
Biodiv Sci ›› 2014, Vol. 22 ›› Issue (2): 117-128. DOI: 10.3724/SP.J.1003.2014.13130 cstr: 32101.14.SP.J.1003.2014.13130
• Orginal Article • Previous Articles Next Articles
Sarula Kang1, Qing Zhang1, Jianming Niu1,2,*(
), Jianjun Dong1, Wenjing Ma1, Xin Li2,3, Changming Chang1, Chenwei Shang1
Received:2013-05-28
Accepted:2013-12-20
Online:2014-03-20
Published:2014-04-03
Contact:
Niu Jianming
Sarula Kang,Qing Zhang,Jianming Niu,Jianjun Dong,Wenjing Ma,Xin Li,Changming Chang,Chenwei Shang. Effect of mining landscape history on local species diversity: a case study of the Yimin open-pit coal mine in Inner Mongolia[J]. Biodiv Sci, 2014, 22(2): 117-128.
Fig. 2 Distribution of natural vegetation area (marked in gray), reclamation vegetation area (marked in black) and non-vegetation area (marked in dark gray) in one of the study sites (marked in black triangle) on the Yimin open-pit coal mine in Inner Mongolia.
| 差异显著性检验 Notable difference test | 差异显著性 Significance | |
|---|---|---|
| 物种丰富度(单因素ANOVA) Species richness (One-Way ANOVA ) | 0.000** | |
| 功能群内丰富度(单样本t检验) Richness of functional groups (One-Sample t test) | 灌木与半灌木 Shrubs and semi-shrubs (SS) | 0.083 |
| 多年生丛生禾草 Perennial bunchgrasses (PB) | 0.035* | |
| 多年生根茎禾草 Perennial rhizome grasses (PR) | 0.003** | |
| 多年生杂类草 Perennial forbs (PF) | 0.000** | |
| 一二年生草本 Annuals and biennials (AB) | 0.046* | |
Table 1 Difference of species diversity among different sites at the Yimin open-pit coal mine in Inner Mongolia
