
生物多样性 ›› 2015, Vol. 23 ›› Issue (6): 747-758. DOI: 10.17520/biods.2015171 cstr: 32101.14.biods.2015171
所属专题: 青藏高原生物多样性与生态安全; 传粉生物学
李海东1,2, 任宗昕1, 吴之坤3, 许琨3, 王红1,*(
)
收稿日期:2015-06-17
接受日期:2015-10-22
出版日期:2015-11-20
发布日期:2015-12-02
通讯作者:
王红
基金资助:
Haidong Li1,2, Zongxin Ren1, Zhikun Wu3, Kun Xu3, Hong Wang1,*(
)
Received:2015-06-17
Accepted:2015-10-22
Online:2015-11-20
Published:2015-12-02
Contact:
Wang Hong
摘要:
植物的花部性状在异质环境中表现出不均一的适应性进化, 其自然变异可能在时空格局上呈现一定的规律性。选择同一物种的不同地理居群进行花部表型变异分析, 能揭示花部性状随地理梯度的变异模式。海仙花报春(Primula poissonii)属于典型的二型花柱植物, 依赖昆虫传粉实现严格的型间异交。该物种广布于横断山地区亚高山-高山草甸, 其分布海拔跨度大且花部性状在种内具有较高变异, 但这些变异在不同地理梯度(海拔梯度和经纬度梯度)的特定选择因子作用下的变化规律尚不清楚。本研究选择海仙花报春16个居群, 对8个花部关键性状和二型花柱繁殖器官的互补度与海拔和经纬度的关系进行研究, 探究花部性状随地理梯度变异的模式及其潜在的选择因素。研究表明, 海仙花报春两种花型的花冠管开口大小、花药高度以及短柱花柱头高度与海拔均呈正相关, 但两种花型的花冠大小, 长柱花的花瓣长度、柱头到花冠管开口的距离, 以及短柱花的花冠管长度与海拔高度间均呈负相关, 其余性状与海拔无显著相关性。除短柱花中柱头高度以外的性状均随着纬度升高而逐渐减小。长柱花中除花药和柱头间的距离以及柱头到开口的距离外, 其余性状均随着经度的增加而减小; 短柱花的花瓣长度、花药高度以及花药和柱头间的距离随着经度的增加而变大, 其余性状均随着经度的增加而减小。繁殖器官间的互补度并不随地理环境的变化而变化。花部性状的地理变异可能受访花昆虫组成的地理变化驱动。繁殖器官间互补程度的高度保守表明非选型交配在居群二态性的维持和稳定过程中起关键作用。本研究为进一步深入开展报春花属(Primula)花部性状及其选择压力的地理变异研究奠定了基础。
李海东, 任宗昕, 吴之坤, 许琨, 王红 (2015) 二型花柱植物海仙花报春花部性状随地理梯度的变异. 生物多样性, 23, 747-758. DOI: 10.17520/biods.2015171.
Haidong Li, Zongxin Ren, Zhikun Wu, Kun Xu, Hong Wang (2015) Variation in floral traits of distylous Primula poissonii (Primulaceae) along geographic gradients. Biodiversity Science, 23, 747-758. DOI: 10.17520/biods.2015171.
| 分布地 Location | 居群编号 Population code | 纬度 Latitude (° N) | 经度 Longitude (° E) | 海拔 Altitude (m) | 长柱花 Long-styled morph (n) | 短柱花 Short-styled morph (n) | 高位互补度 SORH | 低位互补度 SORL |
|---|---|---|---|---|---|---|---|---|
| 云南宁蒗木底箐 Mudiqing, Ninglang, Yunnan | MDQ | 27.6776 | 100.6753 | 2,886 | 30 | 31 | 0.4376 | 0.7786 |
| 云南宁蒗小鱼坝 Xiaoyuba, Ninglang, Yunnan | XYB | 27.6969 | 100.7543 | 2,894 | 31 | 29 | 0.7385 | 0.6718 |
| 云南玉龙玉水寨 Yushuizhai, Yulong, Yunnan | YSZ | 26.9997 | 100.1826 | 2,708 | 30 | 30 | 0.5827 | 0.6567 |
| 云南玉龙黑水河 Heishuihe, Yulong, Yunnan | HSH | 27.1348 | 100.2527 | 2,857 | 28 | 30 | 0.7187 | 0.7373 |
| 云南玉龙彝族村 Yizucun, Yulong, Yunnan | YZC | 26.9998 | 100.1617 | 3,136 | 30 | 30 | 0.7740 | 0.9096 |
| 云南玉龙文海 Wenhai, Yulong, Yunnan | WH | 26.9778 | 100.1757 | 3,139 | 30 | 30 | 0.7889 | 0.5449 |
| 云南玉龙文海后山 Wenhaihoushan, Yulong, Yunnan | WHHS | 26.9825 | 100.1764 | 3,210 | 31 | 29 | 0.8032 | 0.9151 |
| 云南玉龙哈里谷 Haligu, Yulong, Yunnan | HLG | 27.003 | 100.1818 | 3,239 | 30 | 30 | 0.8718 | 0.5529 |
| 云南玉龙云杉林 Yunshanlin, Yulong, Yunnan | YSL | 27.0072 | 100.1749 | 3,475 | 30 | 31 | 0.6110 | 0.9032 |
| 云南香格里拉安南村 Annancun, Xiangri-La, Yunnan | ANC | 27.6169 | 100.0398 | 3,057 | 30 | 30 | 0.8641 | 0.7651 |
| 云南香格里拉中乡公路 Zhongxianggonglu, Xiangri-La, Yunnan | ZXGL | 27.9021 | 99.7239 | 3,323 | 30 | 30 | 0.5584 | 0.8841 |
