
生物多样性 ›› 2010, Vol. 18 ›› Issue (2): 156-161. DOI: 10.3724/SP.J.1003.2010.161 cstr: 32101.14.SP.J.1003.2010.161
黄雅琴, 李荣冠*(
), 王建军, 郑成兴, 郑凤武, 林俊辉, 江锦祥, 李淑珠
收稿日期:2009-03-23
接受日期:2009-08-23
出版日期:2010-03-20
发布日期:2010-03-20
通讯作者:
李荣冠
基金资助:
Yaqin Huang, Rongguan Li*(
), Jianjun Wang, Chengxing Zheng, Fengwu Zheng, Junhui Lin, Jinxiang Jiang, Shuzhu Li
Received:2009-03-23
Accepted:2009-08-23
Online:2010-03-20
Published:2010-03-20
Contact:
Rongguan Li
摘要:
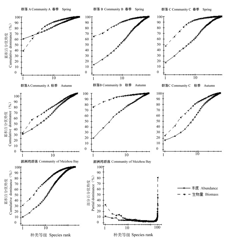
为了了解福建省湄洲湾潮间带底栖生物的物种多样性、数量时空分布及群落结构现状, 2005年11月和2006年4月在湄洲湾潮间带选择了灵川(Mch1)、苏厝(Mch2)、郭厝(Mch3)、东吴(Mch4)和东桥(Mch5)5条断面进行了调查。共鉴定潮间带底栖生物225种, 其中多毛类、软体动物和甲壳动物占总种数的88.00%, 三者构成潮间带底栖生物的主要类群。断面间比较, 东桥断面种数较多, 苏厝断面较少。季节比较, 春季各断面种类较秋季多。平均生物量22.91 g/m2, 以软体动物居第一位, 甲壳动物居第二位; 平均栖息密度为388个/m2, 以多毛类居第一位, 软体动物居第二位。生物量以中潮区>低潮区>高潮区; 栖息密度以低潮区>中潮区>高潮区。调查结果显示湄洲湾潮间带底栖生物物种多样性较高, 群落结构相对稳定。
黄雅琴, 李荣冠, 王建军, 郑成兴, 郑凤武, 林俊辉, 江锦祥, 李淑珠 (2010) 湄洲湾潮间带底栖生物多样性. 生物多样性, 18, 156-161. DOI: 10.3724/SP.J.1003.2010.161.
Yaqin Huang, Rongguan Li, Jianjun Wang, Chengxing Zheng, Fengwu Zheng, Junhui Lin, Jinxiang Jiang, Shuzhu Li (2010) Intertidal benthos diversity in the Meizhou Bay, Fujian Province. Biodiversity Science, 18, 156-161. DOI: 10.3724/SP.J.1003.2010.161.
| 季节 Season | 断 面 Transect | 物种数 Total species | Margalef物种丰富度指数 Margalef species richness index(d) | Shannon-Wiener多样性指数 Shannon-Wiener diversity index (H′) | Pielou均匀度指数 Pielou evenness index (J) | 优势度指数 Simpson dominance index (C) |
|---|---|---|---|---|---|---|
| 秋季 Autumn | 灵川 Lingchuan (Mch1) | 61 | 8.16 | 3.13 | 0.761 | 0.1010 |
| 苏厝 Sucuo (Mch2) | 41 | 5.56 | 2.93 | 0.789 | 0.0913 | |
| 郭厝 Guocuo (Mch3) | 49 | 6.85 | 3.32 | 0.853 | 0.0585 | |
| 东吴 Dongwu (Mch4) | 47 | 6.26 | 2.88 | 0.747 | 0.1020 | |
| 东桥 Dongqiao (Mch5) | 46 | 6.36 | 3.21 | 0.838 | 0.0609 | |
| 春季 Spring | 灵川 Lingchuan (Mch1) | 68 | 8.18 | 2.04 | 0.483 | 0.3790 |
| 苏厝 Sucuo (Mch2) | 59 | 7.55 | 2.51 | 0.615 | 0.2030 | |
| 郭厝 Guocuo (Mch3) | 67 | 8.58 | 3.37 | 0.802 | 0.0567 | |
| 东吴 Dongwu (Mch4) | 81 | 10.50 | 3.61 | 0.822 | 0.0494 | |
| 东桥 Dongqiao (Mch5) | 77 | 9.62 | 3.36 | 0.775 | 0.0674 |
表1 湄洲湾潮间带底栖生物群落多样性
Table 1 Community diversity of intertidal benthos in Meizhou Bay, Fujian Province
| 季节 Season | 断 面 Transect | 物种数 Total species | Margalef物种丰富度指数 Margalef species richness index(d) | Shannon-Wiener多样性指数 Shannon-Wiener diversity index (H′) | Pielou均匀度指数 Pielou evenness index (J) | 优势度指数 Simpson dominance index (C) |
|---|---|---|---|---|---|---|