| 差异显著性检验 Notable difference test | 差异显著性 Significance | |
|---|---|---|
| 物种丰富度(单因素ANOVA) Species richness (One-Way ANOVA ) | 0.000** | |
| 功能群内丰富度(单样本t检验) Richness of functional groups (One-Sample t test) | 灌木与半灌木 Shrubs and semi-shrubs (SS) | 0.083 |
| 多年生丛生禾草 Perennial bunchgrasses (PB) | 0.035* | |
| 多年生根茎禾草 Perennial rhizome grasses (PR) | 0.003** | |
| 多年生杂类草 Perennial forbs (PF) | 0.000** | |
| 一二年生草本 Annuals and biennials (AB) | 0.046* | |
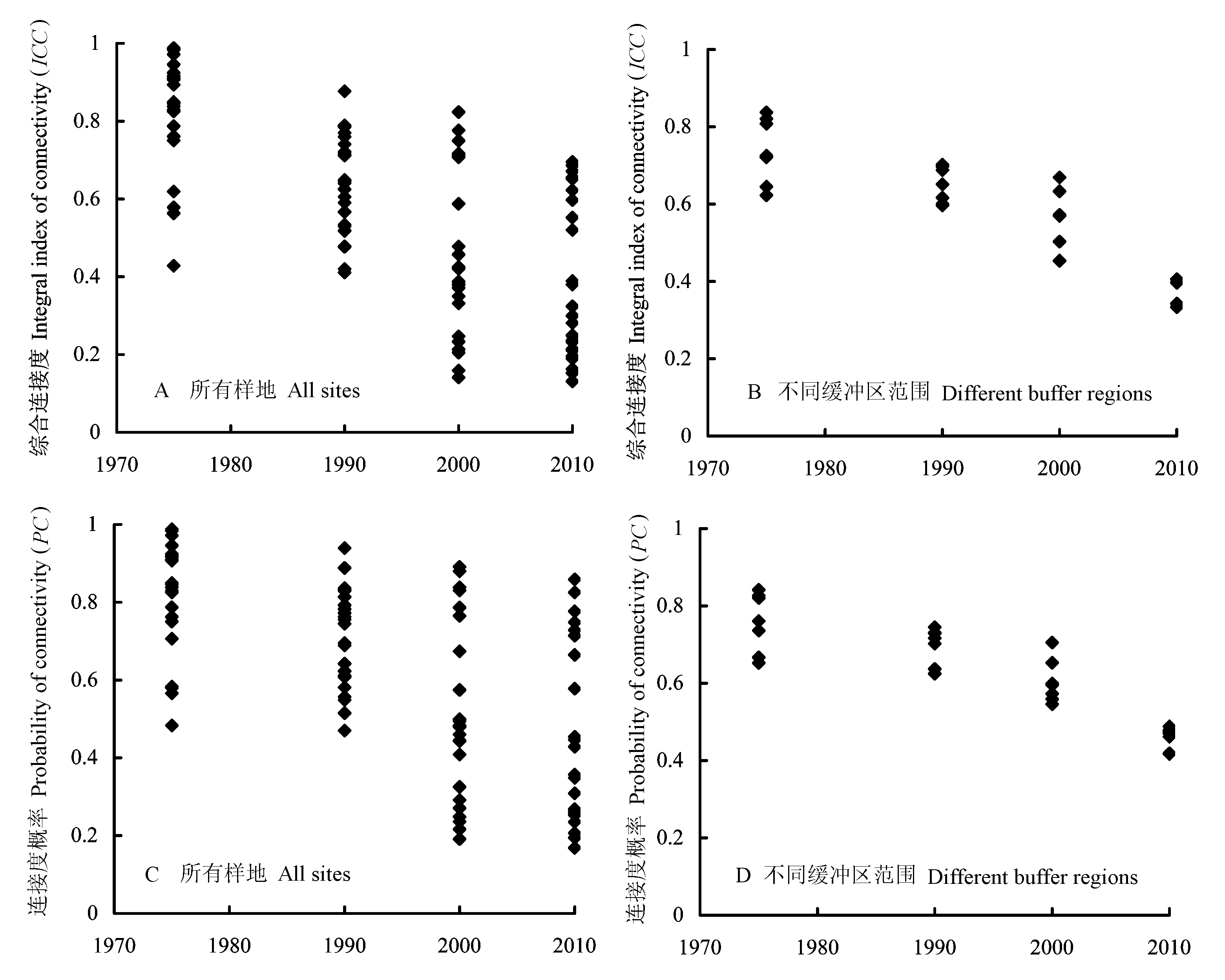
Fig. 4 Changes of integral index of connectivity (IIC) and probability of connectivity (PC) of all plots and different buffer regions at the Yimin mine in Inner Mongolia during different stages after being exploited.
Fig. 5 Correlation between diversity indices (IIC) and landscape (PC) indices at different time: SR, Species richness; SS, Shrub and semi-shrub; PB, Perennial bunchgrasses; PR, Perennial rhizome grass; PF, Perennial forbs; AB, Annuals and biennials.
Fig. 6 Coefficient of determination between diversity indices and landscape indices change with different buffers (Unit: km): dotted line with circle indicate R2 between diversity and PC; dotted line with prismatic indicate R2 between diversity and IIC; solid line with triangle indicate R2 between diversity and landscape percentage. SR, Species richness; SS, Shrub and semi-shrub; PB, Perennial bunchgrasses; PR, Perennial rhizome grass; PF, Perennial forbs; AB, Annuals and biennials.
