
生物多样性 ›› 2025, Vol. 33 ›› Issue (11): 25158. DOI: 10.17520/biods.2025158 cstr: 32101.14.biods.2025158
琚晓千1,2,3, 田赟1,2,3,*(
), 徐铭泽4,5, 代远萌6, 李满乐7, 周煜涵1,2, 刘鹏1,2,3, 贾昕1,2,3, 查天山1,2,3
收稿日期:2025-04-29
接受日期:2025-09-16
出版日期:2025-11-20
发布日期:2025-12-26
通讯作者:
田赟
基金资助:
Xiaoqian Ju1,2,3, Yun Tian1,2,3,*(
), Mingze Xu4,5, Yuanmeng Dai6, Manle Li7, Yuhan Zhou1,2, Peng Liu1,2,3, Xin Jia1,2,3, Tianshan Zha1,2,3
Received:2025-04-29
Accepted:2025-09-16
Online:2025-11-20
Published:2025-12-26
Contact:
Yun Tian
Supported by:摘要:
植物性状是连接植物与环境之间的桥梁, 功能群作为研究其关系的基本单元, 承载着响应环境变化的主要信息。研究植物功能群组成和叶性状如何随资源梯度变化, 对于理解荒漠植物的环境适应策略至关重要。本研究以毛乌素沙地黑沙蒿(Artemisia ordosica)群落为研究对象, 选取4个典型恢复阶段(D1: 半固定沙地; D2: 固定沙地; D3: 土壤生物结皮固定沙地; D4: 草本植物固定沙地), 重点分析了不同植物功能群(禾本科、非禾本科和灌木)叶性状与物种组成的阶段性演变规律, 并探讨了影响二者变化的主要土壤环境因子。结果表明: 随着沙地逐步固定, 植物功能群组成趋于复杂化, 其中禾本科和非禾本科种类和数量增加, 而灌木则无明显变化。D1、D2阶段植物功能群叶性状表现为较高的比叶面积和较低的叶干物质含量(leaf dry matter content, LDMC), 表明植物优先投资叶片形态建成以提高资源利用能力; 禾本科具有较高的LDMC和碳同化能力, 适应胁迫环境的能力更强。冗余分析结果表明, 土壤含水量(soil water content, SWC)、土壤碳氮比(soil carbon to nitrogen ratio, SC : SN)和土壤有机碳含量(soil organic carbon content, SOC)对3种植物功能群叶性状影响极显著(P < 0.01)。方差分解和层次分割分析显示, 9个土壤环境因子解释了植物叶性状总变差的18.5%, 其中SC : SN的单独效应最大(4.13%), 且SC : SN和SWC与大多数因子存在共同效应。本研究综合运用多种统计分析方法, 系统识别了荒漠植物性状变异的关键土壤驱动因子及其协同效应, 为区域植被恢复和生态系统可持续管理提供了坚实的理论基础。
琚晓千, 田赟, 徐铭泽, 代远萌, 李满乐, 周煜涵, 刘鹏, 贾昕, 查天山 (2025) 土壤环境因子对荒漠植物叶性状的驱动机制. 生物多样性, 33, 25158. DOI: 10.17520/biods.2025158.
Xiaoqian Ju, Yun Tian, Mingze Xu, Yuanmeng Dai, Manle Li, Yuhan Zhou, Peng Liu, Xin Jia, Tianshan Zha (2025) How soil environmental factors shape leaf traits in arid-land vegetation. Biodiversity Science, 33, 25158. DOI: 10.17520/biods.2025158.
| 固沙阶段 Sand-fixation stages | 半固定沙地 Semi-fixed dune (D1) | 固定沙地 Fixed dune (D2) | 土壤结皮固定沙地 Fixed dune with biological soil crusts (D3) | 草本植物固定沙地 Fixed dune with abundant herbaceous plants (D4) |
|---|---|---|---|---|
| 样地图 Plot photograph | ![]() | ![]() | ![]() | ![]() |
| 经纬度 Latitude and longitude | 107.23° N, 37.70° E | 107.23° N, 37.71° E | 107.23° N, 37.71° E | 107.22° N, 37.70° E |
| 海拔 Elevation (m) | 1,549 | 1,541 | 1,508 | 1,549 |
| 土壤容重 Soil bulk density (BD) (g/cm) | 1.54 ± 0.03a | 1.43 ± 0.12b | 1.62 ± 0.03a | 1.57 ± 0.02a |
| 土壤碳氮比 Soil carbon to nitrogen ratio (SC : SN) | 2.53 ± 0.42c | 7.44 ± 1.70a | 3.97 ± 0.65b | 4.84 ± 1.04b |
| 土壤碳磷比 Soil carbon to phosphorus ratio (SC : SP) | 12.63 ± 9.35a | 14.33 ± 4.80a | 13.85 ± 3.90a | 13.41 ± 4.47a |
| 土壤氮磷比 Soil nitrogen to phosphorus ratio (SN : SP) | 4.98 ± 3.63a | 2.02 ± 0.79b | 3.59 ± 1.29ab | 2.95 ± 1.26ab |
| 土壤有机碳含量 Soil organic carbon content (SOC) (g/kg) | 0.75 ± 0.07c | 2.69 ± 1.32a | 1.20 ± 0.27bc | 1.91 ± 0.64ab |
| 土壤温度 Soil temperature (ST) (℃) | 25.18 ± 1.37a | 23.22 ± 2.82a | 24.87 ± 3.06a | 24.47 ± 2.11a |
| 土壤含水量 Soil water content (SWC) (%) | 0.08 ± 0.02a | 0.10 ± 0.03a | 0.03 ± 0.01b | 0.04 ± 0.02b |
| 土壤全氮含量 Soil total nitrogen content (TN) (g/kg) | 0.22 ± 0.03b | 0.31 ± 0.12a | 0.24 ± 0.02ab | 0.30 ± 0.02ab |
| 土壤全磷含量 Soil total phosphorus content (TP) (g/kg) | 0.05 ± 0.02b | 0.19 ± 0.14a | 0.07 ± 0.02b | 0.12 ± 0.06ab |
表1 毛乌素沙地不同固沙阶段样地位置及土壤理化因子变化特征
Table 1 Location information and variation characteristics of soil physicochemical properties across different sand-fixation stages in Mu Us sandy land
| 固沙阶段 Sand-fixation stages | 半固定沙地 Semi-fixed dune (D1) | 固定沙地 Fixed dune (D2) | 土壤结皮固定沙地 Fixed dune with biological soil crusts (D3) | 草本植物固定沙地 Fixed dune with abundant herbaceous plants (D4) |
|---|---|---|---|---|
| 样地图 Plot photograph | ![]() | ![]() | ![]() | ![]() |
| 经纬度 Latitude and longitude | 107.23° N, 37.70° E | 107.23° N, 37.71° E | 107.23° N, 37.71° E | 107.22° N, 37.70° E |
| 海拔 Elevation (m) | 1,549 | 1,541 | 1,508 | 1,549 |
| 土壤容重 Soil bulk density (BD) (g/cm) | 1.54 ± 0.03a | 1.43 ± 0.12b | 1.62 ± 0.03a | 1.57 ± 0.02a |
| 土壤碳氮比 Soil carbon to nitrogen ratio (SC : SN) | 2.53 ± 0.42c | 7.44 ± 1.70a | 3.97 ± 0.65b | 4.84 ± 1.04b |
| 土壤碳磷比 Soil carbon to phosphorus ratio (SC : SP) | 12.63 ± 9.35a | 14.33 ± 4.80a | 13.85 ± 3.90a | 13.41 ± 4.47a |
| 土壤氮磷比 Soil nitrogen to phosphorus ratio (SN : SP) | 4.98 ± 3.63a | 2.02 ± 0.79b | 3.59 ± 1.29ab | 2.95 ± 1.26ab |