| 秋季 Autumn | 灵川 Lingchuan (Mch1) | 61 | 8.16 | 3.13 | 0.761 | 0.1010 |
| 苏厝 Sucuo (Mch2) | 41 | 5.56 | 2.93 | 0.789 | 0.0913 | |
| 郭厝 Guocuo (Mch3) | 49 | 6.85 | 3.32 | 0.853 | 0.0585 | |
| 东吴 Dongwu (Mch4) | 47 | 6.26 | 2.88 | 0.747 | 0.1020 | |
| 东桥 Dongqiao (Mch5) | 46 | 6.36 | 3.21 | 0.838 | 0.0609 | |
| 春季 Spring | 灵川 Lingchuan (Mch1) | 68 | 8.18 | 2.04 | 0.483 | 0.3790 |
| 苏厝 Sucuo (Mch2) | 59 | 7.55 | 2.51 | 0.615 | 0.2030 | |
| 郭厝 Guocuo (Mch3) | 67 | 8.58 | 3.37 | 0.802 | 0.0567 | |
| 东吴 Dongwu (Mch4) | 81 | 10.50 | 3.61 | 0.822 | 0.0494 | |
| 东桥 Dongqiao (Mch5) | 77 | 9.62 | 3.36 | 0.775 | 0.0674 |
| 物种 Species | 秋季 Autumn | 春季 Spring | 物种 Species | 秋季 Autumn | 春季 Spring |
|---|---|---|---|---|---|
| 环节动物门 Annelida | 似蛰虫 Amaeana trilobata | + | + | ||
| 背褶沙蚕 Tambalagamia fauveli | + | 树蛰虫 Pista cristata | + | + | |
| 拟突齿沙蚕 Paraleonnates uschakovi | + | + | 软体动物门 Mollusca | ||
| 长吻吻沙蚕 Glycera chirori | + | + | 刀明樱蛤 Moerella culter | + | + |
| 寡节甘吻沙蚕 Glycinde gurjanvoae | + | + | 缢蛏 Sinonovacula constricta | + | |
| 多鳃卷吻沙蚕 Nephtys polybranchia | + | 菲律宾蛤仔 Ruditapes philippinarum | + | ||
| 寡鳃卷吻沙蚕 N. oliobranchia | + | + | 渤海鸭嘴蛤 Laternula(Exolaternula)marilina | + | |
| 无叉矛毛虫 Phylo kupfferi | + | + | 短拟沼螺 Assiminea brevicula | + | + |
| 丝鳃稚齿虫 Prionospio malmgreni | + | + | 珠带拟蟹守螺 Cerithidea cingulata | + | + |
| 独毛虫一种 Tharyxsp. | + | + | 秀丽织纹螺 Nassarius(Reticunassa)festivus | + | + |
| 中蚓虫一种 Mediomastussp. | + | + | 泥螺 Bullacta exarata | + | + |
| 异蚓虫一种 Heteromastussp. | + | + | 节肢动物门 Arthropoda | ||
| 毡毛岩虫 Marphysa stragulun | + | + | 塞切尔泥钩虾 Eriopisella sechellensis | + | + |
| 特矶蚕 Euniphysa aculeata | + | + | 廉形叶钩虾 Jassa falacata | + | |
| 纳加索沙蚕 Lumbrineris nagae | + | + | 哥伦比亚刀钩虾 Aoroiudes columbiae | + | |
| 异足索沙蚕 L. heteropoda | + | 日本大螯蜚 Grandidierella japonica | + | + | |
| 四索沙蚕 L. tetraura | + | + | 角突麦杆虫 Caprella scaura | + | |
| 双唇索沙蚕 L. cruzensis | + | + | 模糊新短眼蟹 Neoxenophthalmus obscurus | + | + |
| 不倒翁虫 Sternaspis scutata | + | + | 弧边招潮 Uca(Deltuca)arcuata | + | + |
| 梳鳃虫 Terebellides stroemii | + | + | 秀丽长方蟹 Metaplax elegans | + | + |
表7 附录I 湄洲湾潮间带优势种和关键种的季节分布
Table7 Appendix I Seasonal distribution of dominant and key species in Meizhou Bay, Fujian Province
| 物种 Species | 秋季 Autumn | 春季 Spring | 物种 Species | 秋季 Autumn | 春季 Spring |
|---|---|---|---|---|---|
| 环节动物门 Annelida | 似蛰虫 Amaeana trilobata | + | + | ||
| 背褶沙蚕 Tambalagamia fauveli | + | 树蛰虫 Pista cristata | + | + | |
| 拟突齿沙蚕 Paraleonnates uschakovi | + | + | 软体动物门 Mollusca | ||