| 云南香格里拉格咱河 Gezanhe, Xiangri-La, Yunnan | GZH | 27.9111 | 99.7184 | 3,329 | 30 | 30 | 0.582 | 0.8764 |
| 云南香格里拉腊崩谷 Labenggu, Xiangri-La, Yunnan | LBG | 27.951 | 99.7013 | 3,376 | 30 | 30 | 0.7314 | 0.6099 |
| 四川盐源前所逗乐河 Qiansuodoulehe, Yanyuan, Sichuan | QS | 27.8688 | 100.8081 | 2,624 | 30 | 30 | 0.7982 | 0.6436 |
| 四川盐源西昌垭口 Xichangyakou, Yanyuan, Sichuan | XC | 27.5345 | 101.7239 | 3,172 | 20 | 24 | 0.8815 | 0.8805 |
| 四川木里桃巴垭口 Taobayakou, Muli, Sichuan | ML | 28 | 100.7167 | 3,371 | 28 | 32 | 0.7696 | 0.9010 |
表1 海仙花报春16个居群的分布地信息以及每个居群的性器官互补度
Table 1 Populations locations and the sexual organ reciprocity (SOR) for each population in Primula poissonii
| 分布地 Location | 居群编号 Population code | 纬度 Latitude (° N) | 经度 Longitude (° E) | 海拔 Altitude (m) | 长柱花 Long-styled morph (n) | 短柱花 Short-styled morph (n) | 高位互补度 SORH | 低位互补度 SORL |
|---|---|---|---|---|---|---|---|---|
| 云南宁蒗木底箐 Mudiqing, Ninglang, Yunnan | MDQ | 27.6776 | 100.6753 | 2,886 | 30 | 31 | 0.4376 | 0.7786 |
| 云南宁蒗小鱼坝 Xiaoyuba, Ninglang, Yunnan | XYB | 27.6969 | 100.7543 | 2,894 | 31 | 29 | 0.7385 | 0.6718 |
| 云南玉龙玉水寨 Yushuizhai, Yulong, Yunnan | YSZ | 26.9997 | 100.1826 | 2,708 | 30 | 30 | 0.5827 | 0.6567 |
| 云南玉龙黑水河 Heishuihe, Yulong, Yunnan | HSH | 27.1348 | 100.2527 | 2,857 | 28 | 30 | 0.7187 | 0.7373 |
| 云南玉龙彝族村 Yizucun, Yulong, Yunnan | YZC | 26.9998 | 100.1617 | 3,136 | 30 | 30 | 0.7740 | 0.9096 |
| 云南玉龙文海 Wenhai, Yulong, Yunnan | WH | 26.9778 | 100.1757 | 3,139 | 30 | 30 | 0.7889 | 0.5449 |
| 云南玉龙文海后山 Wenhaihoushan, Yulong, Yunnan | WHHS | 26.9825 | 100.1764 | 3,210 | 31 | 29 | 0.8032 | 0.9151 |
| 云南玉龙哈里谷 Haligu, Yulong, Yunnan | HLG | 27.003 | 100.1818 | 3,239 | 30 | 30 | 0.8718 | 0.5529 |
| 云南玉龙云杉林 Yunshanlin, Yulong, Yunnan | YSL | 27.0072 | 100.1749 | 3,475 | 30 | 31 | 0.6110 | 0.9032 |
| 云南香格里拉安南村 Annancun, Xiangri-La, Yunnan | ANC | 27.6169 | 100.0398 | 3,057 | 30 | 30 | 0.8641 | 0.7651 |
| 云南香格里拉中乡公路 Zhongxianggonglu, Xiangri-La, Yunnan | ZXGL | 27.9021 | 99.7239 | 3,323 | 30 | 30 | 0.5584 | 0.8841 |
| 云南香格里拉格咱河 Gezanhe, Xiangri-La, Yunnan | GZH | 27.9111 | 99.7184 | 3,329 | 30 | 30 | 0.582 | 0.8764 |
| 云南香格里拉腊崩谷 Labenggu, Xiangri-La, Yunnan | LBG | 27.951 | 99.7013 | 3,376 | 30 | 30 | 0.7314 | 0.6099 |
| 四川盐源前所逗乐河 Qiansuodoulehe, Yanyuan, Sichuan | QS | 27.8688 | 100.8081 | 2,624 | 30 | 30 | 0.7982 | 0.6436 |
| 四川盐源西昌垭口 Xichangyakou, Yanyuan, Sichuan | XC | 27.5345 | 101.7239 | 3,172 | 20 | 24 | 0.8815 | 0.8805 |
| 四川木里桃巴垭口 Taobayakou, Muli, Sichuan | ML | 28 | 100.7167 | 3,371 | 28 | 32 | 0.7696 | 0.9010 |
图1 8个海仙花报春花部性状的测量示意图。CW: 花冠大小; PL: 花瓣长度; TOW: 花冠管开口大小; FTL: 花冠管长度; AH: 花药高度; SH: 柱头高度; DSA: 柱头和花药间的距离; DHO: 最高繁殖器官到花冠管开口的距离。
