
Biodiv Sci ›› 2025, Vol. 33 ›› Issue (8): 25134. DOI: 10.17520/biods.2025134 cstr: 32101.14.biods.2025134
• Original Papers: Plant Diversity • Previous Articles Next Articles
Shining Cao1, Bohang Yu1, Jingwen Li1, Yiming Feng2, Qi Lu2, Jianming Wang1,*(
)
Received:2025-04-09
Accepted:2025-06-19
Online:2025-08-20
Published:2025-09-17
Contact:
*E-mail: wangjm1990@bjfu.edu.cn
Supported by:Shining Cao, Bohang Yu, Jingwen Li, Yiming Feng, Qi Lu, Jianming Wang. Distribution patterns and drivers of plant taxonomic, functional, and phylogenetic β-diversity in the black gobi desert region of China[J]. Biodiv Sci, 2025, 33(8): 25134.
| 功能性状 Functional trait | Blomberg’s K | P |
|---|---|---|
| 叶片氮含量 Leaf nitrogen content (LNC) | 0.04 | 0.07 |
| 叶片磷含量 Leaf phosphorus content (LPC) | 0.03 | 0.32 |
| 比叶面积 Specific leaf area (SLA) | 0.02 | 0.66 |
| 细根氮含量 Fine root nitrogen content (RNC) | 0.03 | 0.32 |
| 细根磷含量 Fine root phosphorus content (RPC) | 0.03 | 0.22 |
| 细根比根长 Specific root length (SRL) | 0.02 | 0.65 |
Table 1 Phylogenetic signal of functional traits in the black gobi desert region of China
| 功能性状 Functional trait | Blomberg’s K | P |
|---|---|---|
| 叶片氮含量 Leaf nitrogen content (LNC) | 0.04 | 0.07 |
| 叶片磷含量 Leaf phosphorus content (LPC) | 0.03 | 0.32 |
| 比叶面积 Specific leaf area (SLA) | 0.02 | 0.66 |
| 细根氮含量 Fine root nitrogen content (RNC) | 0.03 | 0.32 |
| 细根磷含量 Fine root phosphorus content (RPC) | 0.03 | 0.22 |
| 细根比根长 Specific root length (SRL) | 0.02 | 0.65 |
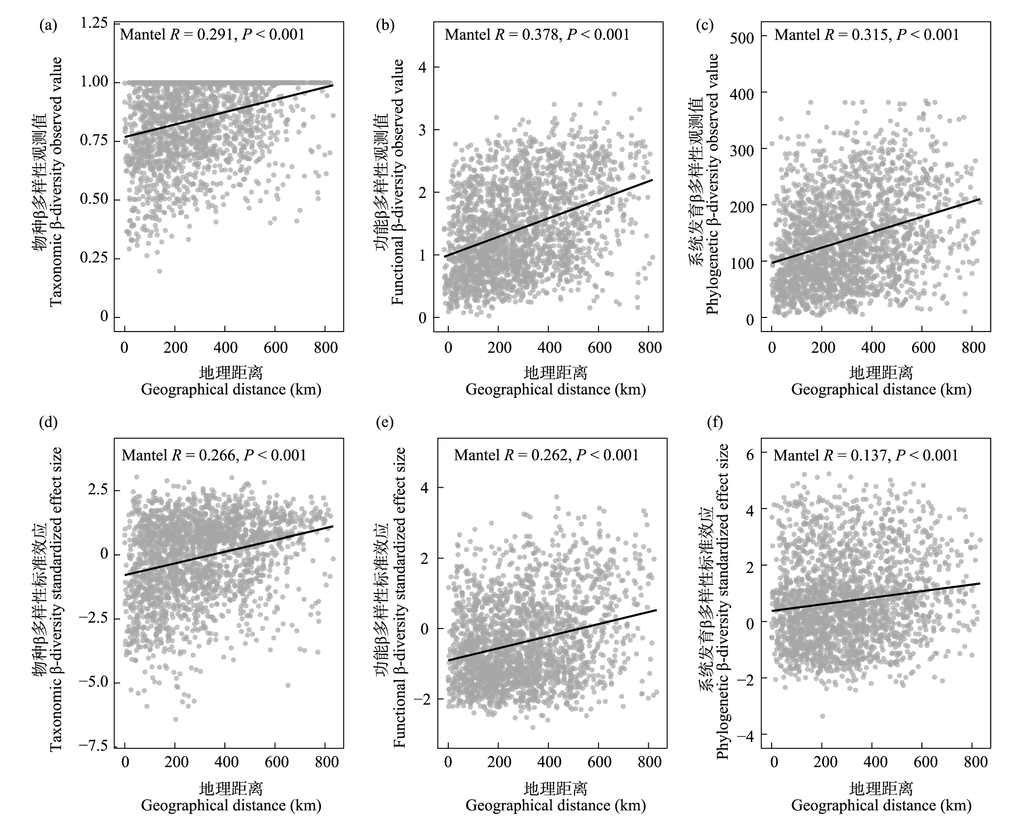
Fig. 2 Variation in plant taxonomic, functional (mean nearest neighbor trait distance), and phylogenetic (mean nearest neighbor phylogenetic distance) β-diversity observed values (a-c) and their standardized effect sizes (d-f) along geographical distance in the black gobi desert region of China
Fig. 3 Correlation between functional and phylogenetic β-diversity (mean pairwise trait distance and mean pairwise phylogenetic distance) in plant communities in the black gobi desert region of China. (a) Observed value; (b) Standardized effect size.