| 景观百分率 vs. 所有物种 LP vs. all species | 景观百分率 vs. 多年生根茎禾草 LP vs. PR | 景观百分率 vs. 多年生杂草 LP vs. PF | 生境连接度 vs. 所有物种 HC vs. all species | 生境连接度 vs. 多年生根茎禾草 HC vs. PR | 生境连接度 vs. 多年生杂草 HC vs. PF | |||||||||||||||
|---|---|---|---|---|---|---|---|---|---|---|---|---|---|---|---|---|---|---|---|---|
| a | b | c | a | b | c | a | b | c | IIC | PC | IIC | PC | IIC | PC | ||||||
| 1975_1km | 0.470* | – | –0.470* | NS | – | NS | NS | – | NS | 0.472* | 0.473* | NS | NS | NS | NS | |||||
| 1975_2km | 0.512** | – | –0.512** | NS | – | NS | 0.510** | – | –0.510** | 0.481* | 0.493* | NS | NS | 0.516** | 0.518** | |||||
| 1975_3km | 0.580** | – | –0.580** | NS | – | NS | 0.519** | – | –0.519** | 0.530** | 0.555** | NS | NS | 0.520** | NS | |||||
| 1975_4km | 0.736** | – | –0.736** | NS | – | NS | NS | – | NS | 0.649* | 0.706* | NS | NS | NS | NS | |||||
| 1975_6km | NS | – | NS | NS | – | NS | NS | – | NS | NS | NS | NS | NS | NS | NS | |||||
| 1975_8km | NS | – | NS | NS | – | NS | NS | – | NS | 0.867** | 0.841** | NS | NS | NS | NS | |||||
| 1975_10km | NS | – | NS | NS | – | NS | NS | – | NS | 0.660* | 0.687* | NS | NS | NS | NS | |||||
| 1990_1km | NS | – | NS | NS | – | NS | NS | – | NS | NS | NS | NS | NS | NS | NS | |||||
| 1990_2km | NS | – | NS | NS | – | NS | 0.430* | – | –0.430* | NS | NS | NS | NS | NS | NS | |||||
| 1990_3km | 0.508** | – | –0.508** | NS | – | NS | 0.466* | – | –0.466* | 0.447* | NS | NS | NS | NS | 0.462* | |||||
| 1990_4km | 0.690** | – | –0.690** | NS | – | NS | NS | – | NS | NS | 0.638* | NS | NS | NS | NS | |||||
| 1990_6km | NS | – | NS | NS | – | NS | NS | – | NS | NS | NS | NS | NS | NS | NS | |||||
| 1990_8km | NS | – | NS | NS | – | NS | NS | – | NS | 0.854** | 0.835** | NS | NS | NS | NS | |||||
| 1990_10km | NS | – | NS | NS | – | NS | NS | – | NS | 0.651* | 0.677* | NS | NS | NS | NS | |||||
| 2000_1km | NS | NS | NS | 0.481* | NS | –0.440* | NS | NS | NS | NS | NS | 0.530** | 0.535** | NS | NS | |||||
| 2000_2km | NS | NS | NS | 0.500* | –0.450* | –0.490* | NS | NS | NS | NS | NS | 0.448* | 0.494* | NS | NS | |||||
| 2000_3km | NS | NS | NS | 0.459* | –0.503* | –.419* | NS | NS | NS | 0.445* | 0.425* | NS | 0.421* | NS | NS | |||||
| 2000_4km | NS | NS | NS | 0.524** | NS | –0.524** | NS | NS | NS | NS | NS | NS | NS | NS | NS | |||||
| 2000_6km | NS | NS | NS | NS | NS | NS | NS | NS | NS | NS | NS | NS | NS | NS | NS | |||||
| 2000_8km | NS | NS | NS | NS | NS | NS | NS | NS | NS | 0.846** | 0.824** | NS | NS | NS | NS | |||||
| 2000_10km | NS | NS | NS | NS | NS | NS | NS | NS | NS | 0.647* | 0.674* | NS | NS | NS | NS | |||||
| 2010_1km | NS | NS | NS | 0.557** | –0.477* | –0.513** | NS | NS | NS | 0.460* | 0.441* | 0.507** | 0.544** | NS | NS | |||||
| 2010_2km | NS | NS | NS | 0.560** | –0.500* | –0.490* | NS | NS | NS | 0.398* | NS | 0.426* | 0.473* | NS | NS | |||||
| 2010_3km | NS | NS | NS | 0.474* | –0.498* | –0.415* | NS | NS | NS | 0.464* | NS | NS | 0.402* | NS | NS | |||||
| 2010_4km | NS | NS | NS | 0.490* | NS | NS | NS | NS | NS | 0.644* | NS | NS | NS | NS | NS | |||||
