燕山地区访花昆虫多样性及其影响因子 |
| 韩艺茹, 薛琪琪, 宋厚娟, 祁靖宇, 高瑞贺, 崔绍朋, 门丽娜, 张志伟 |
|
Diversity and influencing factors of flower-visiting insects in the Yanshan area |
| Yiru Han, Qiqi Xue, Houjuan Song, Jingyu Qi, Ruihe Gao, Shaopeng Cui, Lina Men, Zhiwei Zhang |
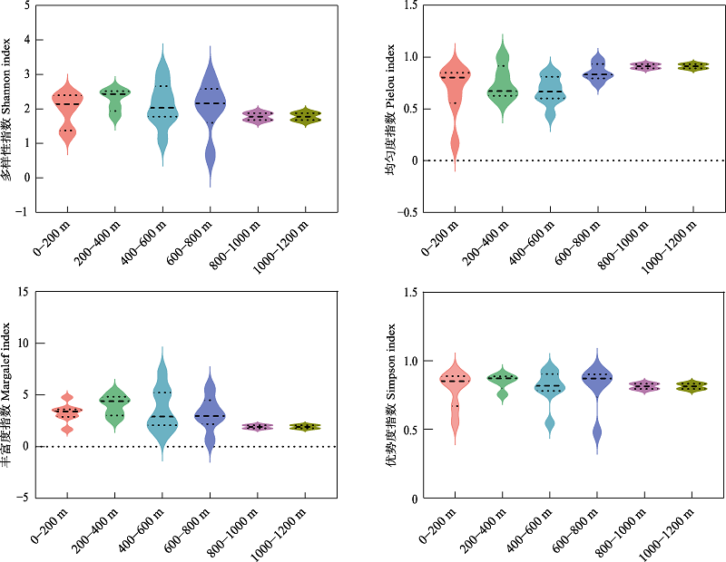
| 图5 燕山地区不同海拔条件访花昆虫多样性差异 |
| Fig. 5 Differences of flower-visiting insects diversity under different altitudes in Yanshan area |
|