| 环境差异 Environmental difference | 观测值 Observed value (OV) | 标准效应 Standard effect size (SES) | ||||
|---|---|---|---|---|---|---|
| 物种β多样性 Taxonomic β-diversity | 功能β多样性 Functional β-diversity | 系统发育β多样性 Phylogenetic β-diversity | 物种β多样性 Taxonomic β-diversity | 功能β多样性 Functional β-diversity | 系统发育β多样性 Phylogenetic β-diversity | |
| 土壤含水量 Soil moisture content | 0.328 P = 0.001 | 0.452 P = 0.001 | 0.248 P = 0.001 | 0.375 P = 0.001 | 0.425 P = 0.001 | 0.112 P = 0.039 |
| 土壤有机碳含量 Soil organic carbon content | 0.351 P = 0.001 | 0.439 P = 0.001 | 0.198 P = 0.004 | 0.418 P = 0.001 | 0.409 P = 0.001 | 0.07 P = 0.115 |
| 土壤全氮含量 Soil total nitrogen content | 0.388 P = 0.001 | 0.474 P = 0.001 | 0.209 P = 0.003 | 0.453 P = 0.001 | 0.417 P = 0.001 | 0.059 P = 0.161 |
| 土壤全磷含量 Soil total phosphorus content | 0.333 P = 0.001 | 0.42 P = 0.001 | 0.121 P = 0.018 | 0.408 P = 0.001 | 0.392 P = 0.001 | -0.013 P = 0.566 |
| 土壤pH值 Soil pH | 0.148 P = 0.006 | 0.195 P = 0.011 | 0.18 P = 0.002 | 0.099 P = 0.064 | 0.13 P = 0.047 | 0.094 P = 0.057 |
| 年均温 Mean annual temperature | 0.294 P = 0.001 | 0.415 P = 0.001 | 0.239 P = 0.001 | 0.281 P = 0.001 | 0.385 P = 0.001 | 0.122 P = 0.01 |
| 年降水量 Mean annual precipitation | 0.438 P = 0.001 | 0.593 P = 0.001 | 0.277 P = 0.001 | 0.505 P = 0.001 | 0.557 P = 0.001 | 0.106 P = 0.034 |
| 温度季节性 Temperature seasonality | 0.077 P = 0.054 | 0.061 P = 0.135 | 0.027 P = 0.274 | 0.024 P = 0.301 | 0.019 P = 0.362 | -0.010 P = 0.572 |
| 降水季节性 Precipitation seasonality | 0.248 P = 0.001 | 0.275 P = 0.001 | 0.168 P = 0.001 | 0.249 P = 0.001 | 0.172 P = 0.001 | -0.002 P = 0.522 |
| 最冷月最低温 Minimum temperature of coldest month | 0.281 P = 0.001 | 0.374 P = 0.001 | 0.291 P = 0.001 | 0.29 P = 0.001 | 0.317 P = 0.001 | 0.185 P = 0.002 |
| 最干月降水量 Precipitation of driest month | 0.292 P = 0.001 | 0.439 P = 0.001 | 0.264 P = 0.001 | 0.302 P = 0.001 | 0.381 P = 0.001 | 0.113 P = 0.004 |
| 太阳辐射强度 Solar radiation | 0.389 P = 0.001 | 0.553 P = 0.001 | 0.319 P = 0.001 | 0.412 P = 0.001 | 0.502 P = 0.001 | 0.146 P = 0.005 |
Table 2 Mantel tests examining the relationships of plant taxonomic, functional (mean nearest neighbor trait distance), and phylogenetic (mean nearest neighbor phylogenetic distance) β-diversity (both observed values and standard effect size) with different environmental factors in the black gobi desert region of China
| 环境差异 Environmental difference | 观测值 Observed value (OV) | 标准效应 Standard effect size (SES) | ||||
|---|---|---|---|---|---|---|
| 物种β多样性 Taxonomic β-diversity | 功能β多样性 Functional β-diversity | 系统发育β多样性 Phylogenetic β-diversity | 物种β多样性 Taxonomic β-diversity | 功能β多样性 Functional β-diversity | 系统发育β多样性 Phylogenetic β-diversity | |
| 土壤含水量 Soil moisture content | 0.328 P = 0.001 | 0.452 P = 0.001 | 0.248 P = 0.001 | 0.375 P = 0.001 | 0.425 P = 0.001 | 0.112 P = 0.039 |
| 土壤有机碳含量 Soil organic carbon content | 0.351 P = 0.001 | 0.439 P = 0.001 | 0.198 P = 0.004 | 0.418 P = 0.001 | 0.409 P = 0.001 | 0.07 P = 0.115 |
| 土壤全氮含量 Soil total nitrogen content | 0.388 P = 0.001 | 0.474 P = 0.001 | 0.209 P = 0.003 | 0.453 P = 0.001 | 0.417 P = 0.001 | 0.059 P = 0.161 |
| 土壤全磷含量 Soil total phosphorus content | 0.333 P = 0.001 | 0.42 P = 0.001 | 0.121 P = 0.018 | 0.408 P = 0.001 | 0.392 P = 0.001 | -0.013 P = 0.566 |
| 土壤pH值 Soil pH | 0.148 P = 0.006 | 0.195 P = 0.011 | 0.18 P = 0.002 | 0.099 P = 0.064 | 0.13 P = 0.047 | 0.094 P = 0.057 |
| 年均温 Mean annual temperature | 0.294 P = 0.001 | 0.415 P = 0.001 | 0.239 P = 0.001 | 0.281 P = 0.001 | 0.385 P = 0.001 | 0.122 P = 0.01 |
| 年降水量 Mean annual precipitation | 0.438 P = 0.001 | 0.593 P = 0.001 | 0.277 P = 0.001 | 0.505 P = 0.001 | 0.557 P = 0.001 | 0.106 P = 0.034 |
| 温度季节性 Temperature seasonality | 0.077 P = 0.054 | 0.061 P = 0.135 | 0.027 P = 0.274 | 0.024 P = 0.301 | 0.019 P = 0.362 | -0.010 P = 0.572 |
| 降水季节性 Precipitation seasonality | 0.248 P = 0.001 | 0.275 P = 0.001 | 0.168 P = 0.001 | 0.249 P = 0.001 | 0.172 P = 0.001 | -0.002 P = 0.522 |
| 最冷月最低温 Minimum temperature of coldest month | 0.281 P = 0.001 | 0.374 P = 0.001 | 0.291 P = 0.001 | 0.29 P = 0.001 | 0.317 P = 0.001 | 0.185 P = 0.002 |