| 2010_6km | NS | NS | NS | NS | NS | NS | NS | NS | NS | 0.699* | 0.633* | NS | NS | NS | NS | |||||
| 2010_8km | NS | NS | NS | NS | NS | NS | NS | NS | NS | 0.798** | 0.843** | NS | NS | NS | NS | |||||
| 2010_10km | NS | NS | NS | NS | NS | NS | NS | NS | NS | NS | NS | NS | NS | NS | NS | |||||
Table 2 Correlation between landscape percentage/habitat connectivity and species richness/species richness of each functional group. The functional groups of without significant correlation with landscape indices were absent in this table (e.g. SS, PB, and AB).
| 景观百分率 vs. 所有物种 LP vs. all species | 景观百分率 vs. 多年生根茎禾草 LP vs. PR | 景观百分率 vs. 多年生杂草 LP vs. PF | 生境连接度 vs. 所有物种 HC vs. all species | 生境连接度 vs. 多年生根茎禾草 HC vs. PR | 生境连接度 vs. 多年生杂草 HC vs. PF | |||||||||||||||
|---|---|---|---|---|---|---|---|---|---|---|---|---|---|---|---|---|---|---|---|---|
| a | b | c | a | b | c | a | b | c | IIC | PC | IIC | PC | IIC | PC | ||||||
| 1975_1km | 0.470* | – | –0.470* | NS | – | NS | NS | – | NS | 0.472* | 0.473* | NS | NS | NS | NS | |||||
| 1975_2km | 0.512** | – | –0.512** | NS | – | NS | 0.510** | – | –0.510** | 0.481* | 0.493* | NS | NS | 0.516** | 0.518** | |||||
| 1975_3km | 0.580** | – | –0.580** | NS | – | NS | 0.519** | – | –0.519** | 0.530** | 0.555** | NS | NS | 0.520** | NS | |||||
| 1975_4km | 0.736** | – | –0.736** | NS | – | NS | NS | – | NS | 0.649* | 0.706* | NS | NS | NS | NS | |||||
| 1975_6km | NS | – | NS | NS | – | NS | NS | – | NS | NS | NS | NS | NS | NS | NS | |||||
| 1975_8km | NS | – | NS | NS | – | NS | NS | – | NS | 0.867** | 0.841** | NS | NS | NS | NS | |||||
| 1975_10km | NS | – | NS | NS | – | NS | NS | – | NS | 0.660* | 0.687* | NS | NS | NS | NS | |||||
| 1990_1km | NS | – | NS | NS | – | NS | NS | – | NS | NS | NS | NS | NS | NS | NS | |||||
| 1990_2km | NS | – | NS | NS | – | NS | 0.430* | – | –0.430* | NS | NS | NS | NS | NS | NS | |||||
| 1990_3km | 0.508** | – | –0.508** | NS | – | NS | 0.466* | – | –0.466* | 0.447* | NS | NS | NS | NS | 0.462* | |||||
| 1990_4km | 0.690** | – | –0.690** | NS | – | NS | NS | – | NS | NS | 0.638* | NS | NS | NS | NS | |||||
| 1990_6km | NS | – | NS | NS | – | NS | NS | – | NS | NS | NS | NS | NS | NS | NS | |||||
| 1990_8km | NS | – | NS | NS | – | NS | NS | – | NS | 0.854** | 0.835** | NS | NS | NS | NS | |||||
| 1990_10km | NS | – | NS | NS | – | NS | NS | – | NS | 0.651* | 0.677* | NS | NS | NS | NS | |||||
| 2000_1km | NS | NS | NS | 0.481* | NS | –0.440* | NS | NS | NS | NS | NS | 0.530** | 0.535** | NS | NS | |||||
| 2000_2km | NS | NS | NS | 0.500* | –0.450* | –0.490* | NS | NS | NS | NS | NS | 0.448* | 0.494* | NS | NS | |||||
| 2000_3km | NS | NS | NS | 0.459* | –0.503* | –.419* | NS | NS | NS | 0.445* | 0.425* | NS | 0.421* | NS | NS | |||||
| 2000_4km | NS | NS | NS | 0.524** | NS | –0.524** | NS | NS | NS | NS | NS | NS | NS | NS | NS | |||||
| 2000_6km | NS | NS | NS | NS | NS | NS | NS | NS | NS | NS | NS | NS | NS | NS | NS | |||||
| 2000_8km | NS | NS | NS | NS | NS | NS | NS | NS | NS | 0.846** | 0.824** | NS | NS | NS | NS | |||||
