
生物多样性 ›› 2025, Vol. 33 ›› Issue (10): 25085. DOI: 10.17520/biods.2025085 cstr: 32101.14.biods.2025085
李红林1,#(
), 罗川3,4,#, 罗鹏1,2,*(
)(
), 杨浩1(
), 黄瑜1,2(
), 倪铭1,2(
), 吴素娟1
收稿日期:2025-03-13
接受日期:2025-07-14
出版日期:2025-10-20
发布日期:2025-11-20
通讯作者:
* E-mail: luopeng@cib.ac.cn作者简介:# 共同第一作者
基金资助:
Honglin Li1,#(
), Chuan Luo3,4,#, Peng Luo1,2,*(
)(
), Hao Yang1(
), Yu Huang1,2(
), Ming Ni1,2(
), Sujuan Wu1
Received:2025-03-13
Accepted:2025-07-14
Online:2025-10-20
Published:2025-11-20
Contact:
* E-mail: luopeng@cib.ac.cnAbout author:# Co-first authors
Supported by:摘要:
气候变化和人为干扰背景下非本地物种的入侵问题日益加剧, 已成为全球生物多样性下降的重要驱动因素。尽管山区被视为全球变化下生物多样性的“避难所”, 但其抵御非本地物种入侵的生态机制仍不明确。为探讨山地生态系统对非本地植物入侵的抵御机制, 本研究基于中国邛崃山区134个植物群落的数据, 评估了系统发育距离与本地物种多样性对非本地物种入侵程度的影响; 通过广义线性混合模型、Bayesian结构方程模型与随机森林等方法, 系统分析了环境因子、生物因子及人为干扰在入侵中的作用及其相对重要性。结果表明, 非本地物种的出现概率和多度均随其与本地物种系统发育距离(尤其是平均最近类群距离(MNTD))的增加而显著下降, 支持预适应假说, 即系统发育邻近性可促进非本地物种入侵; 即使控制本地物种多样性的影响, 预适应效应仍然显著。相比之下, 本地物种丰富度、多度和系统发育多样性均表现出对非本地物种入侵的显著抑制作用, 验证了生物阻抗假说。多因素对入侵程度相对贡献的分析发现, MNTD是非本地物种入侵程度最重要的预测因子, 而本地植物群落特征的重要性相对较低。本研究支持邛崃山区山地生态系统非本地物种入侵的屏障效应主要源于环境过滤效应这一观点, 同时也发现本地植物群落特征对非本地物种也产生了一定阻抗能力, 但人为干扰和环境梯度(如海拔)将削弱环境过滤效应的有效性。本研究结果提示, 山区需重点防控与本地物种亲缘关系较近的非本地物种, 同时, 自然保护措施如维持本地植物群落物种多样性、限制人为干扰是维护山地生态系统入侵抗性的有效途径。
李红林, 罗川, 罗鹏, 杨浩, 黄瑜, 倪铭, 吴素娟 (2025) 邛崃山区山地生态系统抵御非本地物种入侵的机制. 生物多样性, 33, 25085. DOI: 10.17520/biods.2025085.
Honglin Li, Chuan Luo, Peng Luo, Hao Yang, Yu Huang, Ming Ni, Sujuan Wu (2025) Mechanisms of mountain ecosystem resistance to non-native species invasion in the Qionglai Mountain Range. Biodiversity Science, 33, 25085. DOI: 10.17520/biods.2025085.
图2 非本地物种入侵程度与系统发育距离之间的关系。(a)非本地物种出现概率随平均成对距离(MPD)的变化; (b)非本地物种出现概率随平均最近类群距离(MNTD)的变化; (c)非本地物种多度随MPD的变化; (d)非本地物种多度随MNTD的变化。灰色区域表示95%置信区间。图中给出了每个模型的回归系数(β)、z值、P值、边际R2、条件R2以及样本量(n), 其中不显著的结果仅展示了模型的P和n。
Fig. 2 Relationships between invasion severity of non-native species and phylogenetic distance. (a) Variation in occurrence probability of non-native species with mean pairwise distance (MPD); (b) Variation in occurrence probability of non-native species with mean nearest taxon distance (MNTD); (c) Variation in abundance of non-native species with MPD; (d) Variation in abundance of non-native species with MNTD. Grey shaded areas indicate 95% confidence intervals. Regression coefficient (β), z-value, P-value, R2marginal, R2conditional, and sample size (n) for each model are provided in the figure. For non-significant results, only the P and n are shown.
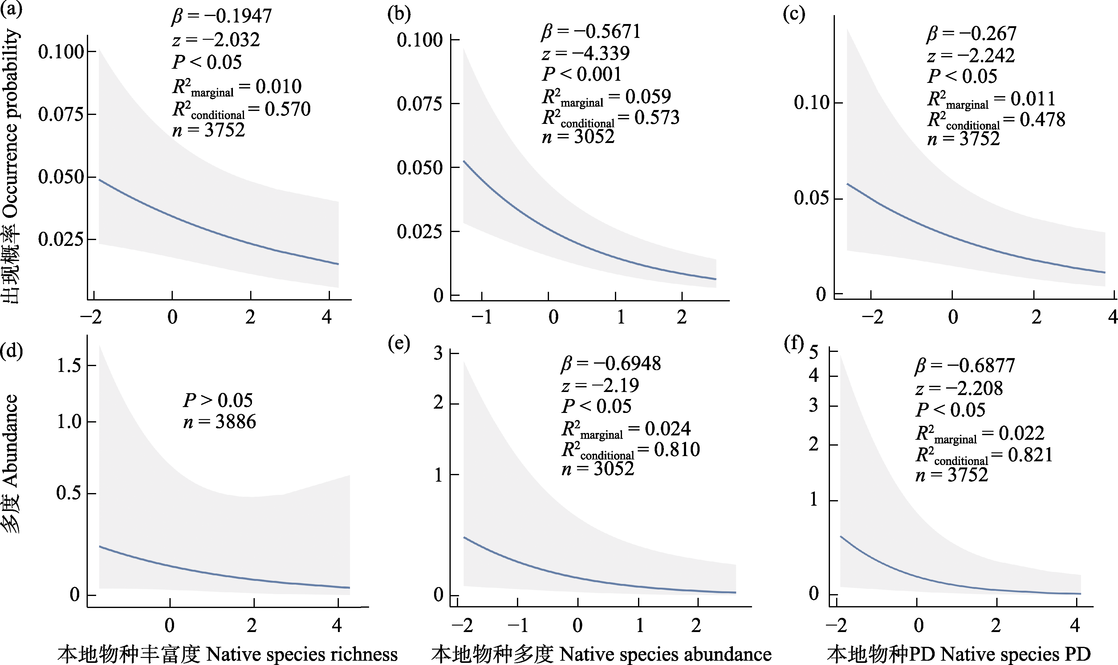
图3 非本地物种入侵程度与本地物种多样性之间的关系。(a-c)非本地物种出现概率随本地物种丰富度、多度和系统发育多样性(PD)的变化; (d-f)非本地物种多度随本地物种丰富度、多度和系统发育多样性的变化。灰色区域表示95%置信区间。图中给出了每个模型的回归系数(β)、z值、P值、边际R2、条件R2以及样本量(n), 其中不显著的结果仅展示了P和n。
Fig. 3 Relationships between invasion severity of non-native species and native species diversity. (a-c) Variations in occurrence probability of non-native species with native species richness, abundance, and phylogenetic diversity (PD); (d-f) Variations in abundance of non-native species with native species richness, abundance, and phylogenetic diversity. Grey shaded areas indicate 95% confidence intervals. Regression coefficient (β), z-value, P-value, R2 marginal, R2 conditional, and sample size (n) for each model are provided in the figure. For non-significant results, only the P and n are shown.