| 最干月降水量 Precipitation of driest month | 0.292 P = 0.001 | 0.439 P = 0.001 | 0.264 P = 0.001 | 0.302 P = 0.001 | 0.381 P = 0.001 | 0.113 P = 0.004 |
| 太阳辐射强度 Solar radiation | 0.389 P = 0.001 | 0.553 P = 0.001 | 0.319 P = 0.001 | 0.412 P = 0.001 | 0.502 P = 0.001 | 0.146 P = 0.005 |
Fig. 4 Comparison of standard effects and null values for species (a), functional, and phylogenetic (b-c) β-diversity of plant communities in the black gobi desert region of China. (b) Mean nearest neighbor trait distance and mean nearest neighbor phylogenetic distance; (c) Mean pairwise trait distance and mean pairwise phylogenetic distance. NS, P > 0.05; *** P < 0.001.
Fig. 5 Comparison of the standardized effect size and null value of β-diversity of individual functional traits in plant communities in the black gobi desert region of China. (a) Mean nearest neighbor trait distance; (b) Mean pairwise trait distance. LNC, Leaf nitrogen concentration; LPC, Leaf phosphorus concentration; SLA, Specific leaf area; RNC, Fine root nitrogen concentration; RPC, Fine root phosphorus concentration; SRL, Specific root length; NS, P > 0.05; ** P < 0.01; ***, P < 0.001.
Fig. 6 Explanation of the observed values (a) and standard effect size (b) of taxonomic, functional (average nearest neighbor trait distance), and phylogenetic (average nearest neighbor phylogenetic distance) β-diversity in plant community due to geographical distance, soil differences, and climate differences in the black gobi desert region of China
| [1] |
Anderson MJ, Crist TO, Chase JM, Vellend M, Inouye BD, Freestone AL, Sanders NJ, Cornell HV, Comita LS, Davies KF, Harrison SP, Kraft NJB, Stegen JC, Swenson NG (2011) Navigating the multiple meanings of β diversity: A roadmap for the practicing ecologist. Ecology Letters, 14, 19-28.
DOI PMID |
| [2] | Arekhi S, Heydari M, Pourbabaei H (2010) Vegetation- environmental relationships and ecological species groups of the Ilam oak forest landscape, Iran. Caspian Journal of Environmental Sciences, 8, 115-125. |
| [3] |
Baldocchi DD, Xu LK (2007) What limits evaporation from Mediterranean oak woodlands—The supply of moisture in the soil, physiological control by plants or the demand by the atmosphere? Advances in Water Resources, 30, 2113-2122.
DOI URL |
| [4] |
Baselga A, Orme CDL (2012) Betapart: An R package for the study of beta diversity. Methods in Ecology and Evolution, 3, 808-812.
DOI URL |
| [5] |
Blanchard G, Munoz F, Ibanez T, Hequet V, Vandrot H, Girardi J, Birnbaum P (2019) Regional rainfall and local topography jointly drive tree community assembly in lowland tropical forests of New Caledonia. Journal of Vegetation Science, 30, 845-856.
DOI |
| [6] |
Blomberg SP, Garland T Jr, Ives AR (2003) Testing for phylogenetic signal in comparative data: Behavioral traits are more labile. Evolution, 57, 717-745.
DOI PMID |
| [7] |
Cadotte MW, Albert CH, Walker SC (2013) The ecology of differences: Assessing community assembly with trait and evolutionary distances. Ecology Letters, 16, 1234-1244.
DOI PMID |
| [8] |
Cadotte MW, Carboni M, Si XF, Tatsumi S (2019) Do traits and phylogeny support congruent community diversity patterns and assembly inferences? Journal of Ecology, 107, 2065-2077.
DOI |
| [9] | Chen C, Wang Y, Wang JM, Yang H, Wang YC, Xu C, Li JW, Chu JM (2020) Species diversity of plant communities and its main influencing factors in Horqin Sandy Land, Inner Mongolia of northern China. Journal of Beijing Forestry University, 42(5), 106-114. (in Chinese with English abstract) |
| [陈晨, 王寅, 王健铭, 杨欢, 王雨辰, 徐超, 李景文, 褚建民 (2020) 科尔沁沙地植物群落物种多样性及其主要影响因素. 北京林业大学学报, 42(5), 106-114.] | |
| [10] | Chen GQ, Qiang S (2011) Human activities are the principle cause of biotic homogenization. Acta Ecologica Sinica, 31, 4107-4116. (in Chinese with English abstract) |
| [陈国奇, 强胜 (2011) 人类活动是导致生物均质化的主要因素. 生态学报, 31, 4107-4116.] | |
| [11] |
Chen L, Sela S, Svoray T, Assouline S (2013) The role of soil-surface sealing, microtopography, and vegetation patches in rainfall-runoff processes in semiarid areas. Water Resources Research, 49, 5585-5599.