Fig. 1 Eight floral traits measured in Primula poissonii. CW, Corolla width; PL, Petal length; TOW, Floral tube opening width; FTL, Floral tube length; AH, Anther height; SH, Stigma height; DSA, Distance between stigma and anther; DHO, Distance between highest sex organs to opening.
| 花冠大小 CW | 花冠管开口大小 TOW | 花瓣长度 PL | 花冠管长度 FTL | 花药高度 AH | 柱头高度 SH | 柱头和花药间的距离 DSA | 最高繁殖器官到花冠管开口的距离 DHO | |
|---|---|---|---|---|---|---|---|---|
| 花冠大小 CW | 0.35** | 0.79** | 0.52** | 0.23** | 0.33** | 0.16** | 0.26** | |
| 花冠管开口大小 TOW | 0.25** | 0.09* | 0.48** | 0.22** | 0.34** | 0.22** | 0.08 | |
| 花瓣长度 PL | 0.66** | 0.19** | 0.27** | 0.16** | 0.21** | 0.07 | 0.35** | |
| 花冠管长度FTL | 0.70** | 0.17** | 0.42** | 0.43** | 0.52** | 0.30** | 0.39** | |
| 花药高度 AH | 0.43** | 0.13** | 0.54** | 0.61** | 0.43** | -0.04 | 0.23** | |
| 柱头高度 SH | 0.22** | 0.26** | 0.20** | 0.32** | 0.52** | 0.74** | -0.22** | |
| 柱头和花药间的距离 DSA | 0.30** | -0.01 | 0.46** | 0.46** | 0.78** | -0.04 | -0.33** | |
| 最高繁殖器官到花冠管开口的距离 DHO | 0.33** | 0.46** | 0.33** | 0.42** | 0.15** | 0.09* | 0.20** |
表2 海仙花报春花部性状相关性分析(对角线上方为长柱花(n = 476), 对角线下方为短柱花(n = 468))
Table 2 Phenotypic correlations among floral traits in Primula poissonii (long-styled morph above diagonal (n = 476) and short-styled morph below diagonal (n = 468))
| 花冠大小 CW | 花冠管开口大小 TOW | 花瓣长度 PL | 花冠管长度 FTL | 花药高度 AH | 柱头高度 SH | 柱头和花药间的距离 DSA | 最高繁殖器官到花冠管开口的距离 DHO | |
|---|---|---|---|---|---|---|---|---|
| 花冠大小 CW | 0.35** | 0.79** | 0.52** | 0.23** | 0.33** | 0.16** | 0.26** | |
| 花冠管开口大小 TOW | 0.25** | 0.09* | 0.48** | 0.22** | 0.34** | 0.22** | 0.08 | |
| 花瓣长度 PL | 0.66** | 0.19** | 0.27** | 0.16** | 0.21** | 0.07 | 0.35** | |
| 花冠管长度FTL | 0.70** | 0.17** | 0.42** | 0.43** | 0.52** | 0.30** | 0.39** | |
| 花药高度 AH | 0.43** | 0.13** | 0.54** | 0.61** | 0.43** | -0.04 | 0.23** | |
| 柱头高度 SH | 0.22** | 0.26** | 0.20** | 0.32** | 0.52** | 0.74** | -0.22** | |
| 柱头和花药间的距离 DSA | 0.30** | -0.01 | 0.46** | 0.46** | 0.78** | -0.04 | -0.33** | |
| 最高繁殖器官到花冠管开口的距离 DHO | 0.33** | 0.46** | 0.33** | 0.42** | 0.15** | 0.09* | 0.20** |
| 花型和性状 Morph and trait | 海拔 Elevation | 纬度 Latitude | 经度 Longitude | 模型 Model | ||||||||
|---|---|---|---|---|---|---|---|---|---|---|---|---|
| β | P | β | P | β | P | 调整 R2 Adjusted R2 | F | p | ||||
| 长柱花 Long-styled morph | ||||||||||||
| 花冠大小 CW | -0.001 | 0.01 | -0.89 | 0.005 | -1.93 | <0.001 | 0.09 | 17.26 | <0.001 | |||
| 花瓣长度 PL | -0.001 | <0.001 | -0.45 | 0.002 | -0.59 | <0.001 | 0.08 | 14.74 | <0.001 | |||
| 花冠管开口大小 TOW | 0.0011 | <0.001 | -0.59 | <0.001 | -0.63 | <0.001 | 0.38 | 95.31 | <0.001 | |||
| 花冠管长度 FTL | -0.0002 | 0.33 | -0.51 | <0.001 | -0.63 | <0.001 | 0.10 | 17.68 | <0.001 | |||
| 花药高度 AH | 0.0002197 | 0.03 | -0.14 | 0.009 | -0.15 | 0.004 | 0.05 | 9.80 | <0.001 | |||
| 柱头高度 SH | 0.0003 | 0.09 | -0.34 | <0.001 | -0.22 | 0.009 | 0.06 | 10.61 | <0.001 | |||
