
生物多样性 ›› 2020, Vol. 28 ›› Issue (4): 496-503. DOI: 10.17520/biods.2019294 cstr: 32101.14.biods.2019294
所属专题: 传粉生物学; 昆虫多样性与生态功能
收稿日期:2019-09-19
接受日期:2020-01-13
出版日期:2020-04-20
发布日期:2020-06-15
通讯作者:
王波
基金资助:
Yiyi Dong1,2,Yanqiong Peng1,Bo Wang1,*(
)
Received:2019-09-19
Accepted:2020-01-13
Online:2020-04-20
Published:2020-06-15
Contact:
Bo Wang
摘要:
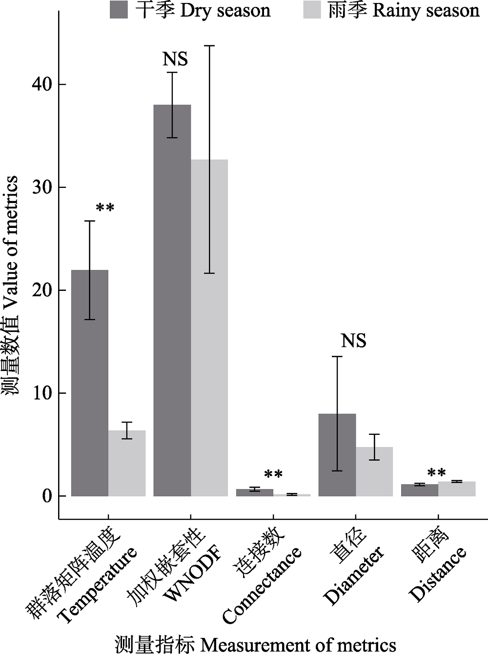
群落中的物种相互作用构成了复杂的生态网络。有关物种的数量和组成的季节性动态变化已有较多的研究, 但是对于生态网络的动态变化知之甚少。揭示生态网络的动态变化对于理解群落的稳定性以及群落的动态变化过程和机理具有重要意义。本研究以垂叶榕(Ficus benjamina)榕小蜂群落为研究对象, 分别在西双版纳的干季和雨季采集了榕小蜂的种类和数量信息。比较了两个季节榕小蜂群落的动态变化以及共存网络的参数(例如网路直径、连接数、嵌套性和群落矩阵温度)变化。结果显示: 雨季榕果内传粉榕小蜂Eupristina koningsbergeri所占比例高于干季, 传粉榕小蜂的种群数量也高于干季, 而在干季非传粉榕小蜂的种类增加(干季15种小蜂, 雨季14种)。从榕树-传粉榕小蜂互利共生系统的适合度来看, 干季非传粉小蜂的增加对传粉榕小蜂和榕树的适合度是不利的。在干季, 共存网络物种间的连接数(干季0.95, 雨季0.47)多于雨季, 群落矩阵温度(干季23.24, 雨季2.64)也显著高于雨季。表明干季榕小蜂群落组成及种间关系较雨季更为复杂而多样, 高的矩阵温度暗示群落受到的干扰更大。
董乙乂,彭艳琼,王波 (2020) 垂叶榕榕小蜂群落及种间互作网络季节动态. 生物多样性, 28, 496-503. DOI: 10.17520/biods.2019294.
Yiyi Dong,Yanqiong Peng,Bo Wang (2020) Seasonal dynamics of fig wasp community and interaction networks in Ficus benjamina. Biodiversity Science, 28, 496-503. DOI: 10.17520/biods.2019294.