DOI URL |
| [12] |
Chen SB, Ouyang ZY, Xu WH, Xiao Y (2010) A review of beta diversity studies. Biodiversity Science, 18, 323-335. (in Chinese with English abstract)
DOI |
|
[陈圣宾, 欧阳志云, 徐卫华, 肖燚 (2010) Beta多样性研究进展. 生物多样性, 18, 323-335.]
DOI |
|
| [13] | Chen Y, Yuan ZL, Li PK, Cao RF, Jia HR, Ye YZ (2016) Effects of environment and space on species turnover of woody plants across multiple forest dynamic plots in East Asia. Frontiers in Plant Science, 7, e0126594. |
| [14] |
Chi XL, Tang ZY, Fang JY (2014) Patterns of phylogenetic beta diversity in China’s grasslands in relation to geographical and environmental distance. Basic and Applied Ecology, 15, 416-425.
DOI URL |
| [15] |
Christin PA, Osborne CP (2014) The evolutionary ecology of C4 plants. New Phytologist, 204, 765-781.
DOI URL |
| [16] |
De Bello F, Lavergne S, Meynard CN, Lepš J, Thuiller W (2010) The partitioning of diversity: Showing Theseus a way out of the labyrinth. Journal of Vegetation Science, 21, 992-1000.
DOI URL |
| [17] |
De Bello F, Šmilauer P, Diniz-Filho JAF, Carmona CP, Lososová Z, Herben T, Götzenberger L (2017) Decoupling phylogenetic and functional diversity to reveal hidden signals in community assembly. Methods in Ecology and Evolution, 8, 1200-1211.
DOI URL |
| [18] |
Fang JY, Wang XP, Shen ZH, Tang ZY, He JS, Yu D, Jiang Y, Wang ZH, Zheng CY, Zhu JL, Guo ZD (2009) Methods and protocols for plant community inventory. Biodiversity Science, 17, 533-548. (in Chinese with English abstract)
DOI |
|
[方精云, 王襄平, 沈泽昊, 唐志尧, 贺金生, 于丹, 江源, 王志恒, 郑成洋, 朱江玲, 郭兆迪 (2009) 植物群落清查的主要内容、方法和技术规范. 生物多样性, 17, 533-548.]
DOI |
|
| [19] | Fang S, Yuan ZQ, Lin F, Ye J, Hao ZQ, Wang XG (2014) Functional and phylogenetic structures of woody plants in broad-leaved Korean pine mixed forest in Changbai Mountains, Jilin, China. Chinese Science Bulletin, 59, 2342-2348. (in Chinese with English abstract) |
| [房帅, 原作强, 蔺菲, 叶吉, 郝占庆, 王绪高 (2014) 长白山阔叶红松林木本植物系统发育与功能性状结构. 科学通报, 59, 2342-2348.] | |
| [20] | Freschet GT, Pagès L, Iversen CM, Comas LH, Rewald B, Roumet C, Klimešová J, Zadworny M, Poorter H, Postma JA, Adams TS, Bagniewska-Zadworna A, Bengough AG, Blancaflor EB, Brunner I, Cornelissen JHC, Garnier E, Gessler A, Hobbie SE, Meier IC, Mommer L, Picon-Cochard C, Rose L, Ryser P, Scherer-Lorenzen M, Soudzilovskaia NA, Stokes A, Sun T, Valverde-Barrantes OJ, Weemstra M, Weigelt A, Wurzburger N, York LM, Batterman SA, Gomes de Moraes M, Janeček Š, Lambers H, Salmon V, Tharayil N, McCormack ML (2021) A starting guide to root ecology: Strengthening ecological concepts and standardising root classification, sampling, processing and trait measurements. New Phytologist, 232, 973-1122. |
| [21] |
Gaston KJ (2000) Global patterns in biodiversity. Nature, 405, 220-227.
DOI |
| [22] | Gilbert B, Lechowicz MJ (2004) Neutrality, niches, and dispersal in a temperate forest understory. Proceedings of the National Academy of Sciences, USA, 101, 7651-7656. |
| [23] | Hähn GJA, Damasceno G, Alvarez-Davila E, Aubin I, Bauters M, Bergmeier E, Biurrun I, Bjorkman AD, Bonari G, Botta-Dukát Z, Campos JA, Čarni A, Chytrý M, Ćušterevska R, de Gasper AL, de Sanctis M, Dengler J, Dolezal J, El-Sheikh MA, Finckh M, Galán-de-Mera A, Garbolino E, Gholizadeh H, Golub V, Haider S, Hatim MZ, Hérault B, Homeier J, Jandt U, Jansen F, Jentsch A, Kattge J, Kessler M, Khanina L, Kreft H, Küzmič F, Lenoir J, Moeslund JE, Mucina L, Naqinezhad A, Noroozi J, Pérez-Haase A, Phillips OL, Pillar VD, Rivas-Torres G, Ruprecht E, Sandel B, Schmidt M, Schmiedel U, Schnitzer S, Schrodt F, Šilc U, Sparrow B, Sporbert M, Stančić Z, Strohbach B, Svenning JC, Tang CQ, Tang ZY, Vibrans AC, Violle C, Waller D, Wana D, Wang HF, Whitfeld T, Zizka G, Sabatini FM, Bruelheide H (2025) Global decoupling of functional and phylogenetic diversity in plant communities. Nature Ecology & Evolution, 9, 237-248. |
| [24] |
He LJ, Yang WJ, Shi YH, Ashuo KZM, Fan Y, Wang GY, Li JJ, Shi SL, Yi GH, Peng PH (2024) Effects of plant community phylogeny and functional diversity on Ageratina adenophora invasion under fire disturbance. Biodiversity Science, 32, 24269. (in Chinese with English abstract)
DOI URL |
|
[何林君, 杨文静, 石宇豪, 阿说克者莫, 范钰, 王国严, 李景吉, 石松林, 易桂花, 彭培好 (2024) 火烧干扰下植物群落系统发育和功能多样性对紫茎泽兰入侵的影响. 生物多样性, 32, 24269.]