| 柱头和花药间的距离DSA | 0.0002 | 0.19 | -0.37 | <0.001 | 0.009 | 0.91 | 0.03 | 6.116 | <0.001 | |||
| 最高繁殖器官到花冠管开口的距离 DHO | -0.0007 | <0.001 | -0.43 | <0.001 | -0.09 | 0.33 | 0.08 | 14.13 | <0.001 | |||
| 短柱花 Short-styled morph | ||||||||||||
| 花冠大小 CW | -0.001902 | <0.001 | -1.77 | <0.001 | -1.926 | <0.001 | 0.17 | 33.73 | <0.001 | |||
| 花瓣长度 PL | 0.00009082 | 0.67 | -0.65 | <0.001 | 0.3793 | <0.001 | 0.07 | 13.21 | <0.001 | |||
| 花冠管开口大小 TOW | 0.001 | <0.001 | -0.61 | <0.001 | -0.41 | <0.001 | 0.39 | 102.3 | <0.001 | |||
| 花冠管长度 FTL | -0.0007 | <0.001 | -0.87 | <0.001 | -0.53 | <0.001 | 0.18 | 34.77 | <0.001 | |||
| 花药高度 AH | 0.0004 | 0.005 | -0.54 | <0.001 | 0.17 | 0.02 | 0.09 | 15.86 | <0.001 | |||
| 柱头高度 SH | 0.0003217 | <0.001 | 0.02 | 0.68 | -0.1303 | 0.004 | 0.06 | 11.54 | <0.001 | |||
| 柱头和花药间的距离 DSA | 0.0001468 | 0.25 | -0.70 | <0.001 | 0.3729 | <0.001 | 0.19 | 38.83 | <0.001 | |||
| 最高繁殖器官到花冠管开口的距离 DHO | -0.000008 | 0.51 | -0.51 | <0.001 | -0.2248 | <0.001 | 0.14 | 27.11 | <0.001 | |||
表3 海仙花报春花部性状与海拔、纬度和经度的回归模型及其回归系数(β)
Table 3 Linear regression model and the regression coefficients (β) of floral traits with elevation, latitude and longitude
| 花型和性状 Morph and trait | 海拔 Elevation | 纬度 Latitude | 经度 Longitude | 模型 Model | ||||||||
|---|---|---|---|---|---|---|---|---|---|---|---|---|
| β | P | β | P | β | P | 调整 R2 Adjusted R2 | F | p | ||||
| 长柱花 Long-styled morph | ||||||||||||
| 花冠大小 CW | -0.001 | 0.01 | -0.89 | 0.005 | -1.93 | <0.001 | 0.09 | 17.26 | <0.001 | |||
| 花瓣长度 PL | -0.001 | <0.001 | -0.45 | 0.002 | -0.59 | <0.001 | 0.08 | 14.74 | <0.001 | |||
| 花冠管开口大小 TOW | 0.0011 | <0.001 | -0.59 | <0.001 | -0.63 | <0.001 | 0.38 | 95.31 | <0.001 | |||
| 花冠管长度 FTL | -0.0002 | 0.33 | -0.51 | <0.001 | -0.63 | <0.001 | 0.10 | 17.68 | <0.001 | |||
| 花药高度 AH | 0.0002197 | 0.03 | -0.14 | 0.009 | -0.15 | 0.004 | 0.05 | 9.80 | <0.001 | |||
| 柱头高度 SH | 0.0003 | 0.09 | -0.34 | <0.001 | -0.22 | 0.009 | 0.06 | 10.61 | <0.001 | |||
| 柱头和花药间的距离DSA | 0.0002 | 0.19 | -0.37 | <0.001 | 0.009 | 0.91 | 0.03 | 6.116 | <0.001 | |||
| 最高繁殖器官到花冠管开口的距离 DHO | -0.0007 | <0.001 | -0.43 | <0.001 | -0.09 | 0.33 | 0.08 | 14.13 | <0.001 | |||
| 短柱花 Short-styled morph | ||||||||||||
| 花冠大小 CW | -0.001902 | <0.001 | -1.77 | <0.001 | -1.926 | <0.001 | 0.17 | 33.73 | <0.001 | |||
| 花瓣长度 PL | 0.00009082 | 0.67 | -0.65 | <0.001 | 0.3793 | <0.001 | 0.07 | 13.21 | <0.001 | |||
| 花冠管开口大小 TOW | 0.001 | <0.001 | -0.61 | <0.001 | -0.41 | <0.001 | 0.39 | 102.3 | <0.001 | |||
| 花冠管长度 FTL | -0.0007 | <0.001 | -0.87 | <0.001 | -0.53 | <0.001 | 0.18 | 34.77 | <0.001 | |||
| 花药高度 AH | 0.0004 | 0.005 | -0.54 | <0.001 | 0.17 | 0.02 | 0.09 | 15.86 | <0.001 | |||
| 柱头高度 SH | 0.0003217 | <0.001 | 0.02 | 0.68 | -0.1303 | 0.004 | 0.06 | 11.54 | <0.001 | |||