| 榕小蜂 Fig wasp | 可能的营养级水平 Presumble trophic level | 干季 Dry season | 雨季 Rainy season | ||
|---|---|---|---|---|---|
| 丰富度 Richness | 百分比 % | 丰富度 Richness | 百分比 % | ||
| Eupristina koningsbergeri | 传粉者 Pollinator | 129.01 ± 83.22 | 72.24 | 308.39 ± 183.62 | 93.18 |
| Acophila sp. 1 | 造瘿者 Galler | 0.32 ± 1.17 | 0.18 | 0.09 ± 0.44 | 0.03 |
| Ormyrus sp. 1 | 寄生者 Parasitoid | 0.46 ± 1.54 | 0.26 | 0.01 ± 0.09 | < 0.01 |
| Philotrypesis sp. 1 | 寄生者 Parasitoid | 6.14 ± 10.40 | 3.44 | 17.95 ± 25.62 | 5.42 |
| Philotrypesis sp. 2 | 寄生者 Parasitoid | 1.37 ± 3.04 | 0.77 | 1.12 ± 4.54 | 0.34 |
| Philotrypesis sp. 3 | 寄生者 Parasitoid | 1.29 ± 4.69 | 0.72 | - | - |
| Philotrypesis tridentate | 寄生者 Parasitoid | 7.11 ± 8.96 | 3.98 | 0.14 ± 1.06 | 0.04 |
| Sycobia sp. 1 | 造瘿者 Galler | 2.67 ± 4.59 | 1.50 | 0.14 ± 0.63 | 0.04 |
| Sycobia sp. 2 | 造瘿者 Galler | 1.43 ± 3.73 | 0.80 | 0.01± 0.09 | < 0.01 |
| Sycobia sp. 3 | 造瘿者 Galler | 1.51 ± 2.71 | 0.85 | 0.25 ± 1.39 | 0.08 |
| Sycophila sp. 1 | 寄生者 Parasitoid | 1.57 ± 3.52 | 0.88 | 0.27 ± 1.05 | 0.08 |
| Sycoscapter sp. 1 | 寄生者 Parasitoid | 12.62 ± 26.64 | 7.06 | 0.46 ± 2.10 | 0.14 |
| Walkerella benjamini | 造瘿者 Galler | 12.14 ± 10.21 | 6.80 | 1.90 ± 5.43 | 0.57 |
| Walkerella sp. 1 | 造瘿者 Galler | 0.78 ± 1.42 | 0.43 | 0.19 ± 1.10 | 0.06 |
| Walkerella sp. 2 | 造瘿者 Galler | 0.19 ± 0.77 | 0.11 | 0.04 ± 0.30 | 0.01 |
表1 西双版纳地区垂叶榕榕小蜂物种丰富度(均值 ± 标准差, N = 120)。其中90个榕果数据来自本次采样, 30个榕果数据来自白莉芬等(2006)。
Table 1 Species abundance and composition of fig wasps in Ficus benjamina in Xishuangbanna (mean ± SD, N = 120). Of the 120 figs, 90 were from our study, the other 30 were from Bai (2006).
| 榕小蜂 Fig wasp | 可能的营养级水平 Presumble trophic level | 干季 Dry season | 雨季 Rainy season | ||
|---|---|---|---|---|---|
| 丰富度 Richness | 百分比 % | 丰富度 Richness | 百分比 % | ||
| Eupristina koningsbergeri | 传粉者 Pollinator | 129.01 ± 83.22 | 72.24 | 308.39 ± 183.62 | 93.18 |
| Acophila sp. 1 | 造瘿者 Galler | 0.32 ± 1.17 | 0.18 | 0.09 ± 0.44 | 0.03 |
| Ormyrus sp. 1 | 寄生者 Parasitoid | 0.46 ± 1.54 | 0.26 | 0.01 ± 0.09 | < 0.01 |
| Philotrypesis sp. 1 | 寄生者 Parasitoid | 6.14 ± 10.40 | 3.44 | 17.95 ± 25.62 | 5.42 |
| Philotrypesis sp. 2 | 寄生者 Parasitoid | 1.37 ± 3.04 | 0.77 | 1.12 ± 4.54 | 0.34 |
| Philotrypesis sp. 3 | 寄生者 Parasitoid | 1.29 ± 4.69 | 0.72 | - | - |
| Philotrypesis tridentate | 寄生者 Parasitoid | 7.11 ± 8.96 | 3.98 | 0.14 ± 1.06 | 0.04 |
| Sycobia sp. 1 | 造瘿者 Galler | 2.67 ± 4.59 | 1.50 | 0.14 ± 0.63 | 0.04 |
| Sycobia sp. 2 | 造瘿者 Galler | 1.43 ± 3.73 | 0.80 | 0.01± 0.09 | < 0.01 |
| Sycobia sp. 3 | 造瘿者 Galler | 1.51 ± 2.71 | 0.85 | 0.25 ± 1.39 | 0.08 |
| Sycophila sp. 1 | 寄生者 Parasitoid | 1.57 ± 3.52 | 0.88 | 0.27 ± 1.05 | 0.08 |
| Sycoscapter sp. 1 | 寄生者 Parasitoid | 12.62 ± 26.64 | 7.06 | 0.46 ± 2.10 | 0.14 |