| 2000_10km | NS | NS | NS | NS | NS | NS | NS | NS | NS | 0.647* | 0.674* | NS | NS | NS | NS | |||||
| 2010_1km | NS | NS | NS | 0.557** | –0.477* | –0.513** | NS | NS | NS | 0.460* | 0.441* | 0.507** | 0.544** | NS | NS | |||||
| 2010_2km | NS | NS | NS | 0.560** | –0.500* | –0.490* | NS | NS | NS | 0.398* | NS | 0.426* | 0.473* | NS | NS | |||||
| 2010_3km | NS | NS | NS | 0.474* | –0.498* | –0.415* | NS | NS | NS | 0.464* | NS | NS | 0.402* | NS | NS | |||||
| 2010_4km | NS | NS | NS | 0.490* | NS | NS | NS | NS | NS | 0.644* | NS | NS | NS | NS | NS | |||||
| 2010_6km | NS | NS | NS | NS | NS | NS | NS | NS | NS | 0.699* | 0.633* | NS | NS | NS | NS | |||||
| 2010_8km | NS | NS | NS | NS | NS | NS | NS | NS | NS | 0.798** | 0.843** | NS | NS | NS | NS | |||||
| 2010_10km | NS | NS | NS | NS | NS | NS | NS | NS | NS | NS | NS | NS | NS | NS | NS | |||||
| [1] | Bai YF, Han XG, Wu JG, Chen ZZ, Li LH (2004) Ecosystem stability and compensatory effects in the Inner Mongolia grassland. Nature, 431, 181–184. |
| [2] | Bai ZK (白中科), Duan YH (段永红), Yang HY (杨红云), Fu H (付慧), Lü CJ (吕春娟), Ma R (马锐) (2006) Forecast of influence of coal-mining subsidence on soil erosion and land use. Transactions of the Chinese Society of Agricultural Engineering(农业工程学报), 6, 67–70. (in Chinese with English abstract) |
| [3] | Baranyi G, Saura S, Podani J, Jordán F (2011) Contribution of habitat patches to network connectivity: redundancy and uniqueness of topological indices. Ecological Indicators, 11, 1301–1310. |
| [4] | Bodin Ö, Saura S (2010) Ranking individual habitat patches as connectivity providers: integrating network analysis and patch removal experiments. Ecological Modelling, 221, 2393–2405. |
| [5] | Bossuyt B, Butaye J, Honnay O (2006) Seed bank composition of open and overgrown calcareous grassland soils—a case study from Southern Belgium. Journal of Environmental Management, 79, 364–371. |
| [6] | Cadotte MW, Dinnage R, Tilman D (2012) Phylogenetic diversity promotes ecosystem stability. Ecology, 93, 223–233. |
| [7] | Casper JK (2010) Changing Ecosystems: Effects of Global Warming. An Imprint of Infobase Publishing, New York. |
| [8] | Chapin III FS, Zavaleta ES, Eviner VT, Naylor RL, Vitousek PM, Reynolds HL, Hooper DU, Lavorel S, Sala OE, Hobbie SE (2000) Consequences of changing biodiversity. Nature, 405, 234–242. |
| [9] | Chen LZ (陈灵芝), Chen WL (陈伟烈) (1995) Studies on Degraded Ecosystems in China (中国退化生态系统研究). Higher Education Press, Beijing. (in Chinese) |
| [10] | Clark JS, Silman M, Kern R, Macklin E, HilleRisLambers J (1999) Seed dispersal near and far: patterns across temperate and tropical forests. Ecology, 80, 1475–1494. |
| [11] | Cousins SAO (2009) Landscape history and soil properties affect grassland decline and plant species richness in rural landscapes. Biological Conservation, 142, 2752–2758. |
| [12] | Cousins SAO, Aggemyr E (2008) The influence of field shape, area and surrounding landscape on plant species richness in grazed ex-fields. Biological Conservation, 141, 126–135. |