| 柱头和花药间的距离 DSA | 0.0001468 | 0.25 | -0.70 | <0.001 | 0.3729 | <0.001 | 0.19 | 38.83 | <0.001 | |||
| 最高繁殖器官到花冠管开口的距离 DHO | -0.000008 | 0.51 | -0.51 | <0.001 | -0.2248 | <0.001 | 0.14 | 27.11 | <0.001 | |||
图2 海仙花报春16个居群8个花部性状随海拔梯度的变化。实心圆和实线代表长柱花, 空心圈和虚线代表短柱花。
Fig. 2 The variation of eight floral traits among 16 populations of Primula poissonii along an elevation gradient. DHO, Distance between highest sexul organs to opening; DSA, Distance between stigma and anther. Solid line and closed circles, values of long-styled morph individuals; dashed lines and open circles, values of short-styled morph individuals.
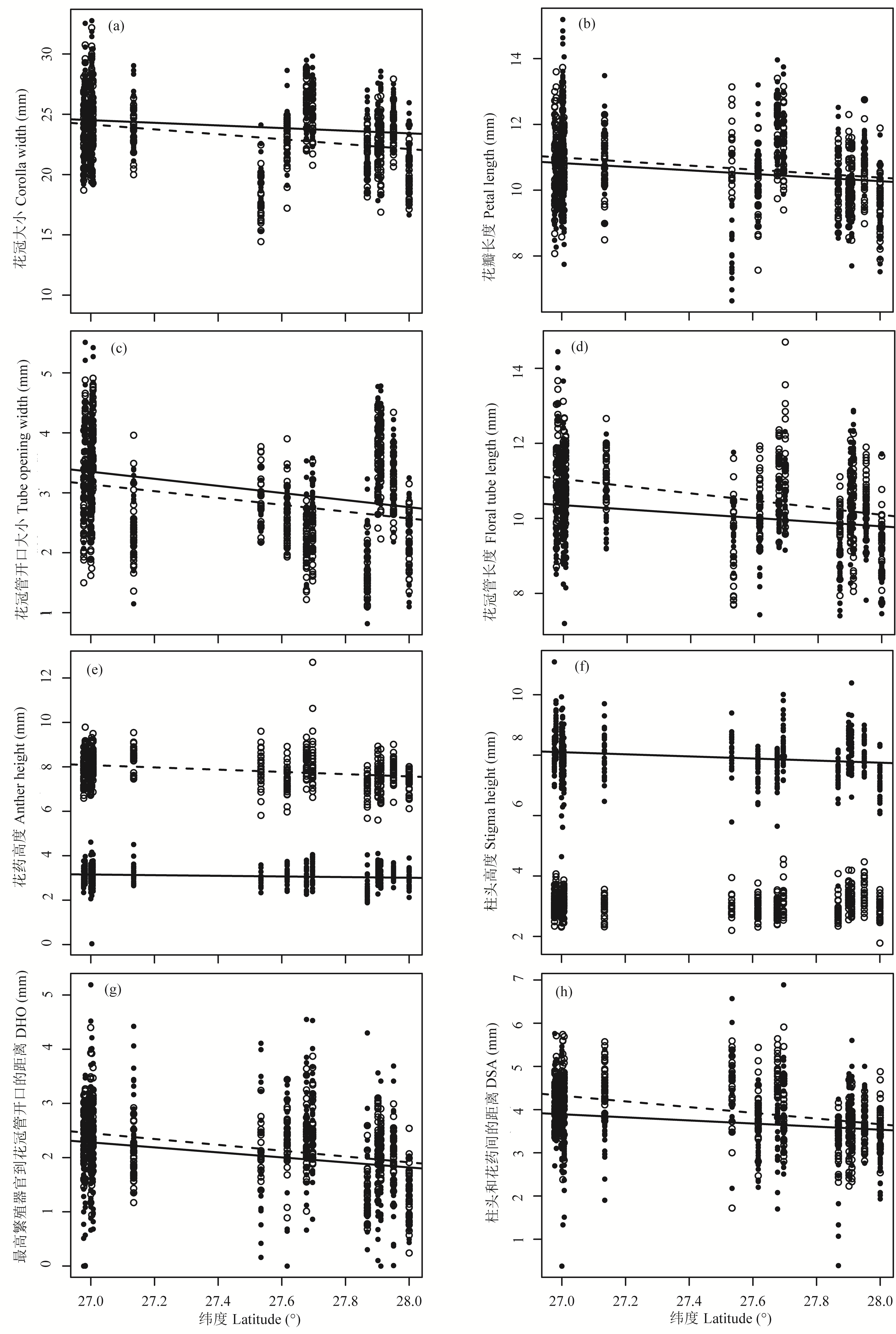
图3 海仙花报春16个居群8个花部性状随纬度梯度的变化。实心圆和实线代表长柱花, 空心圈和虚线代表短柱花。
Fig. 3 The variation of eight floral traits among 16 populations of Primula poissonii along a latitudinal gradient. DHO, Distance between highest sexul organs to opening; DSA, Distance between stigma and anther. Solid line and closed circles, values of long-styled morph individuals; dashed lines and open circles, values of short-styled morph individuals.
图4 海仙花报春16个居群8个花部性状随经度梯度的变化。实心圆和实线代表长柱花, 空心圈和虚线代表短柱花。
Fig. 4 The variation of eight floral traits among 16 populations of Primula poissonii along a longitudinal gradient. DHO, Distance between highest sexul organs to opening; DSA, Distance between stigma and anther. Solid line and closed circles, values of long-styled morph individuals; dashed lines and open circles, values of short-styled morph individuals.
| 1 | Alexandersson R, Johnson SD (2002) Pollinator-mediated selection on flower-tube length in a hawkmoth-pollinated Gladiolus (Iridaceae).Proceedings of the Royal Society of London B: Biological Sciences, 269, 631-636. |
| 2 | Antonovics J, Bradshaw AD, Turner RG (1971) Heavy metal tolerance in plants.Advances in Ecological Research, 19, 1-85. |
| 3 | Armbruster WS, Edwards ME, Debevec EM (1994) Floral character displacement generates assemblage structure of Western Australian trigger plants (Stylidium).Ecology, 75, 315-329. |
| 4 | Armbruster WS, Muchhala N (2009) Associations between floral specialization and species diversity: cause, effect, or correlation?Evolutionary Ecology, 23, 159-179. |
| 5 | Arroyo MTK, Primack R, Armesto J (1982) Community studies in pollination ecology in the high temperate Andes of central Chile. I. Pollination mechanisms and altitudinal variation.American Journal of Botany, 69, 82-97. |
| 6 | Ashman TL, Morgan MT (2004) Explaining phenotypic selection on plant attractive characters: male function, gender balance or ecological context? Proceedings of the Royal Society of London B: Biological Sciences, 271, 553-559. |
| 7 | Bingham RA, Orthner AR (1998) Efficient pollination of alpine plants.Nature, 391, 238-239. |