| 长吻吻沙蚕 Glycera chirori | + | + | 刀明樱蛤 Moerella culter | + | + |
| 寡节甘吻沙蚕 Glycinde gurjanvoae | + | + | 缢蛏 Sinonovacula constricta | + | |
| 多鳃卷吻沙蚕 Nephtys polybranchia | + | 菲律宾蛤仔 Ruditapes philippinarum | + | ||
| 寡鳃卷吻沙蚕 N. oliobranchia | + | + | 渤海鸭嘴蛤 Laternula(Exolaternula)marilina | + | |
| 无叉矛毛虫 Phylo kupfferi | + | + | 短拟沼螺 Assiminea brevicula | + | + |
| 丝鳃稚齿虫 Prionospio malmgreni | + | + | 珠带拟蟹守螺 Cerithidea cingulata | + | + |
| 独毛虫一种 Tharyxsp. | + | + | 秀丽织纹螺 Nassarius(Reticunassa)festivus | + | + |
| 中蚓虫一种 Mediomastussp. | + | + | 泥螺 Bullacta exarata | + | + |
| 异蚓虫一种 Heteromastussp. | + | + | 节肢动物门 Arthropoda | ||
| 毡毛岩虫 Marphysa stragulun | + | + | 塞切尔泥钩虾 Eriopisella sechellensis | + | + |
| 特矶蚕 Euniphysa aculeata | + | + | 廉形叶钩虾 Jassa falacata | + | |
| 纳加索沙蚕 Lumbrineris nagae | + | + | 哥伦比亚刀钩虾 Aoroiudes columbiae | + | |
| 异足索沙蚕 L. heteropoda | + | 日本大螯蜚 Grandidierella japonica | + | + | |
| 四索沙蚕 L. tetraura | + | + | 角突麦杆虫 Caprella scaura | + | |
| 双唇索沙蚕 L. cruzensis | + | + | 模糊新短眼蟹 Neoxenophthalmus obscurus | + | + |
| 不倒翁虫 Sternaspis scutata | + | + | 弧边招潮 Uca(Deltuca)arcuata | + | + |
| 梳鳃虫 Terebellides stroemii | + | + | 秀丽长方蟹 Metaplax elegans | + | + |
| [1] | Bao YX (鲍毅新), Ge BM (葛宝明), Zheng X (郑祥), Cheng HY (程宏毅) (2006) Spatial distribution and seasonal variation of the macrobenthic community on tidal flats of Tianhe, Wenzhou Bay. Acta Zoologica Sinica (动物学报), 52,45-52. (in Chinese with English abstract) |
| [2] | Ge BM (葛宝明), Bao YX (鲍毅新), Zheng X (郑祥), Cheng HY (程宏毅) (2005) The structure of macrobenthic community and niche analysis at a tidal flat of Lingkun Island. Acta Ecologica Sinica (生态学报), 25,3037-3043. (in Chinese with English abstract) |
| [3] | Hu ZY (胡知渊), Bao YX (鲍毅新), Ge BM (葛宝明), Li HH (李欢欢) (2006) Macrobenthic community and niche analysis creeks during autumn in diked tidal flat. Acta Zoologica Sinica (动物学报), 52,800-809. (in Chinese with English abstract) |
| [4] | Jin L (金亮), Cai LZ (蔡立哲), Zhou XP (周细平), Xu HL (徐华林) (2007) Secondary production of macrobenthos on the mudflat of northern Shenzhen Bay. Journal of Oceanography in Taiwan Strait (台湾海峡), 26,413-421. (in Chinese with English abstract) |
| [5] | Li HH (李欢欢), Bao YX (鲍毅新), Hu ZY (胡知渊), Ge BM (葛宝明) (2007) Seasonal dynamics of macrobenthic functional groups and trophic levels in the construction zone of Hangzhou Bay, China. Acta Zoologica Sinica (动物学报), 53,1011-1023. (in Chinese with English abstract) |