| [13] | Cousins SAO, Ohlson H, Eriksson O (2007) Effects of historical and present fragmentation on plant species diversity in semi-natural grasslands in Swedish rural landscapes. Landscape Ecology, 22, 723–730. |
| [14] | Cousins SAO, Eriksson O (2002) The influence of management history and habitat on plant species richness in a rural hemiboreal landscape, Sweden. Landscape Ecology, 17, 517–529. |
| [15] | Cristofoli S, Monty A, Mahy G (2010) Historical landscape structure affects plant species richness in wet heathlands with complex landscape dynamics. Landscape and Urban Planning, 98, 92–98. |
| [16] | Diamond JM (1972) Biogeographic kinetics: estimation of relaxation times for avifaunas of southwest Pacific islands. Proceedings of the National Academy of Sciences, USA, 69, 3199–3203. |
| [17] | Domon G, Bouchard A (2007) The landscape history of Godmanchester (Quebec, Canada): two centuries of shifting relationships between anthropic and biophysical factors. Landscape Ecology, 22, 1201–1214. |
| [18] | Fang JY (方精云), Wang XP (王襄平), Tang ZY (唐志尧) (2009) Local and regional processes control species richness of plant communities: the species pool hypothesis. Biodiversity Science(生物多样性), 17, 605–612. (in Chinese with English abstract) |
| [19] | Fernández-Manso A, Quintano C, Roberts D (2012) Evaluation of potential of multiple endmember spectral mixture analysis (MESMA) for surface coal mining affected area mapping in different world forest ecosystems. Remote Sensing of Environment, 127, 181–193. |
| [20] | Fischer M, Stöcklin J (1997) Local extinctions of plants in remnants of extensively used calcareous grasslands 1950–1985. Conservation Biology, 11, 727–737. |
| [21] | Foster DR (1992) Land-use history (1730–1990) and vegetation dynamics in central New England, USA. Journal of Ecology, 80, 753–772. |
| [22] | Harrison S, Bruna E (1999) Habitat fragmentation and large-scale conservation: what do we know for sure?Ecography, 22, 225–232. |
| [23] | Harrison S, Cornell H (2008) Toward a better understanding of the regional causes of local community richness. Ecology Letters, 11, 969–979. |
| [24] | Isbell FI, Polley HW, Wilsey BJ (2009) Biodiversity, productivity and the temporal stability of productivity: patterns and processes. Ecology Letters, 12, 443–451. |
| [25] | Jentsch A, Steinbauer MJ, Alt M, Retzer V, Buhk C, Beierkuhnlein C (2012) A systematic approach to relate plant-species diversity to land use diversity across landscapes. Landscape and Urban Planning, 107, 236–244 |
| [26] | Johansson LJ, Hall K, Prentice HC, Ihse M, Reitalu T, Sykes MT, Kindström M (2008) Semi-natural grassland continuity, long-term land-use change and plant species richness in an agricultural landscape on Öland, Sweden. Landscape and Urban Planning, 84, 200–211. |
| [27] | Keymer JE, Marquet PA, Velasco-Hernández JX, Levin SA (2000) Extinction thresholds and metapopulation persistence in dynamic landscapes. The American Naturalist, 156, 478–494. |
| [28] | Koyanagi T, Kusumoto Y, Yamamoto S, Okubo S, Iwasaki N, Takeuchi K (2012) Grassland plant functional groups exhibit distinct time-lags in response to historical landscape change. Plant Ecology, 213, 327–338. |