| 8 | Brys R, Jacquemyn H (2015) Disruption of the distylous syndrome in Primula veris.Annals of Botany, 115, 27-39. |
| 9 | Burdon JJ, Thrall PH, Brown AHD (1999) Resistance and virulence structure in two Linum marginale-melampsoralini host-pathogen meta populations with different mating systems.Evolution, 53, 704-716. |
| 10 | Campbell DR, Waser NM, Price MV (1996) Mechanisms of hummingbird-mediated selection for flower width in Ipomopsis aggregata.Ecology, 77, 1463-1472. |
| 11 | Darwin C (1877) The Different Forms of Flowers on Plants of the Same Species. John Murray, London. |
| 12 | Galen C, Newport M (1987) Bumble bee behavior and selection on flower size in the sky pilot, Polemonium viscosum.Oecologia, 74, 20-23. |
| 13 | Gómez JM, Perfectti F, Bosch J, Camacho JPM (2009) A geographic selection mosaic in a generalized plant-pollinator- herbivore system.Ecological Monographs, 79, 245-264. |
| 14 | Grossenbacher DL, Whittall JB (2011) Increased floral divergence in sympatric monkeyflowers.Evolution, 65, 2712-2718. |
| 15 | Harder LD, Johnson SD (2009) Darwin’s beautiful contrivances: evolutionary and functional evidence for floral adaptation.New Phytologist, 183, 530-545. |
| 16 | Herrera J (2005) Flower size variation in Rosmarinus officinalis: individuals, populations and habitats.Annals of Botany, 95, 431-437. |
| 17 | Herrera CM, Castellanos MC, Medrano M (2006) Geographical context of floral evolution: towards an improved research programme in floral diversification. In: Ecology and Evolution of Flowers (eds Harder LD, Barrett SCH), pp. 278-294. Oxford University Press, Oxford. |
| 18 | Hodgins KA, Barrett SCH (2008) Geographic variation in floral morphology and style-morph ratios in a sexually polymorphic daffodil.American Journal of Botany, 95, 185-195. |
| 19 | Hodkinson ID (2005) Terrestrial insects along elevation gradients: species and community responses to altitude.Biological Reviews of the Cambridge Philosophical Society, 80, 489-513. |
| 20 | Hu QM (胡启明) (1994) On the geographical distribution of the Primulaceae.Journal of Tropical and Subtropical Botany(热带亚热带植物学报), 2, 1-14. (in Chinese with English abstract) |
| 21 | Johnson S, Steiner K (1997) Long-tongued fly pollination and evolution of floral spur length in the Disa draconis complex (Orchidaceae).Evolution, 51, 45-53. |
| 22 | Keller B, de Vos JM, Conti E (2012) Decrease of sexual organ reciprocity between heterostylous primrose species, with possible functional and evolutionary implications.Annals of Botany, 110, 1233-1244. |
| 23 | Keller B, Thomson JD, Conti E (2014) Heterostyly promotes disassortative pollination and reduces sexual interference in Darwin’s primroses: evidence from experimental studies.Functional Ecology, 28, 1413-1425. |