图4 基于Bayesian结构方程模型评估系统发育距离和本地物种多样性对非本地物种入侵程度的直接和间接影响。(a)平均成对距离(MPD)、平均最近类群距离(MNTD)、本地物种丰富度, 多度, 系统发育多样性(PD)与非本地物种出现概率之间的关系; (b) MPD、MNTD、本地物种多度、系统发育多样性与非本地物种多度之间的关系。黑色路径线表示正相关关系, 红色路径线表示负相关关系; 实线表示关系显著(P < 0.05), 虚线表示关系不显著(P ≥ 0.05)。
Fig. 4 Bayesian structural equation model for assessing the direct and indirect effects of phylogenetic distance and native species diversity on invasion severity of non-native species. (a) Relationship among mean pairwise distance (MPD) and mean nearest taxon distance (MNTD), native species richness, abundance, phylogenetic diversity (PD), and occurrence probability of non-native species; (b) Relationship among MPD, MNTD, native species abundance, phylogenetic diversity, and abundance of non-native species. Black arrows denote positive effects and red arrows denote negative effects. Solid lines indicate significant relationships (P < 0.05), while dashed lines indicate non-significant relationships (P ≥ 0.05).
| 估计值 Estimate | 标准误 SE | z | P | |
|---|---|---|---|---|
| 非本地物种出现概率 Occurrence probability of non-native species | ||||
| 平均成对距离 Mean pairwise distance (MPD) | -18.79 | 6.76 | -2.78 | < 0.001 |
| 道路等级1 Road level 1 | -0.17 | 2.42 | -0.07 | 0.94 |
| 道路等级2 Road level 2 | -5.57 | 2.40 | -2.32 | < 0.05 |
| MPD × Road level 1 | 4.49 | 7.46 | 0.60 | 0.55 |
| MPD × Road level 2 | 21.00 | 7.55 | 2.78 | < 0.05 |
| 非本地物种出现概率 Occurrence probability of non-native species | ||||
| 平均最近类群距离 Mean nearest taxon distance (MNTD) | -7.34 | 3.32 | -2.21 | < 0.05 |
| 道路等级1 Road level 1 | 1.18 | 0.37 | 3.24 | < 0.01 |
| 道路等级2 Road level 2 | 0.90 | 0.33 | 2.76 | < 0.01 |
| MNTD × Road level 1 | 2.30 | 3.67 | 0.63 | 0.53 |
| MNTD × Road level 2 | 4.93 | 3.63 | 1.36 | 0.17 |
| 非本地物种多度 Abundance of non-native species | ||||
| 平均成对距离 MPD | -41.32 | 13.80 | -3.00 | < 0.01 |
| 道路等级1 Road level 1 | -4.19 | 5.56 | -0.75 | 0.45 |
| 道路等级2 Road level 2 | -12.85 | 5.58 | -2.31 | < 0.05 |
| MPD × Road level 1 | 21.72 | 17.04 | 1.27 | 0.20 |
| MPD × Road level 2 | 49.47 | 17.44 | 2.84 | < 0.01 |
| 非本地物种多度 Abundance of non-native species | ||||
| 平均最近类群距离 MNTD | -23.26 | 5.85 | -3.97 | < 0.001 |
| 道路等级1 Road level 1 | 2.36 | 0.97 | 2.44 | < 0.05 |
| 道路等级2 Road level 2 | 2.06 | 0.77 | 2.68 | < 0.01 |
| MNTD × Road level 1 | 11.34 | 6.68 | 1.70 | 0.08 |
| MNTD × Road level 2 | 17.11 | 6.55 | 2.61 | < 0.01 |
表1 系统发育距离、道路等级及其相互作用对非本地物种入侵程度影响的混合效应模型分析结果
Table 1 Results of mixed-effects models testing the effects of phylogenetic distance, road level, and their interaction on invasion severity of non-native species
| 估计值 Estimate | 标准误 SE | z | P | |
|---|---|---|---|---|
| 非本地物种出现概率 Occurrence probability of non-native species | ||||
| 平均成对距离 Mean pairwise distance (MPD) | -18.79 | 6.76 | -2.78 | < 0.001 |
| 道路等级1 Road level 1 | -0.17 | 2.42 | -0.07 | 0.94 |
| 道路等级2 Road level 2 | -5.57 | 2.40 | -2.32 | < 0.05 |
| MPD × Road level 1 | 4.49 | 7.46 | 0.60 | 0.55 |
| MPD × Road level 2 | 21.00 | 7.55 | 2.78 | < 0.05 |
| 非本地物种出现概率 Occurrence probability of non-native species | ||||
| 平均最近类群距离 Mean nearest taxon distance (MNTD) | -7.34 | 3.32 | -2.21 | < 0.05 |
| 道路等级1 Road level 1 | 1.18 | 0.37 | 3.24 | < 0.01 |
| 道路等级2 Road level 2 | 0.90 | 0.33 | 2.76 | < 0.01 |
| MNTD × Road level 1 | 2.30 | 3.67 | 0.63 | 0.53 |
| MNTD × Road level 2 | 4.93 | 3.63 | 1.36 | 0.17 |
| 非本地物种多度 Abundance of non-native species | ||||
| 平均成对距离 MPD | -41.32 | 13.80 | -3.00 | < 0.01 |
| 道路等级1 Road level 1 | -4.19 | 5.56 | -0.75 | 0.45 |
| 道路等级2 Road level 2 | -12.85 | 5.58 | -2.31 | < 0.05 |
| MPD × Road level 1 | 21.72 | 17.04 | 1.27 | 0.20 |
| MPD × Road level 2 | 49.47 | 17.44 | 2.84 | < 0.01 |
| 非本地物种多度 Abundance of non-native species | ||||
| 平均最近类群距离 MNTD | -23.26 | 5.85 | -3.97 | < 0.001 |
| 道路等级1 Road level 1 | 2.36 | 0.97 | 2.44 | < 0.05 |
| 道路等级2 Road level 2 | 2.06 | 0.77 | 2.68 | < 0.01 |
| MNTD × Road level 1 | 11.34 | 6.68 | 1.70 | 0.08 |