| [29] | Koyanagi T, Kusumoto Y, Yamamoto S, Okubo S, Takeuchi K (2009) Historical impacts on linear habitats: the present distribution of grassland species in forest-edge vegetation. Biological Conservation, 142, 1674–1684. |
| [30] | Kubitzki K (1983) Dispersal and Distribution: An Interna- tional Symposium. Parey Press, Hamburg. |
| [31] | Kull K, Zobel M (1991) High species richness in an Estonian wooded meadow. Journal of Vegetation Science, 2, 715–718. |
| [32] | Kuussaari M, Bommarco R, Heikkinen RK, Helm A, Krauss J, Lindborg R, Öckinger E, Pärtel M, Pino J, Rodà F (2009) Extinction debt: a challenge for biodiversity conservation. Trends in Ecology and Evolution, 24, 564–571. |
| [33] | Li B (李博) (2000) Ecology (生态学). Higher Education Press, Beijing. (in Chinese) |
| [34] | Lindborg R (2007) Evaluating the distribution of plant life-history traits in relation to current and historical landscape configurations. Journal of Ecology, 95, 555–564. |
| [35] | Lindborg R, Eriksson O (2004) Historical landscape connectivity affects present plant species diversity. Ecology, 85, 1840–1845. |
| [36] | Maurer K, Weyand A, Fischer M, Stöcklin J (2006) Old cultural traditions, in addition to land use and topography, are shaping plant diversity of grasslands in the Alps. Biological Conservation, 130, 438–446. |
| [37] | Odland A, Birks H (1999) The altitudinal gradient of vascular plant richness in Aurland, western Norway. Ecography, 22, 548–566. |
| [38] | Ozinga WA, Bekker RM, Schaminee JH, Van Groenendael JM (2004) Dispersal potential in plant communities depends on environmental conditions. Journal of Ecology, 92, 767–777. |
| [39] | Pascual-Hortal L, Saura S (2006) Comparison and development of new graph-based landscape connectivity indices: towards the priorization of habitat patches and corridors for conservation. Landscape Ecology, 21, 959–967. |
| [40] | Pimm S, Russell G, Gittleman J, Brooks T (1995) The future of biodiversity. Science, 269, 347–350. |
| [41] | Purschke O, Sykes MT, Reitalu T, Poschlod P, Prentice HC (2012) Linking landscape history and dispersal traits in grassland plant communities. Oecologia, 168, 773–783. |
| [42] | Ricklefs RE (2012) Naturalists, natural history, and the nature of biological diversity. The American Naturalist, 179, 423. |
| [43] | Roy Chowdhury R (2006) Landscape change in the Calakmul Biosphere Reserve, Mexico: modeling the driving forces of smallholder deforestation in land parcels. Applied Geography, 26, 129–152. |
| [44] | Saura S, Estreguil C, Mouton C, Rodríguez-Freire M (2011) Network analysis to assess landscape connectivity trends: application to European forests (1990–2000). Ecological Indicators, 11, 407–416. |
| [45] | Schrott GR, With KA, King AW (2005) On the importance of landscape history for assessing extinction risk. Ecological Applications, 15, 493–506. |
| [46] | Soons M, Messelink J, Jongejans E, Heil G (2005) Habitat fragmentation reduces grassland connectivity for both short-distance and long-distance wind-dispersed forbs. Journal of Ecology, 93, 1214–1225. |