DOI |
|
| [25] |
Hubbell SP (2006) Neutral theory and the evolution of ecological equivalence. Ecology, 87, 1387-1398.
DOI PMID |
| [26] | Jiang LM, Lv GH, Gong YM, Li Y, Wang HF, Wu DY (2021) Characteristics and driving mechanisms of species beta diversity in desert plant communities. PLoS ONE, 16, e0245249. |
| [27] |
Jin Y, Qian H (2019) V.PhyloMaker: An R package that can generate very large phylogenies for vascular plants. Ecography, 42, 1353-1359.
DOI |
| [28] |
Kraft NJB, Adler PB, Godoy O, James EC, Fuller S, Levine JM (2015) Community assembly, coexistence and the environmental filtering metaphor. Functional Ecology, 29, 592-599.
DOI URL |
| [29] |
Lai JS, Zou Y, Zhang JL, Peres-Neto PR (2022a) Generalizing hierarchical and variation partitioning in multiple regression and canonical analyses using the rdacca.hp R package. Methods in Ecology and Evolution, 13, 782-788.
DOI URL |
| [30] |
Lai JS, Zou Y, Zhang S, Zhang XG, Mao LF (2022b) glmm.hp: An R package for computing individual effect of predictors in generalized linear mixed models. Journal of Plant Ecology, 15, 1302-1307.
DOI URL |
| [31] |
Legendre P, Mi XC, Ren HB, Ma KP, Yu MJ, Sun IF, He FL (2009) Partitioning beta diversity in a subtropical broad-leaved forest of China. Ecology, 90, 663-674.
DOI PMID |
| [32] |
Lewandowska AM, Breithaupt P, Hillebrand H, Hoppe HG, Jürgens K, Sommer U (2012) Responses of primary productivity to increased temperature and phytoplankton diversity. Journal of Sea Research, 72, 87-93.
DOI URL |
| [33] | Li FS, Yan YZ, Zhang JN, Zhang Q, Niu JM (2021) Taxonomic, functional, and phylogenetic beta diversity in the Inner Mongolia grassland. Global Ecology and Conservation, 28, e01634. |
| [34] |
Li XH, Liu YH, Liu Y, Xu Y, Yang Y, Shen ZH (2016) Impacts of geographical distances and environmental differences on the beta diversity of plant communities in the dry-hot valley of the Yuanjiang River. Biodiversity Science, 24, 399-406. (in Chinese with English abstract)
DOI |
|
[李新辉, 刘延虹, 刘晔, 许玥, 杨阳, 沈泽昊 (2016) 地理距离及环境差异对云南元江干热河谷植物群落beta多样性的影响. 生物多样性, 24, 399-406.]
DOI |
|
| [35] | Li XR, Tan HJ, He MZ, Wang XP, Li XJ (2009) Response of shrub species richness and abundance patterns to changes in environmental factors in Alxa Plateau: A precondition for shrub diversity conservation in extreme arid desert region. Science in China D: Earth Sciences, 39, 504-515. (in Chinese) |
| [李新荣, 谭会娟, 何明珠, 王新平, 李小军 (2009) 阿拉善高原灌木种的丰富度和多度格局对环境因子变化的响应: 极端干旱荒漠地区灌木多样性保育的前提. 中国科学(D辑: 地球科学), 39, 504-515.] | |
| [36] |
Liu QF, Liu Y, Sun XL, Zhang XF, Kang S, Ding Y, Zhang Q, Niu JM (2015) The explanation of climatic hypotheses to community species diversity patterns in Inner Mongolia grasslands. Biodiversity Science, 23, 463-470. (in Chinese with English abstract)
DOI |
|
[刘庆福, 刘洋, 孙小丽, 张雪峰, 康萨如拉, 丁勇, 张庆, 牛建明 (2015) 气候假说对内蒙古草原群落物种多样性格局的解释. 生物多样性, 23, 463-470.]
DOI |
|
| [37] |
Matthews TJ, Whittaker RJ (2014) Neutral theory and the species abundance distribution: recent developments and prospects for unifying niche and neutral perspectives. Ecology and Evolution, 4, 2263-2277.
DOI PMID |
| [38] |
Myers JA, Chase JM, Jiménez I, Jørgensen PM, Araujo-Murakami A, Paniagua-Zambrana N, Seidel R (2013) Beta-diversity in temperate and tropical forests reflects dissimilar mechanisms of community assembly. Ecology Letters, 16, 151-157.