| 土壤有机碳含量 Soil organic carbon content (SOC) (g/kg) | 0.75 ± 0.07c | 2.69 ± 1.32a | 1.20 ± 0.27bc | 1.91 ± 0.64ab |
| 土壤温度 Soil temperature (ST) (℃) | 25.18 ± 1.37a | 23.22 ± 2.82a | 24.87 ± 3.06a | 24.47 ± 2.11a |
| 土壤含水量 Soil water content (SWC) (%) | 0.08 ± 0.02a | 0.10 ± 0.03a | 0.03 ± 0.01b | 0.04 ± 0.02b |
| 土壤全氮含量 Soil total nitrogen content (TN) (g/kg) | 0.22 ± 0.03b | 0.31 ± 0.12a | 0.24 ± 0.02ab | 0.30 ± 0.02ab |
| 土壤全磷含量 Soil total phosphorus content (TP) (g/kg) | 0.05 ± 0.02b | 0.19 ± 0.14a | 0.07 ± 0.02b | 0.12 ± 0.06ab |
| 固沙阶段 Sand-fixation stages | 禾本科 Poaceae | 非禾本科 Non-Poaceae | 灌木 Shrub |
|---|---|---|---|
| 半固定沙地 Semi-fixed dune (D1) | 赖草 Leymus secalinus | 虫实 Corispermum puberulum 草木樨状黄芪 Astragalus melilotoides 沙蓬 Agriophyllum squarrosum 乳白黄芪 Astragalus galactites | 黑沙蒿 Artemisia ordosica 蒙古羊柴 Corethrodendron fruticosum 沙芥 Pugionium cornutum |
| 固定沙地 Fixed dune (D2) | 赖草 Leymus secalinus 沙生针茅 Stipa glareosa 隐子草 Cleistogenes caespitosa | 虫实 Corispermum puberulum 狗娃花 Aster hispidus 乳白黄芪 Astragalus galactites 草木樨状黄芪 Astragalus melilotoides 砂珍棘豆 Oxytropis racemosa 大翅蓟 Onopordum acanthium | 黑沙蒿 Artemisia ordosica 华北白前 Cynanchum komarovii 柠条锦鸡儿 Caragana arborescens 达乌里胡枝子 Lespedeza daurica |
| 土壤结皮固定沙地 Fixed dune with biological soil crusts (D3) | 沙生针茅 Stipa glareosa 中华草沙蚕 Tripogon chinensis 隐子草 Cleistogenes caespitosa | 虫实 Corispermum puberulum 角蒿 Incarvillea sinensis 乳白黄芪 Astragalus galactites 狗娃花 Aster hispidus 银灰旋花 Convolvulus ammannii | 黑沙蒿 Artemisia ordosica 蒙古羊柴 Corethrodendron fruticosum 华北白前 Cynanchum komarovii 达乌里胡枝子 Lespedeza daurica |
| 草本植物固定沙地 Fixed dune with abundant herbaceous plants (D4) | 赖草 Leymus secalinus 沙生针茅 Stipa glareosa 隐子草 Cleistogenes caespitosa 沙芦苇 Agropyron mongolicum 中华草沙蚕 Tripogon chinensis | 虫实 Corispermum puberulum 角蒿 Incarvillea sinensis 狗娃花 Aster hispidus 甘草 Glycyrrhiza uralensis 大翅蓟 Onopordum acanthium 苦豆子 Sophora alopecuroides 鹅绒藤 Cynanchum chinense 雾冰藜 Grubovia dasyphylla | 黑沙蒿 Artemisia ordosica 蒙古羊柴 Corethrodendron fruticosum 华北白前 Cynanchum komarovii |
表2 毛乌素沙地不同固沙阶段不同植物功能群的物种组成
Table 2 Species composition of different plant functional groups across different sand-fixation stages in Mu Us sandy land
| 固沙阶段 Sand-fixation stages | 禾本科 Poaceae | 非禾本科 Non-Poaceae | 灌木 Shrub |
|---|---|---|---|
| 半固定沙地 Semi-fixed dune (D1) | 赖草 Leymus secalinus | 虫实 Corispermum puberulum 草木樨状黄芪 Astragalus melilotoides 沙蓬 Agriophyllum squarrosum 乳白黄芪 Astragalus galactites | 黑沙蒿 Artemisia ordosica 蒙古羊柴 Corethrodendron fruticosum 沙芥 Pugionium cornutum |
| 固定沙地 Fixed dune (D2) | 赖草 Leymus secalinus 沙生针茅 Stipa glareosa 隐子草 Cleistogenes caespitosa | 虫实 Corispermum puberulum 狗娃花 Aster hispidus 乳白黄芪 Astragalus galactites 草木樨状黄芪 Astragalus melilotoides 砂珍棘豆 Oxytropis racemosa 大翅蓟 Onopordum acanthium | 黑沙蒿 Artemisia ordosica 华北白前 Cynanchum komarovii 柠条锦鸡儿 Caragana arborescens 达乌里胡枝子 Lespedeza daurica |
| 土壤结皮固定沙地 Fixed dune with biological soil crusts (D3) | 沙生针茅 Stipa glareosa 中华草沙蚕 Tripogon chinensis 隐子草 Cleistogenes caespitosa | 虫实 Corispermum puberulum 角蒿 Incarvillea sinensis 乳白黄芪 Astragalus galactites 狗娃花 Aster hispidus 银灰旋花 Convolvulus ammannii | 黑沙蒿 Artemisia ordosica 蒙古羊柴 Corethrodendron fruticosum 华北白前 Cynanchum komarovii 达乌里胡枝子 Lespedeza daurica |
| 草本植物固定沙地 Fixed dune with abundant herbaceous plants (D4) | 赖草 Leymus secalinus 沙生针茅 Stipa glareosa 隐子草 Cleistogenes caespitosa 沙芦苇 Agropyron mongolicum 中华草沙蚕 Tripogon chinensis | 虫实 Corispermum puberulum 角蒿 Incarvillea sinensis 狗娃花 Aster hispidus 甘草 Glycyrrhiza uralensis 大翅蓟 Onopordum acanthium 苦豆子 Sophora alopecuroides 鹅绒藤 Cynanchum chinense 雾冰藜 Grubovia dasyphylla | 黑沙蒿 Artemisia ordosica 蒙古羊柴 Corethrodendron fruticosum 华北白前 Cynanchum komarovii |
| 固沙阶段 Sand-fixation stages | 功能群 Functional groups | 相对多度 Relative abundance (%) | 相对盖度 Relative coverage (%) | 相对频度 Relative frequency (%) | Shannon-Wiener 多样性指数 Shannon-Wiener diversity index (H′) | 物种丰富度指数 Species richness index (S) |
|---|---|---|---|---|---|---|
| 半固定沙地 Semi-fixed dune (D1) | 灌木 Shrub | 11 | 94 | 48 | 0.70 ± 0.28b | 5.00 ± 1.00b |
| 禾本科 Poaceae | 3 | 1 | 8 | |||
| 非禾本科 Non-Poaceae | 86 | 5 | 44 | |||