| [6] | Li RG (李荣冠), Jiang JX (江锦祥), Lu L (鲁琳), Zheng FW (郑凤武), Wu QQ (吴启泉), Li CY (李传燕) (1993) Species composition and distribution of benthos in intertidal zone of Daya Bay. Oceanologia et Limnologia Sinica (海洋与湖沼), 24,527-535. (in Chinese with English abstract) |
| [7] | Li RG (李荣冠), Jiang JX (江锦祥) (1994) Ecology on intertidal benthos of sandy beach around international airport, Changle. Journal of Oceanography in Taiwan Strait (台湾海峡), 13,290-296. (in Chinese with English abstract) |
| [8] | Li RG (李荣冠), Jiang JX (江锦祥), Wu QQ (吴启泉), Lu L (鲁琳), Zheng FW (郑凤武), Huang XG (黄心光) (1995a) Communities of intertidal benthos near the Daya Bay Nuclear Power Station. Oceanologia et Limnologia Sinica (海洋与湖沼), 26(Suppl.),91-101. (in Chinese with English abstract) |
| [9] | Li RG (李荣冠), Jiang JX (江锦祥), Lu L (鲁琳), Zheng FW (郑凤武), Xu HZ (徐惠州), Huang XG (黄心光) (1995b) Communities of benthos in soft intertidal zone of Xiamen Island. In: Proceedings of Symposium of Marine Sciences in Taiwan Strait and Its Adjacent Waters (台湾海峡及邻近海域海洋科学讨论会论文集), pp.386-393. Ocean Press, Beijing. (in Chinese with English abstract) |
| [10] | Li RG (李荣冠), Jiang JX (江锦祥), Lu L (鲁琳), Zheng FW (郑凤武), Xu HZ (徐惠州), Huang XG (黄心光) (1996) Ecological study on soft intertidal zone in Gulangyu Island. Acta Oceanologica Sinica (海洋学报), 18,117-123. (in Chinese with English abstract) |
| [11] | Li RG (李荣冠), Jiang JX (江锦祥), Wu QQ (吴启泉), Li CY (李传燕), Zheng FW (郑凤武), Lu L (鲁琳), Huang XG (黄心光) (1999) Quantitation and distribution of intertidal benthos, near Nuclear Power Station of Daya Bay. Journal of Oceanography in Taiwan Strait (台湾海峡), 18,365-371. (in Chinese with English abstract) |
| [12] | Li XZ (李新正), Li BQ (李宝泉), Wang HF (王洪法), Wang JB (王金宝), Zhang BL (张宝琳) (2006) Macrobenthic community of intertidal zone of Jiaozhou Bay. Acta Zoologica Sinica (动物学报), 52,612-618. (in Chinese with English abstract) |
| [13] | Li XZ (李新正), Li BQ (李宝泉), Wang HF (王洪法), Wang SQ (王少青), Wang JB (王金宝), Zhang BL (张宝琳) (2007) Macrobenthic community characters of Zhubi Reef, Nansha Islands, South China Sea. Acta Zoologica Sinica (动物学报), 53,83-94. (in Chinese with English abstract) |
| [14] | Ma KP (马克平), Liu YM (刘玉明) (1994) Measurement of biotic community diversity. I. α diversity(Part 2). Chinese Biodiversity (生物多样性), 2,231-239. (in Chinese) |
| [15] | Warwick RM (1986) A new method for detecting pollution effects on marine macrobenthic communities. Marine Biology, 92,557-562. |