| 24 | Körner C (1999) Alpine Plant Life. Springer-Verlag, Berlin, Germany. |
| 25 | Lau P, Bosque C (2003) Pollen flow in the distylous Palicourea fendleri (Rubiaceae): an experimental test of the disassortative pollen flow hypothesis.Oecologia, 135, 593-600. |
| 26 | Lavi R, Sapir Y (2015) Are pollinators the agents of selection for the extreme large size and dark color in Oncocyclus irises?New Phytologist, 205, 369-377. |
| 27 | Li B, Suzuki JI, Hara T (1998) Latitudinal variation in plant size and relative growth rate in Arabidopsis thaliana.Oecologia, 115, 293-301. |
| 28 | Lloyd D, Webb C (1992) The evolution of heterostyly. In: Evolution and Function of Heterostyly (ed. Barrett SCH), pp.151-178. Springer-Verlag, New York. |
| 29 | Ma YP, Xie WJ, Tian XL, Sun WB, Wu ZK, Milne R (2014) Unidirectional hybridization and reproductive barriers between two heterostylous primrose species in north-west Yunnan, China.Annals of Botany, 113, 763-775. |
| 30 | Maad J, Armbruster WS, Fenster CB (2013) Floral size variation in Campanula rotundifolia (Campanulaceae) along altitudinal gradients: patterns and possible selective mechanisms.Nordic Journal of Botany, 31, 361-371. |
| 31 | Macnair MR (1993) The genetics of metal tolerance in vascular plants.New Phytologist, 124, 541-559. |
| 32 | Malo JE, Baonza J (2002) Are there predictable clines in plant-pollinator interactions along altitudinal gradients? The example of Cytisus scoparius (L.) link in the Sierra de Guadarrama (central Spain).Diversity and Distributions, 8, 365-371. |
| 33 | McIntosh ME (2002) Plant size, breeding system, and limits to reproductive success in two sister species of Ferocactus (Cactaceae).Plant Ecology, 162, 273-288. |
| 34 | Muchhala N, Potts MD (2007) Character displacement among bat-pollinated flowers of the genus Burmeistera: analysis of mechanism, process and pattern.Proceedings of the Royal Society of London B: Biological Sciences, 274, 2731-2737. |
| 35 | Muchhala N, Thomson JD (2009) Going to great lengths: selection for long corolla tubes in an extremely specialized bat-flower mutualism.Proceedings of the Royal Society B: Biological Sciences, 276, 2147-2152. |
| 36 | Nagano Y, Abe K, Kitazawa T, Hattori M, Hirao AS, Itino T (2014) Changes in pollinator fauna affect altitudinal variation of floral size in a bumblebee-pollinated herb.Ecology and Evolution, 4, 3395-3407. |
| 37 | Nilsson LA (1988) The evolution of flowers with deep corolla tubes.Nature, 334, 147-149. |
| 38 | Pailler T, Humeau L, Figier J, Thompson JD (1998) Reproductive trait variation in the functionally dioecious and morphologically heterostylous island endemic Chassalia corallioides (Rubiaceae).Biological Journal of the Linnean Society, 64, 297-313. |