| 固定沙地 Fixed dune (D2) | 灌木 Shrub | 38 | 79 | 32 | 1.86 ± 0.22a | 11.67 ± 0.58a |
| 禾本科 Poaceae | 34 | 2 | 28 | |||
| 非禾本科 Non-Poaceae | 28 | 19 | 40 | |||
| 土壤结皮固定沙地 Fixed dune with biological soil crusts (D3) | 灌木 Shrub | 68 | 98 | 46 | 1.57 ± 0.29a | 8.67 ± 2.08ab |
| 禾本科 Poaceae | 9 | 1 | 20 | |||
| 非禾本科 Non-Poaceae | 23 | 1 | 34 | |||
| 草本植物固定沙地 Fixed dune with abundant herbaceous plants (D4) | 灌木 Shrub | 36 | 89 | 30 | 1.89 ± 0.19a | 12.33 ± 1.15a |
| 禾本科 Poaceae | 35 | 8 | 30 | |||
| 非禾本科 Non-Poaceae | 29 | 3 | 40 |
表3 毛乌素沙地不同固沙阶段不同植物功能群多样性指数
Table 3 Diversity indices of different plant functional groups across different sand-fixation stages in Mu Us sandy land
| 固沙阶段 Sand-fixation stages | 功能群 Functional groups | 相对多度 Relative abundance (%) | 相对盖度 Relative coverage (%) | 相对频度 Relative frequency (%) | Shannon-Wiener 多样性指数 Shannon-Wiener diversity index (H′) | 物种丰富度指数 Species richness index (S) |
|---|---|---|---|---|---|---|
| 半固定沙地 Semi-fixed dune (D1) | 灌木 Shrub | 11 | 94 | 48 | 0.70 ± 0.28b | 5.00 ± 1.00b |
| 禾本科 Poaceae | 3 | 1 | 8 | |||
| 非禾本科 Non-Poaceae | 86 | 5 | 44 | |||
| 固定沙地 Fixed dune (D2) | 灌木 Shrub | 38 | 79 | 32 | 1.86 ± 0.22a | 11.67 ± 0.58a |
| 禾本科 Poaceae | 34 | 2 | 28 | |||
| 非禾本科 Non-Poaceae | 28 | 19 | 40 | |||
| 土壤结皮固定沙地 Fixed dune with biological soil crusts (D3) | 灌木 Shrub | 68 | 98 | 46 | 1.57 ± 0.29a | 8.67 ± 2.08ab |
| 禾本科 Poaceae | 9 | 1 | 20 | |||
| 非禾本科 Non-Poaceae | 23 | 1 | 34 | |||
| 草本植物固定沙地 Fixed dune with abundant herbaceous plants (D4) | 灌木 Shrub | 36 | 89 | 30 | 1.89 ± 0.19a | 12.33 ± 1.15a |
| 禾本科 Poaceae | 35 | 8 | 30 | |||
| 非禾本科 Non-Poaceae | 29 | 3 | 40 |
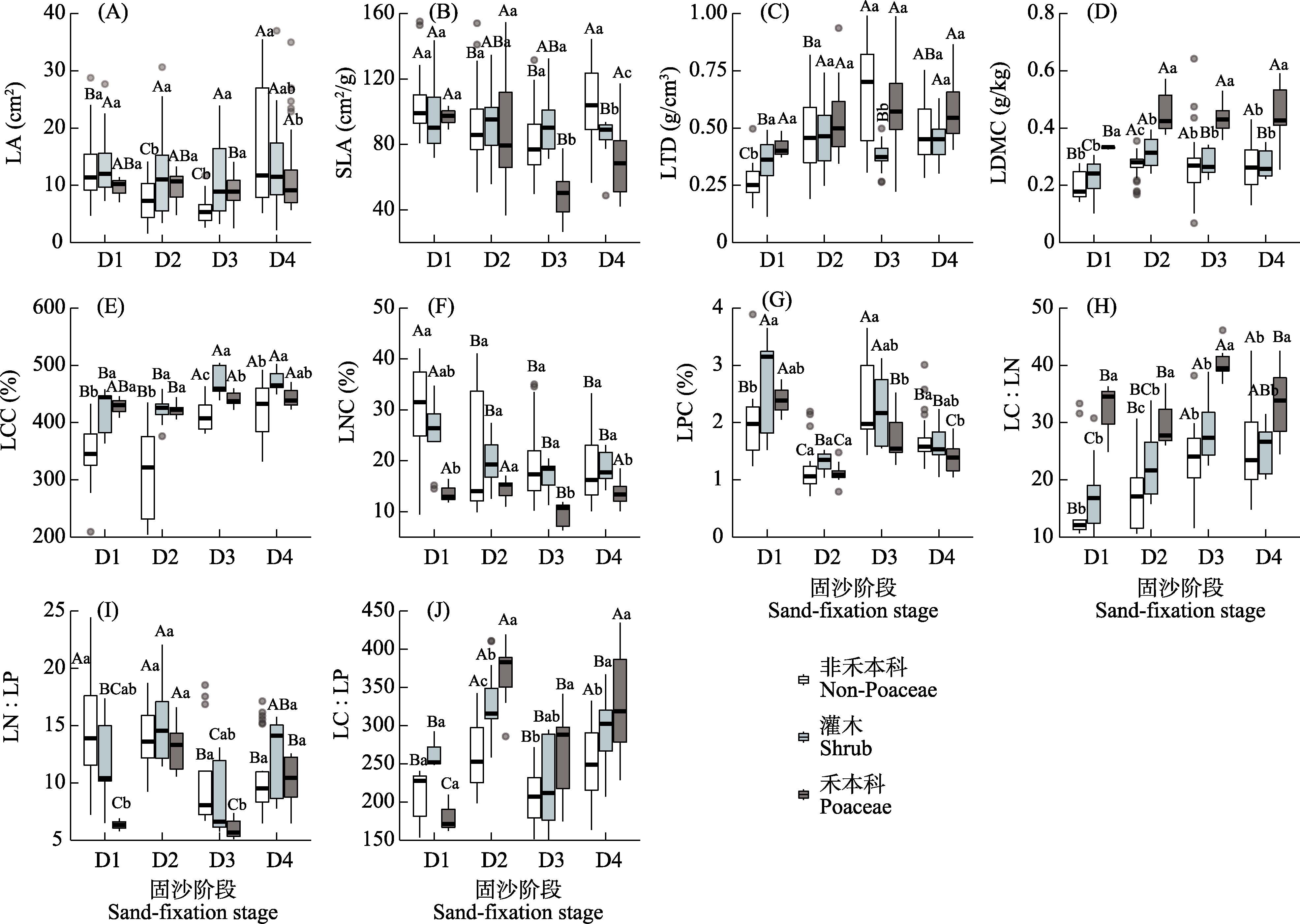
图1 不同固沙阶段各植物功能群叶性状差异。LA: 叶面积; SLA: 比叶面积; LTD: 叶组织密度; LDMC: 叶干物质含量; LCC: 叶片碳含量; LNC: 叶片氮含量; LPC: 叶片磷含量; LC : LN: 叶片碳氮比; LN : LP: 叶片氮磷比; LC : LP: 叶片碳磷比; D1: 半固定沙地; D2: 固定沙地; D3: 土壤结皮固定沙地; D4: 草本植物固定沙地。不同大写字母表示不同固沙阶段间差异显著, 不同小写字母表示不同功能群间差异显著(P < 0.05)。
Fig. 1 Differences in leaf traits of plant functional groups across different sand-fixation stages. LA, Leaf area; SLA, Specific leaf area; LTD, Leaf tissue density; LDMC, Leaf dry matter content; LCC, Leaf carbon content; LNC, Leaf nitrogen content; LPC, Leaf phosphorus content; LC : LN, Leaf carbon to nitrogen ratio; LN : LP, Leaf nitrogen to phosphorus ratio; LC : LP, Leaf carbon to phosphorus ratio; D1, Semi-fixed dune; D2, Fixed dune; D3, Fixed dune with biological soil crusts; D4, Fixed dune with abundant herbaceous plants. Upper case letters indicate significant differences among different sand-fixation stages and lowercase letters indicate significant differences among different functional groups (P < 0.05).
图2 不同固沙阶段不同植物功能群叶性状集合分布(A-C)及叶性状(E-G)与土壤环境因子的冗余分析。BD: 土壤容重; SOC: 土壤有机碳含量; TN: 土壤全氮含量; TP: 土壤全磷含量; SC : SN: 土壤碳氮比; SN : SP: 土壤氮磷比; SC : SP: 土壤碳磷比; SWC: 土壤含水量; ST: 土壤温度; LA: 叶面积; SLA: 比叶面积; LTD: 叶组织密度; LDMC: 叶干物质含量; LCC: 叶片碳含量; LNC: 叶片氮含量; LPC: 叶片磷含量; LC : LN: 叶片碳氮比; LN : LP: 叶片氮磷比; LC : LP: 叶片碳磷比; D1: 半固定沙地; D2: 固定沙地; D3: 土壤结皮固定沙地; D4: 草本植物固定沙地。箭头代表土壤环境因子, 圆圈代表植物叶性状。
Fig. 2 Redundancy analysis biplots showing the distribution of leaf trait assemblages in relation to soil environmental factors (A-C), and the relationships between individual leaf traits and soil environmental factors (E-G), across different plant functional groups and sand-fixation stages. BD, Soil bulk density; SOC, Soil organic carbon content; TN, Soil total nitrogen content; TP, Soil total phosphorus content; SC : SN, Soil carbon to nitrogen ratio; SN : SP, Soil nitrogen to phosphorus ratio; SC : SP, Soil carbon to phosphorus ratio; SWC, Soil water content; ST, Soil temperature; LA, Leaf area; SLA, Specific leaf area; LTD, Leaf tissue density; LDMC, Leaf dry matter content; LCC, Leaf carbon content; LNC, Leaf nitrogen content; LPC, Leaf phosphorus content; LC : LN, Leaf carbon to nitrogen ratio; LN : LP, Leaf nitrogen to phosphorus ratio; LC : LP, Leaf carbon to phosphorus ratio; D1, Semi-fixed dune; D2, Fixed dune; D3, Fixed dune with biological soil crusts; D4, Fixed dune with abundant herbaceous plants. Arrows indicate soil environmental factors; circles denote plant leaf traits.