| [16] | Warwick RM, Pearson TH,Ruswahyuni (1987) Detection of pollution effects on marine macrobenthos: further evaluation of the species abundance/biomass method. Marine Biology, 95,193-200. |
| [17] | Zhang QT (张青田), Hu GK (胡桂坤) (2005) Investigation and structure analysis of macrobenthos community in Tanggu intertidal zone. Journal of Zhejiang Ocean University Natural Science (浙江海洋学院学报(自然科学版)), 24,16-21. (in Chinese with English abstract) |
| [18] | Zhou SQ (周时强), Guo F (郭丰), Wu LS (吴荔生), Li RG (李荣冠) (2001) The study on the ecology of the benthic community in intertidal zone, Fujian Islands. Acta Oceanologica Sinica (海洋学报(中文版)), 23(5),104-109. (in Chinese with English abstract) |
| [19] | Zhou H (周红), Zhang ZN (张志南) (2003) Rationale of the multivariate statistical software Primer and its application in benthic community ecology. Journal of Ocean University of Qingdao (青岛海洋大学学报), 33,58-64. (in Chinese with English abstract) |
| [1] | 祝晓雨, 王晨灏, 王忠君, 张玉钧. 城市绿地生物多样性研究进展与展望[J]. 生物多样性, 2025, 33(5): 25027-. |
| [2] | 王欣, 鲍风宇. 基于鸟类多样性提升的南滇池国家湿地公园生态修复效果分析[J]. 生物多样性, 2025, 33(5): 24531-. |
| [3] | 徐欢, 辛凤飞, 施宏亮, 袁琳, 薄顺奇, 赵欣怡, 邓帅涛, 潘婷婷, 余婧, 孙赛赛, 薛程. 生态修复技术集成应用对长江口北支生境与鸟类多样性提升效果评估[J]. 生物多样性, 2025, 33(5): 24478-. |
| [4] | 褚晓琳, 张全国. 演化速率假说的实验验证研究进展[J]. 生物多样性, 2025, 33(4): 25019-. |
| [5] | 张晶晶, 黄文彬, 陈奕廷, 杨泽鹏, 柯伟业, 彭昭杰, 魏世超, 张志伟, 胡怡思, 余文华, 周文良. 广东南澎列岛海洋生态国家级自然保护区造礁石珊瑚多样性及分布特征[J]. 生物多样性, 2025, 33(4): 24424-. |
| [6] | 张明燡, 王晓梅, 郑言鑫, 吴楠, 李东浩, 樊恩源, 李娜, 单秀娟, 于涛, 赵春暖, 李波, 徐帅, 吴玉萍, 任利群. 黄河口典型牡蛎礁分布区资源状况和栖息地功能[J]. 生物多样性, 2025, 33(4): 24208-. |
| [7] | 仝淼, 王欢, 张文双, 王超, 宋建潇. 重金属污染土壤中细菌抗生素抗性基因分布特征[J]. 生物多样性, 2025, 33(3): 24101-. |
| [8] | 刘淑琪, 崔东, 江智诚, 刘江慧, 闫江超. 短期氮、水添加和刈割减弱了苦豆子型退化草地土壤生物多样性与生态系统多功能性的联系[J]. 生物多样性, 2025, 33(3): 24305-. |
| [9] | 姜雪原, 徐嘉忆, 盛学敏, 朱源. 《中国生物多样性保护战略与行动计划(2023‒2030年)》与《昆蒙框架》的协同与差异[J]. 生物多样性, 2025, 33(3): 24575-. |
| [10] | 龚翠凤, 韦伟, 罗概, 韩一敏, 吴鹏程, 何梦楠, 闵清悦, 付强, 陈鹏. 大熊猫国家公园崇州片区有蹄类动物空间分布及共存关系[J]. 生物多样性, 2025, 33(3): 24260-. |
| [11] | 陈丁松, 刘子恺, 贺子洋, 陈伟东. 缓步动物多样性、分布特征和生态功能研究进展[J]. 生物多样性, 2025, 33(2): 24406-. |
| [12] | 张颂琪, 陆义, 陈炳耀, 杨光, 王彦平, 陈传武. 全球鲸豚类形态、生活史和生态学特征数据集[J]. 生物多样性, 2025, 33(2): 24442-. |
| [13] | 李艳朋, 陈洁, 卢春洋, 许涵. 海南尖峰岭热带山地雨林64 ha次生林动态监测样地群落结构特征[J]. 生物多样性, 2025, 33(2): 24445-. |
| [14] | 赵一凡, 王彦平. 全球蛇类生活史、生态学和生物地理特征数据集[J]. 生物多样性, 2025, 33(2): 24476-. |
| [15] | 宋远昊, 龚吕, 李贲, 胡阳, 李秀珍. 辽河口不同退塘还湿方式对大型底栖动物的影响[J]. 生物多样性, 2025, 33(2): 24316-. |
| 阅读次数 | ||||||
|
全文 |
|
|||||
|
摘要 |
|
|||||
备案号:京ICP备16067583号-7
Copyright © 2026 版权所有 《生物多样性》编辑部
地址: 北京香山南辛村20号, 邮编:100093
电话: 010-62836137, 62836665 E-mail: biodiversity@ibcas.ac.cn