| Walkerella benjamini | 造瘿者 Galler | 12.14 ± 10.21 | 6.80 | 1.90 ± 5.43 | 0.57 |
| Walkerella sp. 1 | 造瘿者 Galler | 0.78 ± 1.42 | 0.43 | 0.19 ± 1.10 | 0.06 |
| Walkerella sp. 2 | 造瘿者 Galler | 0.19 ± 0.77 | 0.11 | 0.04 ± 0.30 | 0.01 |
图1 西双版纳地区雨季和干季垂叶榕榕小蜂物种数量比较。采用独立样本t-检验, 柱形图和误差线分别代表均值和标准差。 *** P < 0.001; NS表示不显著。
Fig. 1 Histogram of the fig wasp abundance of Ficus benjamina in Xishuangbanna. Two sample t-test was used to compared fig wasp abundance between rainy and dry seasons. Bars and errors represent mean ± SD. *** P < 0.001; NS, Not significant.
图2 西双版纳地区两个季节垂叶榕榕小蜂群落的加权共存网络。节点颜色代表可能的营养级水平, 边的宽度代表物种同时出现的频率。
Fig. 2 The weighted co-occurrence networks of the wasp community of Ficus benjamina in Xishuangbanna. The nodes are colored by presumable trophic level, the width of each edge is proportional to the co-occur frequency of species.
图3 西双版纳地区不同季节榕小蜂群落物种共存网络指标的比较。使用t检验比较了各指标两个季节的差异, 柱形图和误差线代表平均值 ± 标准差。** P < 0.01; * P < 0.05; NS表示不显著。
Fig. 3 Fig wasp community co-occurrence network metrics between the dry and the rainy seasons in Xishuangbanna. The difference between the dry season and the rainy season were compared with t-test, the bars and error lines are mean ± SD. WNODF, Weight nestedness metric based on overlap and decreasing fill. ** P < 0.01; * P < 0.05; NS, Not significant.
| [1] | Almeida-Neto M, Guimarães PR Jr, Lewinsohn TM (2007) On nestedness analyses: Rethinking matrix temperature and anti-nestedness. Oikos, 116, 716-722. |
| [2] | Atmar W, Patterson BD (1993) The measure of order and disorder in the distribution of species in fragmented habitat. Oecologia, 96, 373-382. |
| [3] | Bai LF, Yang DR, Shi ZH, Peng YQ, Zhai SW (2006) Community structure of fig wasp in Ficus benjamina in different habitats. Biodiversity Science, 14, 340-344. (in Chinese with English abstract) |
| [ 白莉芬, 杨大荣, 石章红, 彭艳琼, 翟树伟 (2006) 垂叶榕隐头果内小蜂群落结构与生境关系的初步研究. 生物多样性, 14, 340-344.] | |
| [4] | Bascompte J, Jordano P, Melián CJ, Olesen JM (2003) The nested assembly of plant-animal mutualistic networks. Proceedings of the National Academy of Sciences, USA, 100, 9383-9387. |
| [5] | Berlow EL, Dunne JA, Martinez ND, Stark PB, Williams RJ, Brose U (2009) Simple prediction of interaction strengths in complex food webs. Proceedings of the National Academy of Sciences, USA, 106, 187-191. |
| [6] |
Cardona W, Kattan GH (2019) Complex effects of nonpollinating wasps on the relationship between pollinating wasp and seed production in Ficus andicola. Acta Oecologica, 98, 45-49.
DOI URL |
| [7] | Clarke KR (1993) Non-parametric multivariate analyses of changes in community structure. Australian Journal of Ecology, 18, 117-143. |
| [8] |
Cook JM, Rasplus JY (2003) Mutualists with attitude: Coevolving fig wasps and figs. Trends in Ecology & Evolution, 18, 241-248.