DOI PMID |
| [39] |
Niu KC, Liu YN, Shen ZH, He FL, Fang JY (2009) Community assembly: The relative importance of neutral theory and niche theory. Biodiversity Science, 17, 579-593. (in Chinese with English abstract)
DOI |
|
[牛克昌, 刘怿宁, 沈泽昊, 何芳良, 方精云 (2009) 群落构建的中性理论和生态位理论. 生物多样性, 17, 579-593.]
DOI |
|
| [40] |
Page NV, Shanker K (2018) Environment and dispersal influence changes in species composition at different scales in woody plants of the Western Ghats, India. Journal of Vegetation Science, 29, 74-83.
DOI URL |
| [41] |
Pérez-Harguindeguy N, Díaz S, Garnier E, Lavorel S, Poorter H, Jaureguiberry P, Bret-Harte MS, Cornwell WK, Craine JM, Gurvich DE, Urcelay C, Veneklaas EJ, Reich PB, Poorter L, Wright IJ, Ray P, Enrico L, Pausas JG, de Vos AC, Buchmann N, Funes G, Quétier F, Hodgson JG, Thompson K, Morgan HD, ter Steege H, Sack L, Blonder B, Poschlod P, Vaieretti MV, Conti G, Staver AC, Aquino S, Cornelissen JHC (2013) New handbook for standardised measurement of plant functional traits worldwide. Australian Journal of Botany, 61, 167-234.
DOI URL |
| [42] |
Purschke O, Schmid BC, Sykes MT, Poschlod P, Michalski SG, Durka W, Kühn I, Winter M, Prentice HC (2013) Contrasting changes in taxonomic, phylogenetic and functional diversity during a long-term succession: Insights into assembly processes. Journal of Ecology, 101, 857-866.
DOI URL |
| [43] |
Qu MJ, Ababaike N, Zou XG, Zhao H, Zhu WL, Wang JM, Li JW (2022) Influence of geographic distance and environmental factors on beta diversity of plants in the Alxa gobi region in northern China. Biodiversity Science, 30, 22029. (in Chinese with English abstract)
DOI |
|
[曲梦君, 努尔依拉·阿巴拜克, 邹旭阁, 赵航, 朱威霖, 王健铭, 李景文 (2022) 地理距离和环境因子对阿拉善戈壁植物群落β多样性的影响. 生物多样性, 30, 22029.]
DOI |
|
| [44] | Rees M, Fayolle A, Godlee JL, Gorel AP, Harris DJ, Dexter KG (2025) Patterns and drivers of phylogenetic beta diversity in the forests and savannas of Africa. Journal of Biogeography, 52, e15140. |
| [45] | Shayiti A, Zhang K, Wang Y (2020) Evolution of solar ultraviolet radiation on dark gobi, Eastern Xinjiang. Desert and Oasis Meteorology, 14(5), 122-129. (in Chinese with English abstract) |
| [阿吉古丽·沙依提, 张坤, 王豫 (2020) 东疆黑戈壁太阳紫外辐射变化特征. 沙漠与绿洲气象, 14(5), 122-129.] | |
| [46] |
Shi Y, Su C, Wang M, Liu X, Liang C, Zhao L, Zhang X, Minggagud H, Feng G, Ma W (2020) Modern climate and soil properties explain functional structure better than phylogenetic structure of plant communities in northern China. Frontiers in Ecology and Evolution, 8, 531947.
DOI URL |
| [47] |
Steinitz O, Heller J, Tsoar A, Rotem D, Kadmon R (2006) Environment, dispersal and patterns of species similarity. Journal of Biogeography, 33, 1044-1054.
DOI URL |
| [48] |
Svenning JC, Fløjgaard C, Baselga A (2011) Climate, history and neutrality as drivers of mammal beta diversity in Europe: Insights from multiscale deconstruction. Journal of Animal Ecology, 80, 393-402.
DOI URL |
| [49] |
Swenson NG, Enquist BJ (2009) Opposing assembly mechanisms in a Neotropical dry forest: Implications for phylogenetic and functional community ecology. Ecology, 90, 2161-2170.
PMID |
| [50] | Swenson NG, Erickson DL, Mi XC, Bourg NA, Forero-Montaña J, Ge XJ, Howe R, Lake JK, Liu XJ, Ma KP, Pei NC, Thompson J, Uriarte M, Wolf A, Wright SJ, Ye WH, Zhang JL, Zimmerman JK, Kress WJ (2012) Phylogenetic and functional alpha and beta diversity in temperate and tropical tree communities. Ecology, 93, S112-S125. |
| [51] | The Chinese Black Gobi Ecological Background Scientific Expedition Team (2014) Research on the Black Gobi Desert in China. Science Press, Beijing. (in Chinese) |
| [中国黑戈壁地区生态本底科学考察队 (2014) 中国黑戈壁研究. 科学出版社, 北京.] | |
| [52] |
Tuomisto H (2010a) A diversity of beta diversities: Straightening up a concept gone awry. Part 1. Defining beta diversity as a function of alpha and gamma diversity. Ecography, 33, 2-22.
DOI URL |
| [53] |
Tuomisto H (2010b) A diversity of beta diversities: Straightening up a concept gone awry. Part 2. Quantifying beta diversity and related phenomena. Ecography, 33, 23-45.