| MNTD × Road level 2 | 17.11 | 6.55 | 2.61 | < 0.01 |
图5 不同人为干扰强度下非本地物种入侵程度与系统发育距离之间的关系。(a, b, g, h)、(c, d, i, j)和(e, f, k, l)分别表示道路等级0 (远离道路)、道路等级1 (次要道路)和道路等级2 (主要道路)下非本地物种出现概率与多度随平均成对距离(MPD)和平均最近类群距离(MNTD)的变化趋势。灰色区域表示95%置信区间。图中给出了每个模型的回归系数(β)、z值、P值、边际R2、条件R2以及样本量(n), 其中不显著的结果仅展示了P和n。
Fig. 5 Relationships between invasion severity of non-native species and phylogenetic distance under different anthropogenic disturbance intensities. (a, b, g, h), (c, d, i, j), and (e, f, k, l) mean trends in occurrence probability and abundance of non-native species with mean pairwise distance (MPD) and mean nearest taxon distance (MNTD) at road level 0 (far from roads), road level 1 (secondary roadside), and road level 2 (major roadside), respectively. Grey shaded areas indicate 95% confidence intervals. The regression coefficient (β), z, P, marginal R2, conditional R2, and sample size (n) for each model are provided in the figure. For non-significant results, only the P and n are shown.
| 估计值 Estimate | 标准误 SE | z | P | |
|---|---|---|---|---|
| 非本地物种出现概率 Occurrence probability of non-native species | ||||
| 平均成对距离 Mean pairwise distance (MPD) | -11.84 | 3.33 | -3.56 | < 0.001 |
| 海拔 Elevation | -5.08 | 1.09 | -4.64 | < 0.001 |
| MPD × Elevation | 13.00 | 3.38 | 3.85 | < 0.001 |
| 非本地物种出现概率 Occurrence probability of non-native species | ||||
| 平均最近类群距离 Mean nearest taxon distance (MNTD) | -3.80 | 1.44 | -2.65 | < 0.01 |
| 海拔 Elevation | -1.03 | 0.14 | -7.61 | < 0.001 |
| MNTD × Elevation | 3.85 | 1.14 | 3.36 | < 0.001 |
| 非本地物种多度 Abundance of non-native species | ||||
| 平均成对距离 MPD | -30.71 | 9.18 | -3.35 | < 0.01 |
| 海拔 Elevation | -8.88 | 2.82 | -3.15 | < 0.001 |
| MPD × Elevation | 21.26 | 8.66 | 2.46 | < 0.05 |
| 非本地物种多度 Abundance of non-native species | ||||
| 平均最近类群距离 MNTD | -9.53 | 2.91 | -3.28 | < 0.01 |
| 海拔 Elevation | -2.42 | 0.42 | -5.82 | < 0.001 |
| MNTD × Elevation | 10.25 | 2.55 | 4.02 | < 0.001 |
表2 系统发育距离、海拔及其相互作用对非本地物种入侵程度影响的混合效应模型分析结果
Table 2 Results of mixed-effects models testing the effects of phylogenetic distance, elevation, and their interaction on invasion severity of non-native species
| 估计值 Estimate | 标准误 SE | z | P | |
|---|---|---|---|---|
| 非本地物种出现概率 Occurrence probability of non-native species | ||||
| 平均成对距离 Mean pairwise distance (MPD) | -11.84 | 3.33 | -3.56 | < 0.001 |
| 海拔 Elevation | -5.08 | 1.09 | -4.64 | < 0.001 |
| MPD × Elevation | 13.00 | 3.38 | 3.85 | < 0.001 |
| 非本地物种出现概率 Occurrence probability of non-native species | ||||
| 平均最近类群距离 Mean nearest taxon distance (MNTD) | -3.80 | 1.44 | -2.65 | < 0.01 |
| 海拔 Elevation | -1.03 | 0.14 | -7.61 | < 0.001 |
| MNTD × Elevation | 3.85 | 1.14 | 3.36 | < 0.001 |
| 非本地物种多度 Abundance of non-native species | ||||
| 平均成对距离 MPD | -30.71 | 9.18 | -3.35 | < 0.01 |
| 海拔 Elevation | -8.88 | 2.82 | -3.15 | < 0.001 |
| MPD × Elevation | 21.26 | 8.66 | 2.46 | < 0.05 |
| 非本地物种多度 Abundance of non-native species | ||||
| 平均最近类群距离 MNTD | -9.53 | 2.91 | -3.28 | < 0.01 |
| 海拔 Elevation | -2.42 | 0.42 | -5.82 | < 0.001 |
| MNTD × Elevation | 10.25 | 2.55 | 4.02 | < 0.001 |
| 估计值 Estimate | 标准误 SE | z | P | |||
|---|---|---|---|---|---|---|
| 非本地植物出现概率 Occurrence probability of non-native species | ||||||
| 本地物种丰富度 Native species richness (SR) | -0.17 | 0.23 | -0.71 | 0.475 | ||
| 道路等级1 Road level 1 | 1.39 | 0.31 | 4.45 | < 0.001 | ||
| 道路等级2 Road level 2 | 0.99 | 0.32 | 3.09 | < 0.01 | ||
| SR × Road level 1 | 0.23 | 0.27 | 0.86 | 0.387 | ||
| SR × Road level 2 | -0.23 | 0.33 | -0.67 | 0.501 | ||
| 非本地物种出现概率 Occurrence probability of non-native species | ||||||
| 本地物种多度 Native species abundance (NAB) | -0.43 | 0.22 | -1.97 | < 0.05 | ||
| 道路等级1 Road level 1 | 1.60 | 0.30 | 5.26 | < 0.001 | ||
| 道路等级2 Road level 2 | 1.20 | 0.26 | 4.57 | < 0.001 | ||
| NAB × Road level 1 | 0.43 | 0.25 | 1.74 | 0.08 | ||