DOI URL |
| [9] |
Donatti CI, Guimarães PR, Galetti M, Pizo MA, Marquitti FM, Dirzo R (2011) Analysis of a hyper-diverse seed dispersal network: Modularity and underlying mechanisms. Ecology Letters, 14, 773-781.
DOI URL |
| [10] |
Dormann CF, Fründ J, Blüthgen N, Gruber B (2009) Indices, graphs and null models: Analyzing bipartite ecological networks. The Open Ecology Journal, 2, 7-24.
DOI URL |
| [11] | Fortuna MA, Stouffer DB, Olesen JM, Jordano P, Mouillot D, Krasnov BR, Poulin R, Bascompte J (2010) Nestedness versus modularity in ecological networks: Two sides of the same coin? Journal of Animal Ecology, 79, 811-817. |
| [12] | Guimarães PR Jr, Rico-Gray V, Oliveira PS, Izzo TJ, dos Reis SF, Thompson JN (2007) Interaction intimacy affects structure and coevolutionary dynamics in mutualistic networks. Current Biology, 17, 1797-1803. |
| [13] | Hagen M, Kissling WD, Rasmussen C, De Aguiar MA, Brown LE, Carstensen DW, Alves-Dos-Santos I, Dupont YL, Edwards FK (2012) Biodiversity, species interactions and ecological networks in a fragmented world. Advances in Ecological Research, 46, 89-210. |
| [14] |
Henri DC, Van Veen FJF (2011) Body size, life history and the structure of host-parasitoid networks. Advances in Ecological Research, 45, 135-180.
DOI URL |
| [15] | Herre EA (1999) Laws governing species interactions? Encouragement and caution from figs and their associates. In: Levels of Selection in Evolution (ed. Keller L), pp. 209-237. Princeton University Press, Princeton. |
| [16] |
Jacob U, Thierry A, Brose U, Arntz WE, Berg S, Brey T, Fetzer I, Jonsson T, Mintenbeck K, Möllmann C, Petchey OL, Riede JO, Dunne JA (2011) The role of body size in complex food webs: A cold case. Advances in Ecological Research, 45, 181-223.
DOI URL |
| [17] | Jacquet C, Moritz C, Morissette L, Legagneux P, Massol F, Archambault P, Gravel D (2016) No complexity-stability relationship in empirical ecosystems. Nature Communications, 7, 12573. |
| [18] | Jevanandam N, Goh AG, Corlett RT (2013) Climate warming and the potential extinction of fig wasps, the obligate pollinators of figs. Biology Letters, 9, 20130041. |
| [19] |
Kerdelhué C, Rasplus JY (1996) The evolution of dioecy among Ficus (Moraceae): An alternative hypothesis involving non-pollinating fig wasp pressure on the fig-pollinator mutualism. Oikos, 77, 163-166.
DOI URL |
| [20] |
Kerdelhué C, Rossi JP, Rasplus JY (2000) Comparative community ecology studies on old world figs and fig wasps. Ecology, 81, 2832-2849.
DOI URL |
| [21] | Kong Y, Wang R, Yang DR, Sreekar R, Peng YQ, Compton SG (2016) Non-pollinator fig wasp impact on the reproductive success of an invasive fig tree: Why so little. Biocontrolence & Technology, 26, 1432-1443. |
| [22] |
Krishna A, Guimarães RP Jr, Jordano P, Bascompte J (2008) A neutral-niche theory of nestedness in mutualistic networks. Oikos, 117, 1609-1618.
DOI URL |
| [23] |
Lewinsohn TM, Novotny V, Basset Y (2005) Insects on plants: Diversity of herbivore assemblages revisited. Annual Review of Ecology. Evolution, and Systematics, 36, 597-620.
DOI URL |
| [24] |
Lewinsohn TM, Paulodo PI, Jordano P, Bascompte J, Olesen JM (2006) Structure in plant-animal interaction assemblages. Oikos, 113, 174-184.