DOI URL |
| [54] |
Večeřa M, Axmanová I, Chytrý M, Divíšek J, Ndiribe C, Velasco Mones G, Čeplová N, Aćić S, Bahn M, Bergamini A, Boenisch G, Biurrun I, Bruun HH, Byun C, Catford JA, Cerabolini BEL, Cornelissen JHC, Dengler J, Jansen F, Jansen S, Kattge J, Kozub Ł, Kuzemko A, Minden V, Mitchell RM, Moeslund JE, Mori AS, Niinemets Ü, Ruprecht E, Rūsiņa S, Šilc U, Soudzilovskaia NA, van Bodegom PM, Vassilev K, Weiher E, Wright IJ, Lososová Z (2023) Decoupled phylogenetic and functional diversity in European grasslands. Preslia, 95, 413-445.
DOI URL |
| [55] |
Villegas JC, Breshears DD, Zou CB, Royer PD (2010) Seasonally pulsed heterogeneity in microclimate: Phenology and cover effects along deciduous grassland-forest continuum. Vadose Zone Journal, 9, 537-547.
DOI URL |
| [56] | Wang JM, Chen C, Li JW, Feng YM, Lu Q (2019) Different ecological processes determined the alpha and beta components of taxonomic, functional, and phylogenetic diversity for plant communities in dryland regions of Northwest China. PeerJ, 6, e6220. |
| [57] | Wang JM, Dong FY, Bahai N, Li JW, Li JQ, Feng YM, Lu Q (2016a) Plant distribution patterns and the factors influencing plant diversity in the black gobi desert of China. Acta Ecologica Sinica, 36, 3488-3498. (in Chinese with English abstract) |
| [王健铭, 董芳宇, 巴海·那斯拉, 李景文, 李俊清, 冯益明, 卢琦 (2016a) 中国黑戈壁植物多样性分布格局及其影响因素. 生态学报, 36, 3488-3498.] | |
| [58] |
Wang JM, Lei X, Feng YM, Wu B, Lu Q, He NP, Li JW (2023) The ecological uniqueness of plant communities and their determinants across the temperate deserts of China. Biodiversity Science, 31, 23144. (in Chinese with English abstract)
DOI |
|
[王健铭, 雷训, 冯益明, 吴波, 卢琦, 何念鹏, 李景文 (2023) 中国温带荒漠植物群落生态特异性格局及其影响因素. 生物多样性, 31, 23144.]
DOI |
|
| [59] |
Wang JM, Qu MJ, Wang Y, Feng YM, Wu B, Lu Q, He NP, Li JW (2022) The drivers of plant taxonomic, functional, and phylogenetic β-diversity in the gobi desert of northern Qinghai-Tibet Plateau. Biodiversity Science, 30, 21503. (in Chinese with English abstract)
DOI URL |
|
[王健铭, 曲梦君, 王寅, 冯益明, 吴波, 卢琦, 何念鹏, 李景文 (2022) 青藏高原北部戈壁植物群落物种、功能与系统发育β多样性分布格局及其影响因素. 生物多样性, 30, 21503.]
DOI |
|
| [60] | Wang JM, Zhong YM, Zhang TH, Li JW, Feng YM, Lu Q (2016b) Plant species richness patterns and water-energy dynamics in the black gobi desert, China. Plant Science Journal, 34, 530-538. (in Chinese with English abstract) |
| [王健铭, 钟悦鸣, 张天汉, 李景文, 冯益明, 卢琦 (2016b) 中国黑戈壁地区植物物种丰富度格局的水热解释. 植物科学学报, 34, 530-538.] | |
| [61] |
Wang Y, Wang JM, Qu MJ, Li JW (2022) Plant community assembly processes and key drivers in an arid inland river basin. Biodiversity Science, 30, 21419. (in Chinese with English abstract)
DOI |
|
[王寅, 王健铭, 曲梦君, 李景文 (2022) 干旱内陆河流域植物群落构建过程及其关键驱动因素. 生物多样性, 30, 21419.]
DOI |
|
| [62] |
Wang ZH, Tang ZY, Fang JY (2009) The species-energy hypothesis as a mechanism for species richness patterns. Biodiversity Science, 17, 613-624. (in Chinese with English abstract)
DOI URL |
|
[王志恒, 唐志尧, 方精云 (2009) 物种多样性地理格局的能量假说. 生物多样性, 17, 613-624.]
DOI |
|
| [63] |
Webb CO, Ackerly DD, McPeek MA, Donoghue MJ (2002) Phylogenies and community ecology. Annual Review of Ecology and Systematics, 33, 475-505.
DOI URL |
| [64] | Wen L, Zhao KX, Sun HY, Feng G, Sun Q, Liang CZ, Li ZY, Wang LX, Svenning JC (2024) Drivers of desert plant beta diversity on the Qinghai-Tibet Plateau. Ecology and Evolution, 14, e10993. |
| [65] |
Weng CL, Zhang TT, Wu DH, Chen SW, Jin Y, Ren HB, Yu MJ, Luo YY (2019) Drivers and patterns of α- and β-diversity in ten main forest community types in Gutianshan, Eastern China. Biodiversity Science, 27, 33-41. (in Chinese with English abstract)
DOI |
|
[翁昌露, 张田田, 巫东豪, 陈声文, 金毅, 任海保, 于明坚, 罗媛媛 (2019) 古田山10种主要森林群落类型的α和β多样性格局及影响因素. 生物多样性, 27, 33-41.]
DOI |
|
| [66] |
Whittaker RH (1960) Vegetation of the Siskiyou Mountains, Oregon and California. Ecological Monographs, 30, 279-338.