| NAB × Road level 2 | -0.38 | 0.31 | -1.22 | 0.22 | ||
| 非本地物种出现概率 Occurrence probability of non-native species | ||||||
| 本地物种系统发育多样性 Native species phylogenetic diversity (PD) | -0.32 | 0.26 | -1.24 | 0.22 | ||
| 道路等级1 Road level 1 | 1.33 | 0.32 | 4.09 | < 0.001 | ||
| 道路等级2 Road level 2 | 1.05 | 0.33 | 3.15 | < 0.01 | ||
| Native species PD × Road level 1 | 0.31 | 0.28 | 1.10 | 0.27 | ||
| Native species PD × Road level 2 | 0.10 | 0.37 | 0.27 | 0.79 | ||
| 非本地物种多度 Abundance of non-native species | ||||||
| 本地物种丰富度 SR | -0.01 | 0.56 | -0.02 | 0.99 | ||
| 道路等级1 Road level 1 | 3.19 | 0.93 | 3.45 | < 0.001 | ||
| 道路等级2 Road level 2 | 3.03 | 0.76 | 3.99 | < 0.001 | ||
| SR × Road level 1 | 0.18 | 0.67 | 0.27 | 0.79 | ||
| SR × Road level 2 | -0.40 | 0.80 | -0.50 | 0.62 | ||
| 非本地物种多度 Abundance of non-native species | ||||||
| 本地物种多度 NAB | -0.29 | 0.45 | -0.65 | 0.52 | ||
| 道路等级1 Road level 1 | 3.68 | 0.75 | 4.90 | < 0.001 | ||
| 道路等级2 Road level 2 | 3.38 | 0.65 | 5.19 | < 0.001 | ||
| NAB × Road level 1 | 1.45 | 0.63 | 2.30 | < 0.05 | ||
| NAB × Road level 2 | -1.55 | 0.73 | -2.11 | < 0.05 | ||
| 非本地物种多度 Abundance of non-native species | ||||||
| 本地物种系统发育多样性 Native species PD | -1.22 | 0.46 | -2.66 | < 0.01 | ||
| 道路等级1 Road level 1 | 1.86 | 0.71 | 2.61 | < 0.01 | ||
| 道路等级2 Road level 2 | 2.33 | 0.53 | 4.41 | < 0.001 | ||
| Native species PD × Road level 1 | 1.18 | 0.53 | 2.24 | < 0.05 | ||
| Native species PD × Road level 2 | 1.25 | 0.63 | 1.97 | < 0.05 | ||
表3 本地物种多样性、道路等级及其相互作用对非本地物种入侵程度影响的混合效应模型分析结果
Table 3 Results of mixed-effects models testing the effects of native species diversity, road level, and their interaction on invasion severity of non-native species
| 估计值 Estimate | 标准误 SE | z | P | |||
|---|---|---|---|---|---|---|
| 非本地植物出现概率 Occurrence probability of non-native species | ||||||
| 本地物种丰富度 Native species richness (SR) | -0.17 | 0.23 | -0.71 | 0.475 | ||
| 道路等级1 Road level 1 | 1.39 | 0.31 | 4.45 | < 0.001 | ||
| 道路等级2 Road level 2 | 0.99 | 0.32 | 3.09 | < 0.01 | ||
| SR × Road level 1 | 0.23 | 0.27 | 0.86 | 0.387 | ||
| SR × Road level 2 | -0.23 | 0.33 | -0.67 | 0.501 | ||
| 非本地物种出现概率 Occurrence probability of non-native species | ||||||
| 本地物种多度 Native species abundance (NAB) | -0.43 | 0.22 | -1.97 | < 0.05 | ||
| 道路等级1 Road level 1 | 1.60 | 0.30 | 5.26 | < 0.001 | ||
| 道路等级2 Road level 2 | 1.20 | 0.26 | 4.57 | < 0.001 | ||
| NAB × Road level 1 | 0.43 | 0.25 | 1.74 | 0.08 | ||
| NAB × Road level 2 | -0.38 | 0.31 | -1.22 | 0.22 | ||
| 非本地物种出现概率 Occurrence probability of non-native species | ||||||
| 本地物种系统发育多样性 Native species phylogenetic diversity (PD) | -0.32 | 0.26 | -1.24 | 0.22 | ||
| 道路等级1 Road level 1 | 1.33 | 0.32 | 4.09 | < 0.001 | ||
| 道路等级2 Road level 2 | 1.05 | 0.33 | 3.15 | < 0.01 | ||
| Native species PD × Road level 1 | 0.31 | 0.28 | 1.10 | 0.27 | ||
| Native species PD × Road level 2 | 0.10 | 0.37 | 0.27 | 0.79 | ||
| 非本地物种多度 Abundance of non-native species | ||||||
| 本地物种丰富度 SR | -0.01 | 0.56 | -0.02 | 0.99 | ||
| 道路等级1 Road level 1 | 3.19 | 0.93 | 3.45 | < 0.001 | ||
| 道路等级2 Road level 2 | 3.03 | 0.76 | 3.99 | < 0.001 | ||
| SR × Road level 1 | 0.18 | 0.67 | 0.27 | 0.79 | ||
| SR × Road level 2 | -0.40 | 0.80 | -0.50 | 0.62 | ||
| 非本地物种多度 Abundance of non-native species | ||||||
| 本地物种多度 NAB | -0.29 | 0.45 | -0.65 | 0.52 | ||
| 道路等级1 Road level 1 | 3.68 | 0.75 | 4.90 | < 0.001 | ||
| 道路等级2 Road level 2 | 3.38 | 0.65 | 5.19 | < 0.001 | ||
| NAB × Road level 1 | 1.45 | 0.63 | 2.30 | < 0.05 | ||
| NAB × Road level 2 | -1.55 | 0.73 | -2.11 | < 0.05 | ||
| 非本地物种多度 Abundance of non-native species | ||||||
| 本地物种系统发育多样性 Native species PD | -1.22 | 0.46 | -2.66 | < 0.01 | ||
| 道路等级1 Road level 1 | 1.86 | 0.71 | 2.61 | < 0.01 | ||
| 道路等级2 Road level 2 | 2.33 | 0.53 | 4.41 | < 0.001 | ||
| Native species PD × Road level 1 | 1.18 | 0.53 | 2.24 | < 0.05 | ||