| 39 | R Core Team (2014) R: A Language and Environment for Statistical Computing. R Foundation for Statistical Computing, Vienna, Austria. |
| 40 | Revelle W (2014) psych: procedures for personality and psychological research. Northwestern University, Evanston, Illinois. R-package version 1.4.8. |
| 41 | Richards J (2003) Primula, 2nd edn. Timber Press, Portland. |
| 42 | Silva-Montellano A, Eguiarte LE (2003) Geographic patterns in the reproductive ecology of Agave lechuguilla (Agavaceae) in the Chihuahuan desert. I. Floral characteristics, visitors, and fecundity.American Journal of Botany, 90, 377-387. |
| 43 | Strauss SY, Whittall JB (2006) Non-pollinator agents of selection on floral traits. In: Ecology and Evolution of Flowers (eds Harder LD, Barrett SCH), pp. 120-138. Oxford University Press, Oxford. |
| 44 | Thompson JN (1994) The Coevolutionary Process. University of Chicago Press, Chicago. |
| 45 | Thompson JN (1999) Specific hypotheses on the geographic mosaic of coevolution.The American Naturalist, 153, S1-S14. |
| 46 | Thompson JN (2005) The Geographic Mosaic of Coevolution. University of Chicago Press, Chicago. |
| 47 | Venables WN, Ripley BD (2002) Modern Applied Statistics with S, 4th edn. Springer, New York. |
| 48 | de Vos JM, Hughes CE, Schneeweiss GM, Moore BR, Conti E (2014) Heterostyly accelerates diversification via reduced extinction in primroses.Proceedings of the Royal Society B: Biological Sciences, 281, 20140075. |
| 49 | Wang YF (王一峰), Yue YC (岳永成) (2014) Effects of resource allocation and floral traits on the number and mass of Saussurea undulate seeds from different elevations in eastern Qinghai-Xizang Plateau.Chinese Journal of Plant Ecology(植物生态学报), 38, 366-374. (in Chinese with English abstract) |
| 50 | Zhao ZG, Wang YK (2015) Selection by pollinators on floral traits in generalized Trollius ranunculoides (Ranunculaceae) along altitudinal gradients.PLoS ONE, 10, e0118299. |
| 51 | Zhou W, Barrett SCH, Wang H, Li DZ (2012) Loss of floral polymorphism in heterostylous Luculia pinceana (Rubiaceae): a molecular phylogeographic perspective.Molecular Ecology, 21, 4631-4645. |
| 52 | Zhou W, Barrett SC, Wang H, Li DZ (2015) Reciprocal herkogamy promotes disassortative mating in a distylous species with intramorph compatibility.New Phytologist, 206, 1503-1512. |
| 53 | Zhu XF, Li Y, Wu GL, Fang ZD, Li QJ, Liu JQ (2009) Molecular and morphological evidence for natural hybridization between Primula secundiflora Franchet and P. poissonii Franchet (Primulaceae).Acta Biologica Cracoviensia Series Botanica, 51, 29-36. |
| No related articles found! |
| 阅读次数 | ||||||
|
全文 |
|
|||||
|
摘要 |
|
|||||
备案号:京ICP备16067583号-7
Copyright © 2026 版权所有 《生物多样性》编辑部
地址: 北京香山南辛村20号, 邮编:100093
电话: 010-62836137, 62836665 E-mail: biodiversity@ibcas.ac.cn