DOI URL |
| [67] | Xia YG, Ning Y, Li JW, Li JQ, Feng YM, Wu B, Lu Q (2013) Plant species diversity and floral characters in the black gobi desert of China. Acta Botanica Boreali-Occidentalia Sinica, 33, 1906-1915. (in Chinese with English abstract) |
| [夏延国, 宁宇, 李景文, 李俊清, 冯益民, 吴波, 卢琦 (2013) 中国黑戈壁地区植物区系及其物种多样性研究. 西北植物学报, 33, 1906-1915.] | |
| [68] |
Xin ZM, Li X, Li YH, Dong X, Duan RB, Chang X, Cheng YB, Wu XQ, Li W (2024) A study of the diversity patterns of desert vegetation communities in an arid zone of China. Plants, 13, 2783.
DOI URL |
| [69] | Yan RY, Lou AR (2019) Phylogenetic structure of shrub community in Alxa Desert and its environmental determinants. Acta Botanica Boreali-Occidentalia Sinica, 39, 2072-2081. (in Chinese with English abstract) |
| [闫瑞亚, 娄安如 (2019) 阿拉善荒漠灌丛群落谱系结构及其影响因子. 西北植物学报, 39, 2072-2081.] | |
| [70] | Yang H, Wang Y, Wang JM, Xia YG, Li JW, Jia XH, Wu B (2021) Effects of environmental filtering and dispersal limitation on the β-diversity of plant communities in the south fringe of Kumtag Desert. Journal of Desert Research, 41(3), 147-154. (in Chinese with English abstract) |
|
[杨欢, 王寅, 王健铭, 夏延国, 李景文, 贾晓红, 吴波 (2021) 环境过滤和扩散限制对库姆塔格沙漠南缘植物群落β-多样性的影响. 中国沙漠, 41(3), 147-154.]
DOI |
|
| [71] |
Yao SR, Hu WG, Ji MF, Degen AA, Du QJ, Akram MA, Sun Y, Sun Y, Deng Y, Dong LW, Gong HY, Hou QQ, Xie SB, Wang XT, Ran JZ, Schmid B, Guo QF, Niklas KJ, Deng JM (2025) Distribution, species richness, and relative importance of different plant life forms across drylands in China. Plant Diversity, 47, 273-281.
DOI |
| [72] |
Yao ZL, Wen HD, Deng Y, Cao M, Lin LX (2020) Driving forces underlying the beta diversity of tree species in subtropical mid-mountain moist evergreen broad-leaved forests in Ailao Mountains. Biodiversity Science, 28, 445-454. (in Chinese with English abstract)
DOI |
|
[姚志良, 温韩东, 邓云, 曹敏, 林露湘 (2020) 哀牢山亚热带中山湿性常绿阔叶林树种beta多样性格局形成的驱动力. 生物多样性, 28, 445-454.]
DOI |
|
| [73] |
Zhang ML (2017) A review on the floristic phytogeography in arid northwestern China and Central Asia. Biodiversity Science, 25, 147-156. (in Chinese with English abstract)
DOI |
|
[张明理 (2017) 中国西北干旱区和中亚植物区系地理研究. 生物多样性, 25, 147-156.]
DOI |
|
| [74] |
Zhang ZQ, Zhang BL, Zhang W, Liu GX, Chen T, Liu Y, Chen JW, Tian M (2020) Distribution characteristics and anti-radiation activity of culturable bacteria in black gobi ecosystem of the Hexi Corridor. Journal of Desert Research, 40(4), 52-62. (in Chinese with English abstract)
DOI |
|
[张振清, 张昺林, 张威, 刘光琇, 陈拓, 刘阳, 陈警伟, 田茂 (2020) 河西走廊黑戈壁生态系统中可培养细菌分布特征及抗辐射活性. 中国沙漠, 40(4), 52-62.]
DOI |
| [1] | Qi Wu, Xiaoqing Zhang, Yuting Yang, Yibo Zhou, Yi Ma, Daming Xu, Xingfeng Si, Jian Wang. Spatio-temporal changes in biodiversity of epiphyllous liverworts in Qingyuan Area of Qianjiangyuan-Baishanzu National Park, Zhejiang Province [J]. Biodiv Sci, 2024, 32(4): 24010-. |
| [2] | Yanping Wang, Minchu Zhang, Chengxiu Zhan. A review on the nested distribution pattern (nestedness): Analysis methods, mechanisms and conservation implications [J]. Biodiv Sci, 2023, 31(12): 23314-. |
| [3] | Yu Fu, Kangxiang Huang, Jinfeng Cai, Huimin Chen, Jiusheng Ren, Songze Wan, Yang Zhang, Heng Ren, Rong Mao, Fuxi Shi. Responses in spatial pattern of four dominant species to different water level environments in a freshwater marsh in the Sanjiang Plain [J]. Biodiv Sci, 2022, 30(3): 21392-. |
| [4] | Xiangping Wang, Jingyun Fang, Zhiyao Tang. The mid-domain effect hypothesis: models, evidence and limitations [J]. Biodiv Sci, 2009, 17(6): 568-578. |
| Viewed | ||||||
|
Full text |
|
|||||
|
Abstract |
|
|||||
Copyright © 2026 Biodiversity Science
Editorial Office of Biodiversity Science, 20 Nanxincun, Xiangshan, Beijing 100093, China
Tel: 010-62836137, 62836665 E-mail: biodiversity@ibcas.ac.cn