| Native species PD × Road level 2 | 1.25 | 0.63 | 1.97 | < 0.05 | ||
| 估计值 Estimate | 标准误 SE | z | P | |
|---|---|---|---|---|
| 非本地物种出现概率 Occurrence probability of non-native species | ||||
| 本地物种丰富度 Native species richness (SR) | 0.09 | 0.12 | 0.69 | 0.49 |
| 海拔 Elevation | -0.78 | 0.11 | -7.13 | < 0.001 |
| SR × Elevation | 0.00 | 0.12 | 0.03 | 0.98 |
| 非本地物种出现概率 Occurrence probability of non-native species | ||||
| 本地物种多度 Native species abundance (NAB) | 0.04 | 0.12 | 0.36 | 0.72 |
| 海拔 Elevation | -0.77 | 0.15 | -5.04 | < 0.001 |
| NAB × Elevation | -0.05 | 0.12 | -0.41 | 0.68 |
| 非本地物种出现概率 Occurrence probability of non-native species | ||||
| 本地物种系统发育多样性 Native species phylogenetic diversity (PD) | -0.31 | 0.13 | -2.38 | < 0.05 |
| 海拔 Elevation | -0.79 | 0.14 | -5.50 | < 0.001 |
| Native species PD × Elevation | -0.08 | 0.14 | -0.56 | 0.58 |
| 非本地物种多度 Abundance of non-native species | ||||
| 本地物种丰富度 SR | 0.20 | 0.31 | 0.65 | 0.52 |
| 海拔 Elevation | -1.57 | 0.34 | -4.68 | < 0.001 |
| SR× Elevation | 0.30 | 0.31 | 0.99 | 0.32 |
| 非本地物种多度 Abundance of non-native species | ||||
| 本地物种多度 NAB | 1.03 | 0.35 | 2.97 | < 0.01 |
| 海拔 Elevation | -2.20 | 0.39 | -5.70 | < 0.001 |
| NAB × Elevation | -0.11 | 0.30 | -0.36 | 0.72 |
| 非本地物种多度 Abundance of non-native species | ||||
| 本地物种系统发育多样性 Native species PD | -0.61 | 0.20 | -3.04 | < 0.01 |
| 海拔 Elevation | -1.63 | 0.25 | -6.45 | < 0.001 |
| Native species PD × Elevation | -0.06 | 0.20 | -0.32 | 0.75 |
表4 本地物种多样性、海拔及其相互作用对非本地物种入侵程度影响的混合效应模型分析结果
Table 4 Results of mixed-effects models testing the effects of native species diversity, elevation, and their interaction on invasion severity of non-native species
| 估计值 Estimate | 标准误 SE | z | P | |
|---|---|---|---|---|
| 非本地物种出现概率 Occurrence probability of non-native species | ||||
| 本地物种丰富度 Native species richness (SR) | 0.09 | 0.12 | 0.69 | 0.49 |
| 海拔 Elevation | -0.78 | 0.11 | -7.13 | < 0.001 |
| SR × Elevation | 0.00 | 0.12 | 0.03 | 0.98 |
| 非本地物种出现概率 Occurrence probability of non-native species | ||||
| 本地物种多度 Native species abundance (NAB) | 0.04 | 0.12 | 0.36 | 0.72 |
| 海拔 Elevation | -0.77 | 0.15 | -5.04 | < 0.001 |
| NAB × Elevation | -0.05 | 0.12 | -0.41 | 0.68 |
| 非本地物种出现概率 Occurrence probability of non-native species | ||||
| 本地物种系统发育多样性 Native species phylogenetic diversity (PD) | -0.31 | 0.13 | -2.38 | < 0.05 |
| 海拔 Elevation | -0.79 | 0.14 | -5.50 | < 0.001 |
| Native species PD × Elevation | -0.08 | 0.14 | -0.56 | 0.58 |
| 非本地物种多度 Abundance of non-native species | ||||
| 本地物种丰富度 SR | 0.20 | 0.31 | 0.65 | 0.52 |
| 海拔 Elevation | -1.57 | 0.34 | -4.68 | < 0.001 |
| SR× Elevation | 0.30 | 0.31 | 0.99 | 0.32 |
| 非本地物种多度 Abundance of non-native species | ||||
| 本地物种多度 NAB | 1.03 | 0.35 | 2.97 | < 0.01 |
| 海拔 Elevation | -2.20 | 0.39 | -5.70 | < 0.001 |
| NAB × Elevation | -0.11 | 0.30 | -0.36 | 0.72 |
| 非本地物种多度 Abundance of non-native species | ||||
| 本地物种系统发育多样性 Native species PD | -0.61 | 0.20 | -3.04 | < 0.01 |
| 海拔 Elevation | -1.63 | 0.25 | -6.45 | < 0.001 |
| Native species PD × Elevation | -0.06 | 0.20 | -0.32 | 0.75 |
图6 在随机森林模型中, 非本地物种与本地物种之间的系统发育距离(平均成对距离和平均最近类群距离)、本地物种多样性、海拔和人类干扰对非本地物种入侵程度的相对作用大小。图中百分比表示每个特征对模型预测的影响程度, 百分比越高, 重要性越大。
Fig. 6 Relative contribution of phylogenetic distance (mean pairwise distance, MPD; mean nearest taxon distance, MNTD) between non-native species and native species, native species diversity, elevation, and human disturbance to the invasion severity of non-native species in the random forest models. PD, Phylogenetic diversity. Percentage in the figure represents the degree of influence each feature has on the model’s prediction. A higher percentage indicates greater importance.
| [1] |
Ackerly DD, Loarie SR, Cornwell WK, Weiss SB, Hamilton H, Branciforte R, Kraft NJB (2010) The geography of climate change: Implications for conservation biogeography. Diversity and Distributions, 16, 476-487.