| 土壤环境因子 Soil environmental factors | 禾本科 Poaceae | 非禾本科 Non-Poaceae | 灌木 Shrub | |||
|---|---|---|---|---|---|---|
| R2 | P | R2 | P | R2 | P | |
| 土壤碳氮比 Soil carbon to nitrogen ratio (SC : SN) | 0.54 | < 0.001 | 0.30 | < 0.001 | 0.47 | < 0.001 |
| 土壤容重 Soil bulk density (BD) | 0.31 | < 0.001 | 0.26 | < 0.001 | 0.21 | < 0.001 |
| 土壤有机碳含量 Soil organic carbon content (SOC) | 0.30 | < 0.001 | 0.19 | < 0.001 | 0.34 | < 0.001 |
| 土壤全氮含量 Soil total nitrogen content (TN) | 0.19 | < 0.001 | 0.45 | < 0.001 | 0.27 | < 0.001 |
| 土壤全磷含量 Soil total phosphorus content (TP) | 0.20 | < 0.001 | 0.08 | < 0.005 | 0.18 | < 0.001 |
| 土壤含水量 Soil water content (SWC) | 0.20 | < 0.001 | 0.17 | < 0.001 | 0.21 | < 0.001 |
| 土壤氮磷比 Soil nitrogen to phosphorus ratio (SN : SP) | 0.19 | < 0.001 | 0.12 | < 0.001 | 0.27 | < 0.001 |
| 土壤温度 Soil temperature (ST) | 0.07 | 0.054 | 0.12 | < 0.001 | 0.03 | 0.264 |
| 土壤碳磷比 Soil carbon to phosphorus ratio (SC : SP) | 0.02 | 0.389 | 0.00 | 0.907 | 0.00 | 0.911 |
表4 基于冗余分析的土壤环境因子对3种植物功能群叶性状变化的解释率
Table 4 Variance in leaf traits across three plant functional groups explained by soil environmental factors: a redundancy analysis (RDA)
| 土壤环境因子 Soil environmental factors | 禾本科 Poaceae | 非禾本科 Non-Poaceae | 灌木 Shrub | |||
|---|---|---|---|---|---|---|
| R2 | P | R2 | P | R2 | P | |
| 土壤碳氮比 Soil carbon to nitrogen ratio (SC : SN) | 0.54 | < 0.001 | 0.30 | < 0.001 | 0.47 | < 0.001 |
| 土壤容重 Soil bulk density (BD) | 0.31 | < 0.001 | 0.26 | < 0.001 | 0.21 | < 0.001 |
| 土壤有机碳含量 Soil organic carbon content (SOC) | 0.30 | < 0.001 | 0.19 | < 0.001 | 0.34 | < 0.001 |
| 土壤全氮含量 Soil total nitrogen content (TN) | 0.19 | < 0.001 | 0.45 | < 0.001 | 0.27 | < 0.001 |
| 土壤全磷含量 Soil total phosphorus content (TP) | 0.20 | < 0.001 | 0.08 | < 0.005 | 0.18 | < 0.001 |
| 土壤含水量 Soil water content (SWC) | 0.20 | < 0.001 | 0.17 | < 0.001 | 0.21 | < 0.001 |
| 土壤氮磷比 Soil nitrogen to phosphorus ratio (SN : SP) | 0.19 | < 0.001 | 0.12 | < 0.001 | 0.27 | < 0.001 |
| 土壤温度 Soil temperature (ST) | 0.07 | 0.054 | 0.12 | < 0.001 | 0.03 | 0.264 |
| 土壤碳磷比 Soil carbon to phosphorus ratio (SC : SP) | 0.02 | 0.389 | 0.00 | 0.907 | 0.00 | 0.911 |
图3 土壤环境因子对植物叶性状影响的相对重要性。方差分解和层次分割分析结果使用UpSet图来呈现。(A)展示了各组分(环境因子单独效应及共同效应)解释的变差百分比。(B)右侧点阵图中, 每行对应一个环境因子; 每列的孤立黑点表示各环境因子的边际效应, 多点间连线表示这些环境因子间的共同效应。左侧柱形图为各环境因子的单独效应(来自层次分割), 其值等同于该环境因子的边际效应加上与其他环境因子的共同效应的平均分配值。BD: 土壤容重; SOC: 土壤有机碳含量; TN: 土壤全氮含量; TP: 土壤全磷含量; SC : SN: 土壤碳氮比; SN : SP: 土壤氮磷比; SC : SP: 土壤碳磷比; SWC: 土壤含水量; ST: 土壤温度。***, P < 0.001。
Fig. 3 UpSet matrix layout of variation partitioning and hierarchical partitioning analysis results to show the relative importance of soil environmental factors on variation of plant traits. (A) Percentage of variation explained by each component (individual effects and common effects of environmental factors). (B) In the dot-matrix plot on the right, each row corresponds to an environmental factor. For each column, the isolated black dot represents the marginal effect of each environmental factor, lines connecting multiple dots represent the common effect among these corresponding environmental factors. Column diagram on the left shows individual effect of each environmental factor (from hierarchical partitioning), its value is equal to its marginal effect plus its average shared common effect with other environmental factors. BD, Soil bulk density; SOC, Soil organic carbon content; TN, Soil total nitrogen content; TP, Soil total phosphorus content; SC : SN, Soil carbon to nitrogen ratio; SN : SP, Soil nitrogen to phosphorus ratio; SC : SP, Soil carbon to phosphorus ratio; SWC, Soil water content; ST, Soil temperature. ***, P < 0.001.
| [1] |
Aerts R (1996) Nutrient resorption from senescing leaves of perennials: Are there general patterns? Journal of Ecology, 84, 597-608.
DOI URL |
| [2] |
Akram MA, Wang XT, Shrestha N, Zhang Y, Sun Y, Yao S, Li J, Hou Q, Hu W, Ran J, Deng J (2023) Variations and driving factors of leaf functional traits in the dominant desert plant species along an environmental gradient in the drylands of China. Science of the Total Environment, 897, 165394.
DOI URL |
| [3] |
An NN, Lu N, Fu B, Wang MY, He NP (2021) Distinct responses of leaf traits to environment and phylogeny between herbaceous and woody angiosperm species in China. Frontiers in Plant Science, 12, 799401.
DOI URL |
| [4] |
Augusto L, Boča A (2022) Tree functional traits, forest biomass, and tree species diversity interact with site properties to drive forest soil carbon. Nature Communications, 13, 1097.
DOI PMID |
| [5] | Backhaus L, Albert G, Cuchietti A, Jaimes Nino LM, Fahs N, Lisner A, Kolář V, Kermavnar J, Widmer S, Zimmermann Z, Rofrics N, de Bello F, Lepš J, García Medina N (2021) Shift from trait convergence to divergence along old-field succession. Journal of Vegetation Science, 32, e12986. |
| [6] |
Bai YX, She WW, Michalet R, Zheng J, Qin SG, Zhang YQ (2018) Benefactor facilitation and beneficiary feedback effects drive shrub-dominated community succession in a semi-arid dune ecosystem. Applied Vegetation Science, 21, 595-606.
DOI URL |
| [7] | Bao PA, Qiu KY, Huang YY, Wang SY, Cui LY, Luo XY, Yang YT, Xie YZ (2024) Leaf functional trait characteristics and plasticity of desert steppe plants under nitrogen and phosphorus addition. Acta Prataculturae Sinica, 33(3), 97-106. (in Chinese with English abstract) |
|
[ 鲍平安, 邱开阳, 黄业芸, 王思瑶, 崔璐瑶, 骆欣怡, 杨云涛, 谢应忠 (2024) 荒漠草原植物在氮磷添加下叶功能性状特征及其可塑性. 草业学报, 33(3), 97-106.]
DOI |
|
| [8] |
Becknell JM, Powers JS (2014) Stand age and soils as drivers of plant functional traits and aboveground biomass in secondary tropical dry forest. Canadian Journal of Forest Research, 44, 604-613.
DOI URL |
| [9] |
Caster J, Sankey TT, Sankey JB, Bowker MA, Buscombe D, Duniway MC, Barger N, Faist A, Joyal T (2021) Biocrust and the soil surface: Influence of climate, disturbance, and biocrust recovery on soil surface roughness. Geoderma, 403, 115369.
DOI URL |
| [10] |
Chen YF, Yu FH, Dong M (2002) Scale-dependent spatial heterogeneity of vegetation in Mu Us sandy land, a semi-arid area of China. Plant Ecology, 162, 135-142.
DOI |
| [11] |
Cornelissen JHC, Lavorel S, Garnier E, Díaz S, Buchmann N, Gurvich DE, Reich PB, ter Steege H, Morgan HD, van der Heijden MGA, Pausas JG, Poorter H (2003) A handbook of protocols for standardised and easy measurement of plant functional traits worldwide. Australian Journal of Botany, 51, 335-380.
DOI URL |
| [12] |
Cunningham SA, Summerhayes B, Westoby M (1999) Evolutionary divergences in leaf structure and chemistry, comparing rainfall and soil nutrient gradients. Ecological Monographs, 69, 569-588.
DOI URL |
| [13] |
Dai YM, Li ML, Xu MZ, Tian Y, Zhao HX, Gao SJ, Hao SR, Liu P, Jia X, Zha TS (2022) Leaf traits of Artemisia ordosica at different dune fixation stages in Mau Us Sandy Land. Chinese Journal of Plant Ecology, 46, 1376-1387. (in Chinese with English abstract)
DOI URL |
|
[ 代远萌, 李满乐, 徐铭泽, 田赟, 赵洪贤, 高圣杰, 郝少荣, 刘鹏, 贾昕, 查天山 (2022) 毛乌素沙地沙丘不同固定阶段黑沙蒿叶性状特征. 植物生态学报, 46, 1376-1387.]
