] | Wang YZ, Pedersen JLM, Macdonald SE, Nielsen SE, Zhang J (2019) Experimental test of assisted migration for conservation of locally range-restricted plants in Alberta, Canada. Global Ecology and Conservation, 17, e00572. |
| [23] | Wilczek AM, Cooper MD, Korves TM, Schmitt J (2014) Lagging adaptation to warming climate in Arabidopsis thaliana. Proceedings of the National Academy of Sciences, USA, 111, 7906-7913. |
| [24] |
Xu M, Li X, Mo X, Tu S, Cui Y, Yang D (2020) Studies on the cold tolerance of ratoon ‘Chaling’ common wild rice. Biological Research, 53, 8.
DOI |
| [25] | Zhao Y (2014) The Mechanism Shaping Distribution Pattern of Population Variations in Oryza rufipogon Griff. PhD dissertation, Fudan University, Shanghai. (in Chinese with English abstract) |
| [赵耀 (2014) 普通野生稻种群变异的分布格局及其形成机制. 博士学位论文, 复旦大学, 上海.] | |
| [26] | Zhao Y, Vrieling K, Liao H, Xiao MQ, Zhu YQ, Rong J, Zhang WJ, Wang YG, Yang J, Chen JK, Song ZP (2013) Are habitat fragmentation, local adaptation and isolation-by-distance driving population divergence in wild rice Oryza rufipogon? Molecular Ecology, 22, 5531-5547. |
| [27] |
Zhou W, Wang ZX, Davy AJ, Liu GH (2013) Geographic variation and local adaptation in Oryza rufipogon across its climatic range in China. Journal of Ecology, 101, 1498-1508.
DOI URL |
| [28] | Zhu KZ (1972) A preliminary study of climate change in China over the past 5,000 years. Acta Archaeologica Sinica, (1), 15-38. (in Chinese) |
| [竺可桢 (1972) 中国近五千年来气候变迁的初步研究. 考古学报, (1), 15-38.] |
| [1] | 顾婧婧, 刘宜卓, 苏杨. 基层地方政府在完成《昆蒙框架》中的作用和难点: 基于《联合国气候变化框架公约》任务的比较[J]. 生物多样性, 2025, 33(3): 24585-. |
| [2] | 吴琪, 张晓青, 杨雨婷, 周艺博, 马毅, 许大明, 斯幸峰, 王健. 浙江钱江源-百山祖国家公园庆元片区叶附生苔多样性及其时空变化[J]. 生物多样性, 2024, 32(4): 24010-. |
| [3] | 曹可欣, 王敬雯, 郑国, 武鹏峰, 李英滨, 崔淑艳. 降水格局改变及氮沉降对北方典型草原土壤线虫多样性的影响[J]. 生物多样性, 2024, 32(3): 23491-. |
| [4] | 冯莉. 国际法视野下生物多样性和气候变化的协同治理[J]. 生物多样性, 2023, 31(7): 23110-. |
| [5] | 姚雪, 陈星, 戴尊, 宋坤, 邢诗晨, 曹宏彧, 邹璐, 王健. 采集策略对叶附生苔类植物发现概率及物种多样性的重要性[J]. 生物多样性, 2023, 31(4): 22685-. |
| [6] | 桑佳文, 宋创业, 贾宁霞, 贾元, 刘长成, 乔鲜果, 张琳, 袁伟影, 吴冬秀, 李凌浩, 郭柯. 青藏高原植被调查与制图评估[J]. 生物多样性, 2023, 31(3): 22430-. |
| [7] | 王金洲, 徐靖. “基于自然的解决方案”应对生物多样性丧失和气候变化: 进展、挑战和建议[J]. 生物多样性, 2023, 31(2): 22496-. |
| [8] | 李季蔓, 靳楠, 胥毛刚, 霍举颂, 陈小云, 胡锋, 刘满强. 不同干旱水平下蚯蚓对番茄抗旱能力的影响[J]. 生物多样性, 2022, 30(7): 21488-. |
| [9] | 朱瑞良, 马晓英, 曹畅, 曹子寅. 中国苔藓植物多样性研究进展[J]. 生物多样性, 2022, 30(7): 22378-. |
| [10] | 祖奎玲, 王志恒. 山地物种海拔分布对气候变化响应的研究进展[J]. 生物多样性, 2022, 30(5): 21451-. |
| [11] | 井新, 蒋胜竞, 刘慧颖, 李昱, 贺金生. 气候变化与生物多样性之间的复杂关系和反馈机制[J]. 生物多样性, 2022, 30(10): 22462-. |
| [12] | 乔慧捷, 胡军华. 利用数值模拟重构物种多样性格局的形成过程[J]. 生物多样性, 2022, 30(10): 22456-. |
| [13] | 宋文宇, 李学友, 王洪娇, 陈中正, 何水旺, 蒋学龙. 三江并流区树线生境小型兽类多样性多维度评价及其保护启示[J]. 生物多样性, 2021, 29(9): 1215-1228. |
| [14] | 邓铭先, 黄河燕, 沈诗韵, 吴纪华, 拉琼, 斯确多吉, 潘晓云. 喜旱莲子草在青藏高原对模拟增温的可塑性: 引入地和原产地种群的比较[J]. 生物多样性, 2021, 29(9): 1198-1205. |
| [15] | 施雨含, 任宗昕, 王维嘉, 徐鑫, 刘杰, 赵延会, 王红. 中国-喜马拉雅三种黄耆属植物与其传粉熊蜂的空间分布预测[J]. 生物多样性, 2021, 29(6): 759-769. |
| 阅读次数 | ||||||
|
全文 |
|
|||||
|
摘要 |
|
|||||
备案号:京ICP备16067583号-7
Copyright © 2026 版权所有 《生物多样性》编辑部
地址: 北京香山南辛村20号, 邮编:100093
电话: 010-62836137, 62836665 E-mail: biodiversity@ibcas.ac.cn