DOI URL |
| [2] |
Afshana, Pinto-Ledezma JN, Reshi ZA, (2024) Phylogenetic relatedness of plant species co-occurring with an invasive alien plant species varies with elevation. Ecosphere, 15, e4966.
DOI URL |
| [3] | Alexander JM, Kueffer C, Daehler CC, Edwards PJ, Pauchard A, Seipel T, MIREN Consortium (2011) Assembly of nonnative floras along elevational gradients explained by directional ecological filtering. Proceedings of the National Academy of Sciences, USA, 108, 656-661. |
| [4] |
Antonelli A, Kissling WD, Flantua SGA, Bermúdez MA, Mulch A, Muellner-Riehl AN, Kreft H, Linder HP, Badgley C, Fjeldså J, Fritz SA, Rahbek C, Herman F, Hooghiemstra H, Hoorn C (2018) Geological and climatic influences on mountain biodiversity. Nature Geoscience, 11, 718-725.
DOI |
| [5] | Barros A, Haider S, Mullerova J, Alexander J, Alvarez M, Ashero V, Daehler C, Peyre G, Backes A, Arévalo J, Cavieres L, Dar P, Fuentes-Lillo E, Liedtke R, McDougall K, Milbau A, Morgan J, Naylor B, Nuñez M, Pauchard A, Rashid I, Reshi A, Rew L, Sandoya V, Seipel T, Vorstenbosch T, Vítková M, Walsh N, Wedegartner EM, Zong S, Lembrechts JJ (2022) The role of roads and trails for facilitating mountain plant invasions. In: Tourism, Recreation and Biological Invasions (eds Barros A, Shackleton R, Rew L, Pauchard A), pp. 14-26. CABI Publishing, London. |
| [6] | Bates D, Mächler M, Bolker B, Walker S (2015) Fitting linear mixed-effects models using lme4. Journal of Statistical Software, 67, 1-48. |
| [7] |
Beaury EM, Finn JT, Corbin JD, Barr V, Bradley BA (2020) Biotic resistance to invasion is ubiquitous across ecosystems of the United States. Ecology Letters, 23, 476-482.
DOI PMID |
| [8] |
Brooks ME, Kristensen K, van Benthem KJ, Magnusson A, Berg CW, Nielsen A, Skaug HJ, Mächler M, Bolker BM (2017) glmmTMB balances speed and flexibility among packages for zero-inflated generalized linear mixed modeling. The R Journal, 9, 378-400.
DOI URL |
| [9] | Bryant JA, Lamanna C, Morlon H, Kerkhoff AJ, Enquist BJ, Green JL (2008) Microbes on mountainsides: Contrasting elevational patterns of bacterial and plant diversity. Proceedings of the National Academy of Sciences, USA, 105, 11505-115011. |
| [10] | Bürkner PC (2017) brms: An R package for Bayesian multilevel models using Stan. Journal of Statistical Software, 80, 1-28. |
| [11] |
Capinha C, Essl F, Seebens H, Moser D, Pereira HM (2015) The dispersal of alien species redefines biogeography in the Anthropocene. Science, 348, 1248-1251.
DOI PMID |
| [12] |
Catford JA, Daehler CC, Murphy HT, Sheppard AW, Hardesty BD, Westcott DA, Rejmánek M, Bellingham PJ, Pergl J, Horvitz CC, Hulme PE (2012) The intermediate disturbance hypothesis and plant invasions: Implications for species richness and management. Perspectives in Plant Ecology, Evolution and Systematics, 14, 231-241.
DOI URL |
| [13] |
Chen PD, Shen CC, Tao ZB, Qin WC, Huang W, Siemann E (2024) Deterministic responses of biodiversity to climate change through exotic species invasions. Nature Plants, 10, 1464-1472.
DOI PMID |
| [14] |
Cheng C, Liu ZK, Song W, Chen X, Zhang ZJ, Li B, van Kleunen M, Wu JH (2024) Biodiversity increases resistance of grasslands against plant invasions under multiple environmental changes. Nature Communications, 15, 4506.
DOI PMID |
| [15] | Cheng YH, Qiao MJ, Tang L, Jin GM, Gao GJ, Tang Z, Liu MC, Yang J, He MW (2015) Investigation of exotic plants in Wolong National Nature Reserve. Journal of Sichuan Forestry Science and Technology, 36(3), 125-132. (in Chinese with English abstract) |
| [程跃红, 乔麦菊, 唐莉, 金国名, 高光玖, 唐卓, 刘明冲, 杨建, 何明武 (2015) 卧龙国家级自然保护区外来植物调查. 四川林业科技, 36(3), 125-132.] | |
| [16] |
Daehler CC (2001) Darwin’s naturalization hypothesis revisited. The American Naturalist, 158, 324-330.
DOI PMID |
| [17] |
Daru BH, Davies TJ, Willis CG, Meineke EK, Ronk A, Zobel M, Pärtel M, Antonelli A, Davis CC (2021) Widespread homogenization of plant communities in the Anthropocene. Nature Communications, 12, 6983.
DOI PMID |
| [18] |
Delavaux CS, Crowther TW, Zohner CM, Robmann NM, Lauber T, van den Hoogen J, Kuebbing S, Liang J, de-Miguel S, Nabuurs GJ, …, Woell H, Wortel V, Zagt R, Zawiła-Niedźwiecki T, Zhang C, Zhao X, Zhou M, Zhu ZX, Zo-Bi IC, Maynard DS (2023) Native diversity buffers against severity of non-native tree invasions. Nature, 621, 773-781.
DOI |
| [19] | Elton CS (1958) The Ecology of Invasions by Animals and Plants. University of Chicago Press, Chicago. |
| [20] |
Faith DP (1992) Conservation evaluation and phylogenetic diversity. Biological Conservation, 61, 1-10.