DOI |
|
| [14] |
Díaz S, Hodgson JG, Thompson K, Cabido M, Cornelissen JHC, Jalili A, Montserrat-Martí G, Grime JP, Zarrinkamar F, Asri Y, Band SR, Basconcelo S, Castro-Díez P, Funes G, Hamzehee B, Khoshnevi M, Pérez-Harguindeguy N, Pérez-Rontomé MC, Shirvany FA, Vendramini F, Yazdani S, Abbas-Azimi R, Bogaard A, Boustani S, Charles M, Dehghan M, de Torres-Espuny L, Falczuk V, Guerrero-Campo J, Hynd A, Jones G, Kowsary E, Kazemi-Saeed F, Maestro-Martínez M, Romo-Díez A, Shaw S, Siavash B, Villar-Salvador P, Zak MR (2004) The plant traits that drive ecosystems: Evidence from three continents. Journal of Vegetation Science, 15, 295-304.
DOI URL |
| [15] |
Díaz S, Kattge J, Cornelissen JHC, Wright IJ, Lavorel S, Dray S, Reu B, Kleyer M, Wirth C, Colin Prentice I, Garnier E, Bönisch G, Westoby M, Poorter H, Reich PB, Moles AT, Dickie J, Gillison AN, Zanne AE, Chave J, Wright SJ, Sheremet’ev SN, Jactel H, Baraloto C, Cerabolini B, Pierce S, Shipley B, Kirkup D, Casanoves F, Joswig JS, Günther A, Falczuk V, Rüger N, Mahecha MD, Gorné LD (2016) The global spectrum of plant form and function. Nature, 529, 167-171.
DOI |
| [16] | Du Q, Shen HL, Wang JH (2006) Plant community structure and species diversity of desert steppe in Ningxia. Chinese Journal of Ecology, 25, 222-224. (in Chinese with English abstract) |
| [ 杜茜, 沈海亮, 王季槐 (2006) 宁夏荒漠草原植物群落结构和物种多样性研究. 生态学杂志, 25, 222-224.] | |
| [17] |
Elser JJ, Bracken MES, Cleland EE, Gruner DS, Harpole WS, Hillebrand H, Ngai JT, Seabloom EW, Shurin JB, Smith JE (2007) Global analysis of nitrogen and phosphorus limitation of primary producers in freshwater, marine and terrestrial ecosystems. Ecology Letters, 10, 1135-1142.
DOI PMID |
| [18] | Feng Y, Wang YQ, Li YK, Han L, Wang HZ (2024) Relationship between leaf functional traits of Populus euphratica and soil factors. Acta Ecologica Sinica, 44, 1717-1726. (in Chinese with English abstract) |
| [ 冯宇, 王雨晴, 李沅楷, 韩路, 王海珍 (2024) 胡杨叶功能性状与土壤因子的关系. 生态学报, 44, 1717-1726.] | |
| [19] | Feng YC, Zheng XY, Wang ZN, Liu B, Lan SR (2019) Niche characteristics of plant populations in understory herbaceous layer of Cunninghamia lanceolata pure forest and mixed forest. Journal of Ecology and Rural Environment, 35, 217-224. (in Chinese with English abstract) |
| [ 冯玉超, 郑晓阳, 王正宁, 刘博, 兰思仁 (2019) 杉木纯林和混交林林下草本层种群生态位特征. 生态与农村环境学报, 35, 217-224.] | |
| [20] | Gong HD, Li YY, Yu T, Zhang SH, Gao J, Zhang SK, Sun DX (2020) Soil and climate effects on leaf nitrogen and phosphorus stoichiometry along elevational gradients. Global Ecology and Conservation, 23, e01138. |
| [21] | Guan HJ (2023) Biocrust effects on root water uptake of shrubs in the Mu Us Desert. Acta Ecologica Sinica, 43, 5875-5889. (in Chinese with English abstract) |
| [ 关红杰 (2023) 毛乌素沙地生物土壤结皮对油蒿水分吸收的影响模拟. 生态学报, 43, 5875-5889.] | |
| [22] |
Guo CY, Wang SS (2021) Overviews on research of the interrelationships between plant main leaf characteristics and micro-topography units. Botanical Research, 10, 692-700. (in Chinese with English abstract)
DOI URL |
| [ 郭传友, 王珊珊 (2021) 植物主要叶性状与微地形间相关性研究综述. 植物学研究, 10, 692-700.] | |
| [23] |
Guo XX, Zuo XA, Yue P, Li XY, Zhao SL, Lü P, Hu Y (2021) Responses of leaf morphological traits of three dominant plants to water and nitrogen in desert steppe of Inner Mongolia. Journal of Desert Research, 41, 137-144. (in Chinese with English abstract)
DOI |
|
[ 郭新新, 左小安, 岳平, 李香云, 赵生龙, 吕朋, 胡亚 (2021) 内蒙古荒漠草原沙生针茅(Stipa glareosa)、碱韭(Allium polyrhizum)和骆驼蓬(Peganum harmala)叶形态性状对土壤水氮耦合的响应. 中国沙漠, 41, 137-144.]
DOI |
|
| [24] | He H, Li R, Wang HY, Xie TT, Ma J, Chen YM, Ma Y, Shan LS (2025) Research on the leaf trait characteristics of Nitraria sphaerocarpa across different sand dune stabilization stages in the Hexi Corridor’s desert-oasis transition zone. Acta Ecologica Sinica, 45, 1417-1428. (in Chinese with English abstract) |
| [ 何浩, 李瑞, 王红永, 解婷婷, 马静, 陈壹铭, 马颖, 单立山 (2025) 河西走廊荒漠绿洲过渡带沙丘不同固定阶段泡泡刺叶性状特征. 生态学报, 45, 1417-1428.] | |
| [25] |
He JS, Wang L, Flynn DFB, Wang XP, Ma WH, Fang JY (2008) Leaf nitrogen : phosphorus stoichiometry across Chinese grassland biomes. Oecologia, 155, 301-310.
DOI URL |
| [26] | Hu D, Lü GH, Wang HF, Yang Q, Cai Y (2021) Response of desert plant diversity and stability to soil factors based on water gradient. Acta Ecologica Sinica, 41, 6738-6748. (in Chinese with English abstract) |
| [ 胡冬, 吕光辉, 王恒方, 杨启, 蔡艳 (2021) 水分梯度下荒漠植物多样性与稳定性对土壤因子的响应. 生态学报, 41, 6738-6748.] | |
| [27] |
Huang R, Tian Q, Zhang Y, Wu YH, Li ZZ, Tang ZT, Zhou AY (2022) Response of leaf functional traits of landscape plants to urban green space environment in Lanzhou, China. Forests, 13, 682.
DOI URL |
| [28] |
Jiang J, Wang YP, Yang YH, Yu MX, Wang C, Yan JH (2019) Interactive effects of nitrogen and phosphorus additions on plant growth vary with ecosystem type. Plant and Soil, 440, 523-537.
DOI |
| [29] |
Jiang XY, Gao SJ, Jiang Y, Tian Y, Jia X, Zha TS (2022) Species diversity, functional diversity, and phylogenetic diversity in plant communities at different phases of vegetation restoration in the Mu Us Sandy grassland. Biodiversity Science, 30, 21387. (in Chinese with English abstract)
DOI |
|
[ 姜晓燕, 高圣杰, 蒋燕, 田赟, 贾昕, 查天山 (2022) 毛乌素沙地植被不同恢复阶段植物群落物种多样性、功能多样性和系统发育多样性. 生物多样性, 30, 21387.]
DOI |
|
| [30] | Jiang Y, Jin C, Jiang XY, Li XH, Wei NN, Gao SJ, Liu P, Jia X, Zha TS (2022) Relative changes and biophysical controls of leaf resource use efficiencies in Artemisia ordosica. Acta Ecologica Sinica, 42, 6196-6208. (in Chinese with English abstract) |
| [ 蒋燕, 靳川, 姜晓燕, 李鑫豪, 魏宁宁, 高圣杰, 刘鹏, 贾昕, 查天山 (2022) 油蒿叶片资源利用效率变化及其影响因素. 生态学报, 42, 6196-6208.] | |
| [31] | Kong WW, Wang XF, Lu HY, Liu TT, Gong XJ, Liu H, Yuan XZ (2020) Ecological stoichiometry of four typical herbaceous species in the littoral zone of Three Gorges Reservoir. Acta Ecologica Sinica, 40, 4493-4506. (in Chinese with English abstract) |
| [ 孔维苇, 王晓锋, 卢虹宇, 刘婷婷, 龚小杰, 刘欢, 袁兴中 (2020) 三峡库区消落带4种典型草本植物的生态化学计量特征. 生态学报, 40, 4493-4506.] | |
| [32] |
Kunstler G, Falster D, Coomes DA, Hui F, Kooyman RM, Laughlin DC, Poorter L, Vanderwel M, Vieilledent G, Wright SJ, Aiba M, Baraloto C, Caspersen J, Cornelissen JHC, Gourlet-Fleury S, Hanewinkel M, Herault B, Kattge J, Kurokawa H, Onoda Y, Peñuelas J, Poorter H, Uriarte M, Richardson S, Ruiz-Benito P, Sun IF, Ståhl G, Swenson NG, Thompson J, Westerlund B, Wirth C, Zavala MA, Zeng HC, Zimmerman JK, Zimmermann NE, Westoby M (2016) Plant functional traits have globally consistent effects on competition. Nature, 529, 204-207.
