蒙古栎纯林根际与非根际微生物群落结构对土壤碳氮的响应 |
| 侯馨博, 赵秀海, 何怀江, 张春雨, 王娟, 任雪莹, 张新娜 |
|
Responses of rhizosphere and non-rhizosphere microbial communities to the soil carbon and nitrogen in Quercus mongolica pure forest |
| Xinbo Hou, Xiuhai Zhao, Huaijiang He, Chunyu Zhang, Juan Wang, Xueying Ren, Xinna Zhang |
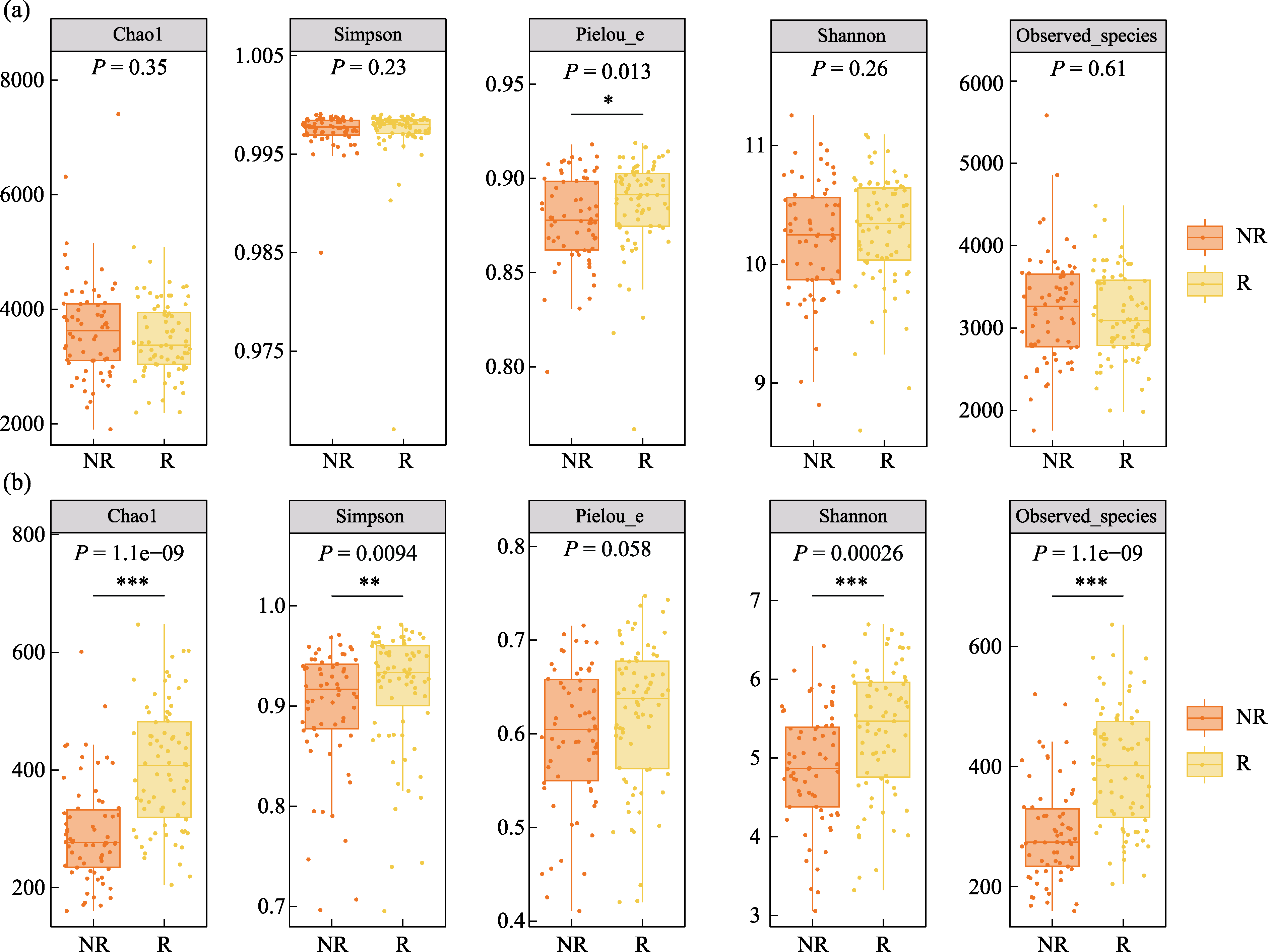
| 图2 根际(R)与非根际(NR)土壤细菌(a)和真菌(b)群落α多样性指数。Chao1: Chao1丰富度指数; Simpson: Simpson多样性指数; Pielou_e: Pielou均匀度指数; Shannon: Shannon多样性指数; Observed_species: Observed species丰富度指数。* P < 0.05; ** P < 0.01; *** P < 0.001。 |
| Fig. 2 α diversity indices of bacterial (a) and fungal (b) communities in rhizosphere (R) and non-rhizosphere (NR) soils. Chao1, Chao1 richness index; Simpson, Simpson diversity index; Pielou_e, Pielou evenness index; Shannon, Shannon diversity index; Observed_species, Observed species richness index. * P < 0.05; ** P < 0.01; *** P < 0.001. |
|