DOI URL |
| [25] | May R, Mclean A (translated by Tao Y, Wang BH) (2007) Theoretical Ecology: Principles and Applications. Oxford University Press on Demand. |
| [ May R, Mclean A (陶毅, 王百桦译) (2010) 理论生态学——原理及应用. 高等教育出版社, 北京.] | |
| [26] | Memmott J (1999) The structure of a plant-pollinator food web. Ecology Letters, 2, 276-280. |
| [27] | Olesen JM, Bascompte J, Dupont YL, Jordano P (2007) The modularity of pollination networks. Proceedings of the National Academy of Sciences, USA, 104, 19891-19896. |
| [28] | Olesen JM, Dupont YL, Hagen M, Rasmussen C, Trøjelsgaard K (2012) Structure and dynamics of pollination networks: The past, present, and future. In: Evolution of Plant-Pollinator Relationships (ed. Patiny S), pp. 374-391. Cambridge University Press, Cambridge. |
| [29] | R Development Core Team (2018) R: A Language and Environment for Statistical Computing. R Foundation for Statistical Computing, Vienna, Austria. |
| [30] | Santos GMM, Wesley D, Presley SJ (2014) The seasonal dynamic of ant-flower networks in a semi-arid tropical environment. Ecological Entomology, 39, 674-683. |
| [31] | Schleuning M, Blüthgen N, Flörchinger M, Braun J, Schaefer HM, Böhning-Gaese K (2011) Specialization and interaction strength in a tropical plant-frugivore network differ among forest strata. Ecology, 92, 26-36. |
| [32] |
Shi L, Wang RW, Zhu LX, Zeng WM, Xu WL, Zheng Q (2011) Varying coefficient analysis for indeterminate species interactions with non-parametric estimation, exemplifying with a fig-fig wasp system. Chinese Science Bulletin, 56, 2545-2552.
DOI URL |
| [33] |
Stouffer DB, Bascompte J (2010) Understanding food-web persistence from local to global scales. Ecology Letters, 13, 154-161.
DOI URL |
| [34] |
Wang H, Ridley J, Dunn DW, Wang RW, Cook JM, Yu DW (2013) Biased oviposition and biased survival together help resolve a fig-wasp conflict. Oikos, 122, 533-540.
DOI URL |
| [35] | Wang ZJ (2010) Impact of Non-pollinating Fig Wasps on the Fig-fig Wasps Mutualism in Three Monoecious Ficus. PhD dissertation, University of the Chinese Academy of Sciences, Beijing. (in Chinese with English abstract) |
| [ 王振吉 (2010) 非传粉榕小蜂对三种雌雄同株榕树-榕蜂互利共生系统的影响. 博士学位论文, 中国科学院大学, 北京.] | |
| [36] |
Wang ZJ, Zhang FP, Peng YQ, Yang DR (2009) Reproductive strategy and impact on the fig-pollinator mutualism of one non-pollinating fig wasp species. Biodiversity Science, 17, 168-173. (in Chinese with English abstract)
DOI URL |
|
[ 王振吉, 张凤萍, 彭艳琼, 杨大荣 (2009) 一种非传粉榕小蜂的繁殖策略及其对榕-蜂互利共生系统的影响. 生物多样性, 17, 168-173.]
DOI URL |
|
| [37] | Wang ZM, Hu HY, Niu LM, Huang DW (2010) Population dynamics of 16 fig wasp species in Ficus benjamina. Acta Ecologica Sinica, 30, 3858-3864. (in Chinese with English abstract) |
| [ 王仲敏, 胡好远, 牛黎明, 黄大卫 (2010) 垂叶榕上16种榕小蜂的种群动态. 生态学报, 30, 3858-3864.] | |
| [38] | Wasserman S, Faust K (1994) Social Network Analysis: Methods and Applications. Cambridge University Press, Cambridge. |
| [39] |
Weiblen GD (2002) How to be a fig wasp. Annual Review of Entomology, 47, 299-330.
DOI URL |
| [40] |
Williams RJ, Martinez ND (2000) Simple rules yield complex food webs. Nature, 404, 180-183.