DOI |
| [33] |
Lai JS, Tang J, Li T, Zhang A, Mao LF (2024) Evaluating the relative importance of predictors in generalized additive models using the gam. hp R package. Plant Diversity, 46, 542-546.
DOI URL |
| [34] |
Lai JS, Zou Y, Zhang J, Peres-Neto PR (2022) Generalizing hierarchical and variation partitioning in multiple regression and canonical analyses using the rdacca.hp R package. Methods in Ecology and Evolution, 13, 782-788.
DOI URL |
| [35] | Li L, Ding J, Tang YY, Yang HY, Feng JC, Shi S (2025) Functional traits and environmental adaptive characteristics of Ammopiptanthus mongolicus. Guihaia, 45, 80-94. (in Chinese with English abstract) |
| [ 李蕾, 丁甲, 唐逸芸, 杨宏玉, 冯金朝, 石莎 (2025) 蒙古沙冬青功能性状及其环境适应特征研究. 广西植物, 45, 80-94.] | |
| [36] | Li RX, Wu X, Gong L (2022) Leaf characteristics of typical desert plants in the upper reaches of Tarim River and their relationship with soil factors. Acta Ecologica Sinica, 42, 5360-5370. (in Chinese with English abstract) |
| [ 李蕊希, 吴雪, 贡璐 (2022) 塔里木河上游典型荒漠植物叶片性状及其与土壤因子的关系. 生态学报, 42, 5360-5370.] | |
| [37] | Li SJ, Wang H, Gou W, White JF, Kingsley KL, Wu GQ, Su PX (2021) Leaf functional traits of dominant desert plants in the Hexi Corridor, northwestern China: Trade-off relationships and adversity strategies. Global Ecology and Conservation, 28, e01666. |
| [38] |
Li W, Cheng JM, Yu KL, Epstein HE, Du GZ (2015) Short-term responses of an alpine meadow community to removal of a dominant species along a fertilization gradient. Journal of Plant Ecology, 8, 513-522.
DOI |
| [39] |
Li YL, Mao W, Zhao XY, Zhang TH (2010) Leaf nitrogen and phosphorus stoichiometry in typical desert and desertified regions, North China. Environmental Science, 31, 1716-1725. (in Chinese with English abstract)
DOI URL |
| [ 李玉霖, 毛伟, 赵学勇, 张铜会 (2010) 北方典型荒漠及荒漠化地区植物叶片氮磷化学计量特征研究. 环境科学, 31, 1716-1725.] | |
| [40] |
Liu CC, He NP, Li Y, Zhang JH, Yan P, Wang RM, Wang RL (2024) Current and future trends of plant functional traits in macro-ecology. Chinese Journal of Plant Ecology, 48, 21-40. (in Chinese with English abstract)
DOI URL |
|
[ 刘聪聪, 何念鹏, 李颖, 张佳慧, 闫镤, 王若梦, 王瑞丽 (2024) 宏观生态学中的植物功能性状研究: 历史与发展趋势. 植物生态学报, 48, 21-40.]
DOI |
|
| [41] |
Liu CN, Huang Y, Wu F, Liu WJ, Ning YQ, Huang ZR, Tang SQ, Liang Y (2021) Plant adaptability in karst regions. Journal of Plant Research, 134, 889-906.
DOI PMID |
| [42] |
Liu XR, Wang X, Zhu J, Wang XC, Chen KX, Yuan YQ, Yang X, Mo WY, Wang RL, Zhang SX (2024) Strong conservatism in leaf anatomical traits and their multidimensional relationships with leaf economic traits in grasslands under different stressful environments. Ecological Processes, 13, 71.
DOI |
| [43] |
Lu SB, Chen YM, Sardans J, Peñuelas J (2023) Ecological stoichiometric comparison of plant-litter-soil system in mixed-species and monoculture plantations of Robinia pseudoacacia, Amygdalus davidiana, and Armeniaca sibirica in the loess hilly region of China. Forest Ecosystems, 10, 100123.
DOI URL |
| [44] |
Ma SH, He F, Tian D, Zou DT, Yan ZB, Yang YL, Zhou TC, Huang KY, Shen HH, Fang JY (2018) Variations and determinants of carbon content in plants: A global synthesis. Biogeosciences, 15, 693-702.
DOI URL |
| [45] | Ma WF, He YC, Wang Y, Li JW (2020) Leaf functional traits of Populus euphratica and its response to water condition in oasis of extremely arid area. Forest Inventory and Planning, 45(3), 152-157. (in Chinese with English abstract) |
| [ 马万飞, 何奕成, 王寅, 李景文 (2020) 极端干旱区绿洲胡杨叶片性状及其对水分条件的响应. 林业调查规划, 45(3), 152-157.] | |
| [46] |
Madani N, Kimball JS, Ballantyne AP, Affleck DLR, van Bodegom PM, Reich PB, Kattge J, Sala A, Nazeri M, Jones MO, Zhao M, Running SW (2018) Future global productivity will be affected by plant trait response to climate. Scientific Reports, 8, 2870.
DOI PMID |
| [47] |
Moles AT, Perkins SE, Laffan SW, Flores-Moreno H, Awasthy M, Tindall ML, Sack L, Pitman A, Kattge J, Aarssen LW, Anand M, Bahn M, Blonder B, Cavender-Bares J, Cornelissen JHC, Cornwell WK, Díaz S, Dickie JB, Freschet GT, Griffiths JG, Gutierrez AG, Hemmings FA, Hickler T, Hitchcock TD, Keighery M, Kleyer M, Kurokawa H, Leishman MR, Liu K, Niinemets Ü, Onipchenko V, Onoda Y, Penuelas J, Pillar VD, Reich PB, Shiodera S, Siefert A, Sosinski EE Jr, Soudzilovskaia NA, Swaine EK, Swenson NG, van Bodegom PM, Warman L, Weiher E, Wright IJ, Zhang H, Zobel M, Bonser SP (2014) Which is a better predictor of plant traits: Temperature or precipitation? Journal of Vegetation Science, 25, 1167-1180.
DOI URL |
| [48] |
Mu YM, Jia X, Ye ZQ, Zha TS, Guo XL, Black TA, Zhang Y, Hao SR, Han C, Gao SJ, Qin SG, Liu P, Tian Y (2024) Dry-season length affects the annual ecosystem carbon balance of a temperate semi-arid shrubland. Science of the Total Environment, 917, 170532.
DOI URL |
| [49] |
Münzbergová Z, Hanzelková V, Dostálek T (2025) Species habitat preferences and root trait variation across 65 temperate perennial forbs. Annals of Botany, 136, 1339-1353.
DOI URL |
| [50] |
Ni XF, Sun LJ, Cai Q, Ma SH, Feng YH, Sun YF, An LH, Ji CJ (2022) Variation and determinants of leaf anatomical traits from boreal to tropical forests in eastern China. Ecological Indicators, 140, 108992.
DOI URL |
| [51] |
Niinemets Ü (2001) Global-scale climatic controls of leaf dry mass per area, density, and thickness in trees and shrubs. Ecology, 82, 453-469.
DOI URL |
| [52] | Paul EA (2015) Soil microbiology, ecology and biochemistry. In: Soil Microbiology, Ecology and Biochemistry, 4th edn (ed. Paul EA), pp.i-ii. Academic Press, Boston. |
| [53] | Qi DH, Wen ZM, Yang SS, Wang HX, Guo R (2015) Trait-based responses and adaptation of Artemisia sacrorum to environmental changes. Chinese Journal of Applied Ecology, 26, 1921-1927. (in Chinese with English abstract) |
| [ 戚德辉, 温仲明, 杨士梭, 王红霞, 郭茹 (2015) 基于功能性状的铁杆蒿对环境变化的响应与适应. 应用生态学报, 26, 1921-1927.] | |
| [54] | R Core Team (2021) R: A Language and Environment for Statistical Computing. R Foundation for Statistical Computing, Vienna. |
| [55] |
Seleiman MF, Al-Suhaibani N, Ali N, Akmal M, Alotaibi M, Refay Y, Dindaroglu T, Abdul-Wajid HH, Battaglia ML (2021) Drought stress impacts on plants and different approaches to alleviate is adverse effects. Plants, 10, 259.