| [47] | Stinson KA, Campbell SA, Powell JR, Wolfe BE, Callaway RM, Thelen GC, Hallett SG, Prati D, Klironomos JN (2006) Invasive plant suppresses the growth of native tree seedlings by disrupting belowground mutualisms. PLoS Biology , 4, 140. |
| [48] | Tackenberg O, Poschlod P, Bonn S (2003) Assessment of wind dispersal potential in plant species. Ecological Monographs, 73, 191–205. |
| [49] | The Explorer Group of Chinese Academy of Science in Ningxia (中国科学院内蒙古宁夏综合考察队) (1985) Vegetation in Inner Mongolia (内蒙古植被). Science Press, Beijing. (in Chinese) |
| [50] | Tilman D, May RM, Lehman CL, Nowak MA (1994) Habitat destruction and the extinction debt. Nature, 371, 65–66. |
| [51] | Tischendorf L, Fahrig L (2000) On the usage and measurement of landscape connectivity. Oikos, 90, 7–19. |
| [52] | Van Dorp D, Van den Hoek W, Daleboudt C (1996) Seed dispersal capacity of six perennial grassland species measured in a wind tunnel at varying wind speed and height. Canadian Journal of Botany, 74, 1956–1963. |
| [53] | Vellend M, Verheyen K, Jacquemyn H, Kolb A, Van Calster H, Peterken G, Hermy M (2006) Extinction debt of forest plants persists for more than a century following habitat fragmentation. Ecology, 87, 542–548. |
| [54] | Williams CB (1964) Patterns in the Balance of Nature and Related Problems of Quantitative Ecology. Academic Press, New York. |
| [55] | Wilson DS (1992) Complex interactions in metacommunities, with implications for biodiversity and higher levels of selection. Ecology, 73, 1984–2000. |
| [56] | Wu JG (2013) Key concepts and research topics in landscape ecology revisited: 30 years after the Allerton Park workshop. Landscape Ecology, 28, 1–11. |
| [57] | Yang C (杨持) (2008) Ecology (生态学), 2nd edn. Higher Education Press, Beijing. (in Chinese) |
| [58] | Zhou YL (周云龙) (2004) Plant Biology (植物生物学). Higher Education Press, Beijing. (in Chinese) |
| [59] | Zobel M, Maarel E, Dupré C (1998) Species pool: the concept, its determination and significance for community restoration. Applied Vegetation Science, 1, 55–66. |
| [1] | Wei Liu, Ruge Wang, Tianqiao Fan, Nayiman Abudulijiang, Xinhang Song, Shuping Xiao, Ning Guo, Lingying Shuai. Habitat suitability for the Aviceda leuphotes in Mingxi County, Fujian Province [J]. Biodiv Sci, 2023, 31(7): 22660-. |
| [2] | Chang Deng, Jiewei Hao, De Gao, Mingxun Ren, Lina Zhang. Identification and protection of suitable habitat hotspots for threatened bryophytes in Hainan [J]. Biodiv Sci, 2023, 31(4): 22580-. |
| [3] | Lingxiao Ying, Ye Liu, Shaotian Chen, Zehao Shen. Simulation of the potential range of Pistacia weinmannifolia in Southwest China with climate change based on the maximum-entropy (Maxent) model [J]. Biodiv Sci, 2016, 24(4): 453-461. |
| Viewed | ||||||
|
Full text |
|
|||||
|
Abstract |
|
|||||
Copyright © 2026 Biodiversity Science
Editorial Office of Biodiversity Science, 20 Nanxincun, Xiangshan, Beijing 100093, China
Tel: 010-62836137, 62836665 E-mail: biodiversity@ibcas.ac.cn