DOI URL |
| [41] | Woodward G, Brown LE, Edwards FK, Hudson LN, Milner AM, Reuman DC, Ledger ME (2012) Climate change impacts in multispecies systems: Drought alters food web size structure in a field experiment. Philosophical Transactions of the Royal Society of London, 367, 2990-2997. |
| [42] | Zhang KY (1963) The climatic characteristics of southern Yunnan region and its formation mechanism. Acta Meteorologica Sinica, 33, 218-230. (in Chinese) |
| [ 张克映 (1963) 滇南气候的特征及其形成因子的初步分析. 气象学报, 33, 218-230.] |
| [1] | 李蓉姣, 董江海, 郑文芳, 刘入源, 赵立娟, 高瑞贺. 关帝山不同海拔杨桦混交林土壤动物多样性特征及其影响因素[J]. 生物多样性, 2024, 32(9): 24070-. |
| [2] | 胡志清, 董路. 城市化对鸟类参与的种间互作的影响[J]. 生物多样性, 2024, 32(8): 24048-. |
| [3] | 牛永杰, 马全会, 朱玉, 刘海荣, 吕佳乐, 邹元春, 姜明. 氮沉降对草地昆虫多样性影响的研究进展[J]. 生物多样性, 2023, 31(9): 23130-. |
| [4] | 冯志荣, 陈有城, 彭艳琼, 李莉, 王波. 生态网络分析: 从集合群落到集合网络[J]. 生物多样性, 2023, 31(8): 23171-. |
| [5] | 王文婷, 王蓉, 牛翠平, 白杨, 杨效东. 西双版纳农林复合橡胶林土壤多营养级生物网络结构[J]. 生物多样性, 2023, 31(6): 22626-. |
| [6] | 陈哲涵, 尹进, 叶吉, 刘冬伟, 毛子昆, 房帅, 蔺菲, 王绪高. 增温对东北温带次生林草本群落季节动态的影响[J]. 生物多样性, 2023, 31(5): 23059-. |
| [7] | 蔡畅, 张雪, 朱晨, 赵郁豪, 乔格侠, 丁平. 千岛湖片段化生境中蚜虫群落嵌套格局的形成: 岛屿面积和寄主植物多样性的作用[J]. 生物多样性, 2023, 31(12): 23183-. |
| [8] | 徐鹏, 荣晓莹, 刘朝红, 杜芳, 尹本丰, 陶冶, 张元明. 极端干旱对温带荒漠土壤真菌群落和生态网络的影响[J]. 生物多样性, 2022, 30(3): 21327-. |
| [9] | 黄正良, 刘翰伦, 储诚进, 李远智. 生物间非传递性竞争研究进展[J]. 生物多样性, 2022, 30(2): 21282-. |
| [10] | 陈燕南, 梁铖, 陈军. 亚热带不同树种组成森林中土壤甲螨群落结构特征: 以江西新岗山为例[J]. 生物多样性, 2022, 30(12): 22334-. |
| [11] | 刘笑彤, 田艺佳, 刘汉文, 梁翠影, 姜思维, 梁文举, 张晓珂. 下辽河平原农田土壤线虫群落组成的季节变化[J]. 生物多样性, 2022, 30(12): 22222-. |
| [12] | 靳新影, 张肖冲, 金多, 陈韵, 李靖宇. 腾格里沙漠东南缘不同生物土壤结皮细菌多样性及其季节动态特征[J]. 生物多样性, 2020, 28(6): 718-726. |
| [13] | 李远智, 肖俊丽, 刘翰伦, 王酉石, 储诚进. 生物间高阶相互作用研究进展[J]. 生物多样性, 2020, 28(11): 1333-1344. |
| [14] | 颜碧玥, 佟富春, 况露辉, 牟之建, 吴文佳, 蔡洪月, 王俊, 简曙光, 任海, 刘占锋. 有害植物孪花蟛蜞菊扩张对西沙岛屿陆生软体动物的影响[J]. 生物多样性, 2020, 28(10): 1182-1191. |
| [15] | 王凤珍, 唐毅. 食物网关键种的判定及其对稳健性的影响[J]. 生物多样性, 2019, 27(10): 1132-1137. |
| 阅读次数 | ||||||
|
全文 |
|
|||||
|
摘要 |
|
|||||
备案号:京ICP备16067583号-7
Copyright © 2026 版权所有 《生物多样性》编辑部
地址: 北京香山南辛村20号, 邮编:100093
电话: 010-62836137, 62836665 E-mail: biodiversity@ibcas.ac.cn