DOI URL |
| [56] | Shi Y, Wen ZM, Gong SH (2011) Comparisons of relationships between leaf and fine root traits in hilly area of the Loess Plateau, Yanhe River basin, Shaanxi Province, China. Acta Ecologica Sinica, 31, 6805-6814. (in Chinese with English abstract) |
| [ 施宇, 温仲明, 龚时慧 (2011) 黄土丘陵区植物叶片与细根功能性状关系及其变化. 生态学报, 31, 6805-6814.] | |
| [57] | Shi ZM, Tang JC, Cheng RM, Luo D, Liu SR (2015) A review on nitrogen allocation in leaves and its factors. Acta Ecologica Sinica, 35, 5909-5919. (in Chinese with English abstract) |
| [ 史作民, 唐敬超, 程瑞梅, 罗达, 刘世荣 (2015) 植物叶片氮分配及其影响因子研究进展. 生态学报, 35, 5909-5919.] | |
| [58] |
Song YT, Zhou DW, Li Q, Wang P, Huang YX (2012) Leaf nitrogen and phosphorus stoichiometry in 80 herbaceous plant species of Songnen grassland in Northeast China. Chinese Journal of Plant Ecology, 36, 222-230. (in Chinese with English abstract)
DOI URL |
|
[ 宋彦涛, 周道玮, 李强, 王平, 黄迎新 (2012) 松嫩草地80种草本植物叶片氮磷化学计量特征. 植物生态学报, 36, 222-230.]
DOI |
|
| [59] | Tang ZS, An H, Deng L, Shangguan ZP (2016) Changes in the plant community and soil physical properties during grassland desertification of steppes. Acta Ecologica Sinica, 36, 991-1000. (in Chinese with English abstract) |
| [ 唐庄生, 安慧, 邓蕾, 上官周平 (2016) 荒漠草原沙漠化植物群落及土壤物理变化. 生态学报, 36, 991-1000.] | |
| [60] | Thomas HJD (2022) Environmental drivers of plant form and function. Nature Ecology & Evolution, 6, 22-23. |
| [61] |
Tian D, Yan ZB, Schmid B, Kattge J, Fang JY, Stocker BD (2024) Environmental versus phylogenetic controls on leaf nitrogen and phosphorous concentrations in vascular plants. Nature Communications, 15, 5346.
DOI PMID |
| [62] | Wang JX, Kou ZX (2023) Soil eco-stoichiometric characteristics of soil ecology with different vegetation types in the southern margin of Mu Us Sandy Land. Agriculture & Technology, 43(14), 105-108. (in Chinese with English abstract) |
| [ 王佳璇, 寇再兴 (2023) 毛乌素沙地南缘不同植被类型土壤生态化学计量特征. 农业与技术, 43(14), 105-108.] | |
| [63] | Wang LL (2016) Dynamic of Ecological Environment of Fenced Grassland and Its Management in Yanchi County. PhD dissertation, Beijing Forestry University, Beijing. (in Chinese with English abstract) |
| [ 王黎黎 (2016) 盐池县封育条件下草地生态环境演变态势及草场管理. 博士学位论文, 北京林业大学, 北京.] | |
| [64] | Wang LL (2018) Characteristics of Leaf Nutrient Resorption in Typical Desert Plants and Its Response Mechanism to Environment. PhD dissertation, Lanzhou University, Lanzhou. (in Chinese with English abstract) |
| [ 王立龙 (2018) 典型荒漠植物叶片养分回收特征及其对环境的响应机制. 博士学位论文, 兰州大学, 兰州.] | |
| [65] | Wang LL, Zhao GX, Li M, Zhang MT, Zhang LF, Zhang XF, An LZ, Xu SJ (2015) C : N : P stoichiometry and leaf traits of halophytes in an arid saline environment, Northwest China. PLoS ONE, 10, e0119935. |
| [66] | Wang N, Liu JE, Zhou ZC (2021) Research progress on the effect of biological soil crust on seed germination and seedling establishment. Acta Ecologica Sinica, 41, 7464-7474. (in Chinese with English abstract) |
| [ 王宁, 刘俊娥, 周正朝 (2021) 生物土壤结皮对种子萌发和幼苗建植的影响研究进展. 生态学报, 41, 7464-7474.] | |
| [67] | Wang SX, Zhou JJ, Li YF, Zhang N, Liu YH, Yang HT (2023) Relationship between the diversity of typical plant community and soil factors in the desert steppe of Ningxia. Journal of Lanzhou University (Natural Sciences), 59, 711-719. (in Chinese with English abstract) |
| [ 王顺霞, 周静静, 李云飞, 张娜, 刘玉宏, 杨昊天 (2023) 宁夏荒漠草原典型植物群落多样性与土壤因子关系. 兰州大学学报(自然科学版), 59, 711-719.] | |
| [68] |
Wang XM, Ge QS, Geng X, Wang ZS, Gao L, Bryan BA, Chen SQ, Su YN, Cai DW, Ye JS, Sun JM, Lu HY, Che HZ, Cheng H, Liu HY, Liu BL, Dong ZB, Cao SX, Hua T, Chen SY, Sun FB, Luo GP, Wang ZT, Hu S, Xu DY, Chen MX, Li DF, Liu F, Xu XL, Han DM, Zheng Y, Xiao FY, Li XB, Wang P, Chen FH (2023) Unintended consequences of combating desertification in China. Nature Communications, 14, 1139.
DOI PMID |
| [69] | Wang Y, Zhang LM, Chen J, Feng L, Li FB, Yu LF (2022) Study on the relationship between functional characteristics and environmental factors in karst plant communities. Ecology and Evolution, 12, e9335. |
| [70] |
Wankmüller FJP, Delval L, Lehmann P, Baur MJ, Cecere A, Wolf S, Or D, Javaux M, Carminati A (2024) Global influence of soil texture on ecosystem water limitation. Nature, 635, 631-638.
DOI |
| [71] |
Waring EF, Perkowski EA, Smith NG (2023) Soil nitrogen fertilization reduces relative leaf nitrogen allocation to photosynthesis. Journal of Experimental Botany, 74, 5166-5180.
DOI URL |
| [72] | Wen HC, Shen Y, Nie MH, Zhang P, Ma HB (2022) Characteristics of leaf-soil-microbial carbon and nitrogen and their relationships in typical communities of desert steppe. Chinese Journal of Grassland, 44(11), 9-17. (in Chinese with English abstract) |
| [ 温华晨, 沈艳, 聂明鹤, 张鹏, 马红彬 (2022) 荒漠草原典型群落植物叶片-土壤-微生物碳、氮特征及相互关系. 中国草地学报, 44(11), 9-17.] | |
| [73] |
Wright IJ, Reich PB, Westoby M, Ackerly DD, Baruch Z, Bongers F, Cavender-Bares J, Chapin T, Cornelissen JHC, Diemer M, Flexas J, Garnier E, Groom PK, Gulias J, Hikosaka K, Lamont BB, Lee T, Lee W, Lusk C, Midgley JJ, Navas ML, Niinemets Ü, Oleksyn J, Osada N, Poorter H, Poot P, Prior L, Pyankov VI, Roumet C, Thomas SC, Tjoelker MG, Veneklaas EJ, Villar R (2004) The worldwide leaf economics spectrum. Nature, 428, 821-827.
DOI |
| [74] | Wu XD, Ji B, He JL, Ren XB, Yu HQ, Wang ZJ (2021) The effects of precipitation gradient control on the leaf functional traits and soil nutrients of the dominant plants in a desert steppe. Acta Ecologica Sinica, 41, 2719-2727. (in Chinese with English abstract) |
| [ 吴旭东, 季波, 何建龙, 任小玢, 俞鸿千, 王占军 (2021) 控制降水梯度对荒漠草原优势植物叶功能性状及土壤养分的影响. 生态学报, 41, 2719-2727.] | |
| [75] |
Xie G, Wang Y, Chen ZF, Ji YY, Lu Y, Liang Y, Zhou RY, Tao J (2025) Response of plant leaf traits to environmental factors in climax communities at varying latitudes in karst regions. Plants, 14, 183.