DOI URL |
| [21] |
Fan SY, Yang Q, Li SP, Fristoe TS, Cadotte MW, Essl F, Kreft H, Pergl J, Pyšek P, Weigelt P, Kartesz J, Nishino M, Wieringa JJ, van Kleunen M, (2023) A latitudinal gradient in Darwin’s naturalization conundrum at the global scale for flowering plants. Nature Communications, 14, 6244.
DOI |
| [22] |
Funk JL, Cleland EE, Suding KN, Zavaleta ES (2008) Restoration through reassembly: Plant traits and invasion resistance. Trends in Ecology & Evolution, 23, 695-703.
DOI URL |
| [23] |
Gallardo B, Aldridge DC, González-Moreno P, Pergl J, Pizarro M, Pyšek P, Thuiller W, Yesson C, Vilà M (2017) Protected areas offer refuge from invasive species spreading under climate change. Global Change Biology, 23, 5331-5343.
DOI PMID |
| [24] |
García-Rodríguez A, Lenzner B, Velasco JA, Schertler A, Omer A, Seebens H, Capinha C, Gallardo B, Dullinger S, Essl F (2025) The global distribution patterns of alien vertebrate richness in mountains. Nature Communications, 16, 1977.
DOI |
| [25] |
Graae BJ, De Frenne P, Kolb A, Brunet J, Chabrerie O, Verheyen K, Pepin N, Heinken T, Zobel M, Shevtsova A, Nijs I, Milbau A (2012) On the use of weather data in ecological studies along altitudinal and latitudinal gradients. Oikos, 121, 3-19.
DOI URL |
| [26] |
Guo K, Pyšek P, van Kleunen M, Kinlock NL, Lučanová M, Leitch IJ, Pierce S, Dawson W, Essl F, Kreft H, Lenzner B, Pergl J, Weigelt P, Guo WY (2024) Plant invasion and naturalization are influenced by genome size, ecology and economic use globally. Nature Communications, 15, 1330.
DOI PMID |
| [27] |
Haider S, Kueffer C, Bruelheide H, Seipel T, Alexander JM, Rew LJ, Arévalo JR, Cavieres LA, McDougall KL, Milbau A, Naylor BJ, Speziale K, Pauchard A (2018) Mountain roads and non-native species modify elevational patterns of plant diversity. Global Ecology and Biogeography, 27, 667-678.
DOI URL |
| [28] | Hu DM, Ye H, Qiu YX, Hou J, Bai J, He TM, Tan YC, Liu MC, Ye P (2020) Invasive risk assessment of alien plants along Wolong subalpine highway. Journal of Sichuan University (Natural Science Edition), 57, 1002-1008. (in Chinese with English abstract) |
| [胡冬梅, 叶红, 邱艳霞, 侯静, 白洁, 何廷美, 谭迎春, 刘明冲, 叶平 (2020) 卧龙亚高山公路沿线外来植物入侵风险评估. 四川大学学报(自然科学版), 57, 1002-1008.] | |
| [29] | IPBES (2019) Summary for Policymakers of the Global Assessment Report on Biodiversity and Ecosystem Services of the Intergovernmental Science-Policy Platform on Biodiversity and Ecosystem Services. IPBES Secretariat, Bonn, Germany. |
| [30] |
Jin Y, Qian H (2023) U.PhyloMaker: An R package that can generate large phylogenetic trees for plants and animals. Plant Diversity, 45, 347-352.
DOI |
| [31] | Johnstone J (2021) Alpine Plant Life: Functional Plant Ecology of High Mountain Ecosystems. By Christian Körner. Mountain Research and Development, 41, M1-M2. |
| [32] |
Kumschick S, Gaertner M, Vilà M, Essl F, Jeschke JM, Pyšek P, Ricciardi A, Bacher S, Blackburn TM, Dick JTA, Evans T, Hulme PE, Kühn I, Mrugała A, Pergl J, Rabitsch W, Richardson DM, Sendek A, Winter M (2015) Ecological impacts of alien species: Quantification, scope, caveats, and recommendations. BioScience, 65, 55-63.
DOI URL |
| [33] |
Lembrechts JJ, Lenoir J, Nuñez MA, Pauchard A, Geron C, Bussé G, Milbau A, Nijs I (2018) Microclimate variability in alpine ecosystems as stepping stones for non-native plant establishment above their current elevational limit. Ecography, 41, 900-909.
DOI URL |
| [34] |
Li HL, Luo P, Yang H, Li T, Luo C, Wu SJ, Jia HH, Cheng Y (2022) Effect of road corridors on plant diversity in the Qionglai Mountain range, China. Ecological Indicators, 134, 108504.
DOI URL |
| [35] | Lu ZJ (2005) Plant Community Resistance to the Invasion of Eupatorium adenophorum in Southwest China. PhD dissertation, Institute of Botany, Chinese Academy of Sciences, Beijing. (in Chinese with English abstract) |
| [卢志军 (2005) 中国西南地区植物群落的可入侵性与紫荆泽兰的入侵. 博士学位论文, 中国科学院植物研究所, 北京.] | |
| [36] |
Lüdecke D, Ben-Shachar MS, Patil I, Waggoner P, Makowski D (2021) performance: An R Package for assessment, comparison and testing of statistical models. Journal of Open Source Software, 6, 3139.
DOI URL |
| [37] |
McDougall KL, Lembrechts J, Rew LJ, Haider S, Cavieres LA, Kueffer C, Milbau A, Naylor BJ, Nuñez MA, Pauchard A, Seipel T, Speziale KL, Wright GT, Alexander JM (2018) Running off the road: Roadside non-native plants invading mountain vegetation. Biological Invasions, 20, 3461-3473.
DOI |
| [38] |
Mungi NA, Qureshi Q, Jhala YV (2021) Role of species richness and human impacts in resisting invasive species in tropical forests. Journal of Ecology, 109, 3308-3321.
DOI URL |
| [39] |
Nakagawa S, Schielzeth H (2013) A general and simple method for obtaining R2 from generalized linear mixed-effects models. Methods in Ecology and Evolution, 4, 133-142.