DOI URL |
| [76] |
Xiong XS, Cai HY, Li YQ, Ma WH, Niu KC, Chen DM, Liu NN, Su XY, Jing HY, Feng XJ, Zeng H, Wang ZH (2020) Seasonal dynamics of leaf C, N and P stoichiometry in plants of typical steppe in Nei Mongol, China. Chinese Journal of Plant Ecology, 44, 1138-1153. (in Chinese with English abstract)
DOI URL |
| [ 熊星烁, 蔡宏宇, 李耀琪, 马文红, 牛克昌, 陈迪马, 刘娜娜, 苏香燕, 景鹤影, 冯晓娟, 曾辉, 王志恒 (2020) 内蒙古典型草原植物叶片碳氮磷化学计量特征的季节动态. 植物生态学报, 44, 1138-1153.] | |
| [77] | Yan F, Cong RC (2015) Study on classification progress and cataloguing system of sandy land in China. Geographical Research, 34, 455-465. (in Chinese with English abstract) |
| [ 闫峰, 丛日春 (2015) 中国沙地分类进展及编目体系. 地理研究, 34, 455-465.] | |
| [78] | Yang L, Wang MT, Chen XP, Sun J, Zhong QL, Cheng DL (2020) Relationship between leaf area and leaf biomass of different canopies in subtropical evergreen forest. Acta Ecologica Sinica, 40, 7745-7754. (in Chinese with English abstract) |
| [ 杨力, 王满堂, 陈晓萍, 孙俊, 钟全林, 程栋梁 (2020) 亚热带常绿林不同冠层小枝叶面积-叶生物量关系研究. 生态学报, 40, 7745-7754.] | |
| [79] | Yu HL, Fan JW, Zhong HP, Li YZ (2017) Characteristics of N and P stoichiometry of plants in different functional groups in the Qinghai-Tibet Plateau regions. Acta Ecologica Sinica, 37, 3755-3764. (in Chinese with English abstract) |
| [ 于海玲, 樊江文, 钟华平, 李愈哲 (2017) 青藏高原区域不同功能群植物氮磷生态化学计量学特征. 生态学报, 37, 3755-3764.] | |
| [80] | Zhang K, He MZ, Li XR, Tan HJ, Gao YH, Li G, Han GJ, Wu YY (2014) Foliar carbon, nitrogen and phosphorus stoichiometry of typical desert plants across the Alashan Desert. Acta Ecologica Sinica, 34, 6538-6547. (in Chinese with English abstract) |
| [ 张珂, 何明珠, 李新荣, 谭会娟, 高艳红, 李刚, 韩国君, 吴杨杨 (2014) 阿拉善荒漠典型植物叶片碳、氮、磷化学计量特征. 生态学报, 34, 6538-6547.] | |
| [81] |
Zhang KR, Song CH, Zhang YL, Dang HS, Cheng XL, Zhang QF (2018) Global-scale patterns of nutrient density and partitioning in forests in relation to climate. Global Change Biology, 24, 536-551.
DOI PMID |
| [82] | Zhang P, Ma JJ, Cheng JH, Li R, Shao MX, Sheng JD, Liu YH (2021) Effects of enclosure on vegetation characteristics and soil physicochemical properties of temperate grassland in the middle section of the northern slope of the Tianshan Mountains. Chinese Journal of Grassland, 43(5), 41-50. (in Chinese with English abstract) |
| [ 张攀, 马婧婧, 程军回, 李锐, 邵明轩, 盛建东, 刘耘华 (2021) 围封对天山北坡中段温性草原植被特征和土壤理化性质的影响. 中国草地学报, 43(5), 41-50.] | |
| [83] |
Zhang WJ, She WW, Qin SG, Qiao YG, Zhang YQ (2024) Effects of nitrogen and water addition on leaf nitrogen and phosphorus stoichiometry of the dominant species in an Artemisia ordosica community. Chinese Journal of Plant Ecology, 48, 590-600. (in Chinese with English abstract)
DOI URL |
|
[ 张文瑾, 佘维维, 秦树高, 乔艳桂, 张宇清 (2024) 氮和水分添加对黑沙蒿群落优势植物叶片氮磷化学计量特征的影响. 植物生态学报, 48, 590-600.]
DOI |
|
| [84] | Zhang WY, Fan JW, Zhong HP, Hu ZM, Song LL, Wang N (2010) The nitrogen: phosphorus stoichiometry of different plant functional groups for dominant species of typical steppes in China. Acta Prataculturae Sinica, 18, 503-509. (in Chinese with English abstract) |
|
[ 张文彦, 樊江文, 钟华平, 胡中民, 宋璐璐, 王宁 (2010) 中国典型草原优势植物功能群氮磷化学计量学特征研究. 草地学报, 18, 503-509.]
DOI |
|
| [85] | Zhang X, Li RX, Zheng Z, Li ZH, Gong L, Luo Y, Wu X (2023) Leaf functional traits of Tamarix ramosissima in extremely arid region and their relationship with soil physicochemical factors. Acta Ecologica Sinica, 43, 3699-3708. (in Chinese with English abstract) |
| [ 张旋, 李蕊希, 郑洲, 李泽厚, 贡璐, 罗艳, 吴雪 (2023) 极端干旱区多枝柽柳叶片功能性状及其与土壤理化因子的关系. 生态学报, 43, 3699-3708.] | |
| [86] | Zhao LC, Qin AZ, Zhao CZ, Duan KX, Wang JW, Wen J (2020) Responses of composition and functional traits of plant functional groups to different habitats in Jiayuguan Caohu Wetland. Acta Ecologica Sinica, 40, 822-833. (in Chinese with English abstract) |
| [ 赵连春, 秦爱忠, 赵成章, 段凯祥, 王继伟, 文军 (2020) 嘉峪关草湖湿地植物功能群组成及其性状对不同生境的响应. 生态学报, 40, 822-833.] | |
| [87] | Zhu JX, Zeng JQ, Dang CQ, Chen M, Tao JP (2017) Leaf litter functional traits and decomposition of woody plants at different community successional stages in Haishi Park in Chongqing. Journal of Southwest University (Natural Science Edition), 39(9), 51-58. (in Chinese with English abstract) |
| [ 祝佳杏, 曾嘉庆, 党成强, 陈淼, 陶建平 (2017) 重庆海石公园不同演替阶段群落木本植物凋落叶性状及与分解的关系. 西南大学学报(自然科学版), 39(9), 51-58.] | |
| [88] | Zhu XX, Wen ZM, Zheng C, Gao Y, Zhang GY, Wang WW, Diao XC, Wan JF (2023) Functional traits of plant life forms and their responses to environmental factors in the Yanhe River basin. Research of Soil and Water Conservation, 30, 328-336. (in Chinese with English abstract) |
| [ 朱晓旭, 温仲明, 郑诚, 高原, 张格语, 王维维, 刁晓晨, 万锦枫 (2023) 延河流域不同生活型植物功能性状特征及其对环境变化的响应. 水土保持研究, 30, 328-336.] |
| [1] | 黄骏涵, 余梵冬, 王裕祥, 黄哲, 张铭斯, 房苗, 舒璐, 徐猛, 韦慧, 汪学杰, 顾党恩, 罗思. 花地河中下游外来鱼类入侵现状及其与环境因子的关系[J]. 生物多样性, 2024, 32(11): 24249-. |
| [2] | 张多鹏, 刘洋, 李正飞, 葛奕豪, 张君倩, 谢志才. 长江上游支流赤水河流域底栖动物物种多样性与保护对策[J]. 生物多样性, 2023, 31(8): 22674-. |
| [3] | 马瑞霞, 郭屹立, 李冬兴, 王斌, 向悟生, 黄甫昭, 陆芳, 文淑均, 李健星, 陆树华, 李先琨. 桂西南喀斯特季节性雨林幼树更新的空间分布格局及机制[J]. 生物多样性, 2023, 31(2): 22251-. |
| [4] | 韩艺茹, 薛琪琪, 宋厚娟, 祁靖宇, 高瑞贺, 崔绍朋, 门丽娜, 张志伟. 燕山地区访花昆虫多样性及其影响因子[J]. 生物多样性, 2022, 30(3): 21448-. |
| [5] | 谭一波,申文辉,付孜,郑威,欧芷阳,谭长强,彭玉华,庞世龙,何琴飞,黄小荣,何峰. 环境因子对桂西南蚬木林下植被物种多样性变异的解释[J]. 生物多样性, 2019, 27(9): 970-983. |
| [6] | 齐月, 李俊生, 闫冰, 邓贞贞, 付刚. 化学除草剂对农田生态系统野生植物多样性的影响[J]. 生物多样性, 2016, 24(2): 228-236. |
| 阅读次数 | ||||||
|
全文 |
|
|||||
|
摘要 |
|
|||||
备案号:京ICP备16067583号-7
Copyright © 2026 版权所有 《生物多样性》编辑部
地址: 北京香山南辛村20号, 邮编:100093
电话: 010-62836137, 62836665 E-mail: biodiversity@ibcas.ac.cn