DOI URL |
| [40] |
Ogden NH, Wilson JRU, Richardson DM, Hui C, Davies SJ, Kumschick S, Le Roux JJ, Measey J, Saul WC, Pulliam JRC (2019) Emerging infectious diseases and biological invasions: A call for a One Health collaboration in science and management. Royal Society Open Science, 6, 181577.
DOI URL |
| [41] |
Omer A, Fristoe T, Yang Q, Razanajatovo M, Weigelt P, Kreft H, Dawson W, Dullinger S, Essl F, Pergl J, Pyšek P, van Kleunen M, (2022) The role of phylogenetic relatedness on alien plant success depends on the stage of invasion. Nature Plants, 8, 906-914.
DOI PMID |
| [42] |
Paradis E, Claude J, Strimmer K (2004) APE: Analyses of phylogenetics and evolution in R language. Bioinformatics, 20, 289-290.
DOI PMID |
| [43] | R Core Team (2024) R: A Language and Environment for Statistical Computing. R Foundation for Statistical Computing, Vienna, Austria. |
| [44] |
Rahbek C, Borregaard MK, Antonelli A, Colwell RK, Holt BG, Nogues-Bravo D, Rasmussen CMØ, Richardson K, Rosing MT, Whittaker RJ, Fjeldså J (2019) Building mountain biodiversity: Geological and evolutionary processes. Science, 365, 1114-1119.
DOI PMID |
| [45] |
Scherrer D, Körner C (2011) Topographically controlled thermal-habitat differentiation buffers alpine plant diversity against climate warming. Journal of Biogeography, 38, 406-416.
DOI URL |
| [46] | Sichuan Vegetation Cooperation Group (1980) Sichuan Vegetation. Sichuan People’s Publishing House, Chengdu. |
| [四川植被协作组 (1980) 四川植被. 四川人民出版社, 成都.] | |
| [47] |
Simberloff D (2009) The role of propagule pressure in biological invasions. Annual Review of Ecology, Evolution, and Systematics, 40, 81-102.
DOI URL |
| [48] | Stohlgren TJ, Jarnevich C, Chong GW, Evangelista PH (2006) Scale and plant invasions: A theory of biotic acceptance. Preslia, 78, 405-426. |
| [49] | Sun YB, Fu TT, Jin JQ, Chen J (2018) Species groups distributed across elevational gradients reveal convergent and continuous genetic adaptation to high elevations. Proceedings of the National Academy of Sciences, USA, 115, E10634-E10641. |
| [50] |
Thuiller W, Gallien L, Boulangeat I, De Bello F, Münkemüller T, Roquet C, Lavergne S (2010) Resolving Darwin’s naturalization conundrum: A quest for evidence. Diversity and Distributions, 16, 461-475.
DOI URL |
| [51] | Villéger S, Blanchet S, Beauchard O, Brosse S (2011) Homogenization patterns of the world’s freshwater fish faunas. Proceedings of the National Academy of Sciences, USA, 108, 18003-18008. |
| [52] | Vitousek PM, DAntonio CM, Loope LL, Rejmanek M, Westbrooks RG (1997) Introduced species: A significant component of human-caused global change. New Zealand Journal of Ecology, 21, 1-16. |
| [53] |
Walther GR, Roques A, Hulme PE, Sykes MT, Pysek P, Kühn I, Zobel M, Bacher S, Botta-Dukát Z, Bugmann H, Czúcz B, Dauber J, Hickler T, Jarosík V, Kenis M, Klotz S, Minchin D, Moora M, Nentwig W, Ott J, Panov VE, Reineking B, Robinet C, Semenchenko V, Solarz W, Thuiller W, Vilà M, Vohland K, Settele J (2009) Alien species in a warmer world: Risks and opportunities. Trends in Ecology & Evolution, 24, 686-693.
DOI URL |
| [54] |
Wang S, Li J, Yu P, Guo LY, Zhou JH, Yang J, Wu WW (2025) Convergent evolution in angiosperms adapted to cold climates. Plant Communications, 6, 101258.
DOI URL |
| [55] | Wen AB, Tang Q, Ouyang CJ, Zhu B, Wang YK, Li AN, Li S, Zhu WZ, Liu LJ (2023) Mountain protection and mountain development in China: Review and prospect. Bulletin of Chinese Academy of Sciences, 38, 376-384. (in Chinese with English abstract) |
| [文安邦, 汤青, 欧阳朝军, 朱波, 王玉宽, 李爱农, 栗帅, 朱万泽, 刘丽君 (2023) 中国山地保护与山区发展: 回顾与展望. 中国科学院院刊, 38, 376-384.] | |
| [56] | Wright MN, Ziegler A (2017) ranger: A fast implementation of random forests for high dimensional data in C++ and R. Journal of Statistical Software, 77, 1-17. |
| [57] |
Xu M, Li SP, Liu CL, Tedesco PA, Dick JTA, Fang M, Wei H, Yu FD, Shu L, Wang XJ, Gu DG, Mu XD (2024) Global freshwater fish invasion linked to the presence of closely related species. Nature Communications, 15, 1411.
DOI PMID |
| [58] |
Zhang X, Kuang TH, Dong WL, Qian ZH, Zhang HJ, Landis JB, Feng T, Li LJ, Sun YX, Huang JL, Deng T, Wang HC, Sun H (2023) Genomic convergence underlying high-altitude adaptation in alpine plants. Journal of Integrative Plant Biology, 65, 1620-1635.
DOI |
| [59] |
Zheng SS, Chen XB, Xu WN, Luo ZR, Xia GS (2018) Effects of exotic-native species relationship on naturalization and invasion of exotic plant species. Chinese Journal of Plant Ecology, 42, 990-999. (in Chinese with English abstract)
DOI URL |
|
[郑珊珊, 陈旭波, 许微楠, 骆争荣, 夏更寿 (2018) 外来种-本地种亲缘关系对外来植物归化和入侵的影响. 植物生态学报, 42, 990-999.]
DOI |
| No related articles found! |
| 阅读次数 | ||||||
|
全文 |
|
|||||
|
摘要 |
|
|||||
备案号:京ICP备16067583号-7
Copyright © 2022 版权所有 《生物多样性》编辑部
地址: 北京香山南辛村20号, 邮编:100093
电话: 010-62836137, 62836665 E-mail: biodiversity@ibcas.ac.cn