土壤动物的分子分类预测策略评估 |
| 徐聪, 张飞宇, 俞道远, 孙新, 张峰 |
|
Performance evaluation of molecular taxonomy assignment tools for soil invertebrates |
| Cong Xu, Feiyu Zhang, Daoyuan Yu, Xin Sun, Feng Zhang |
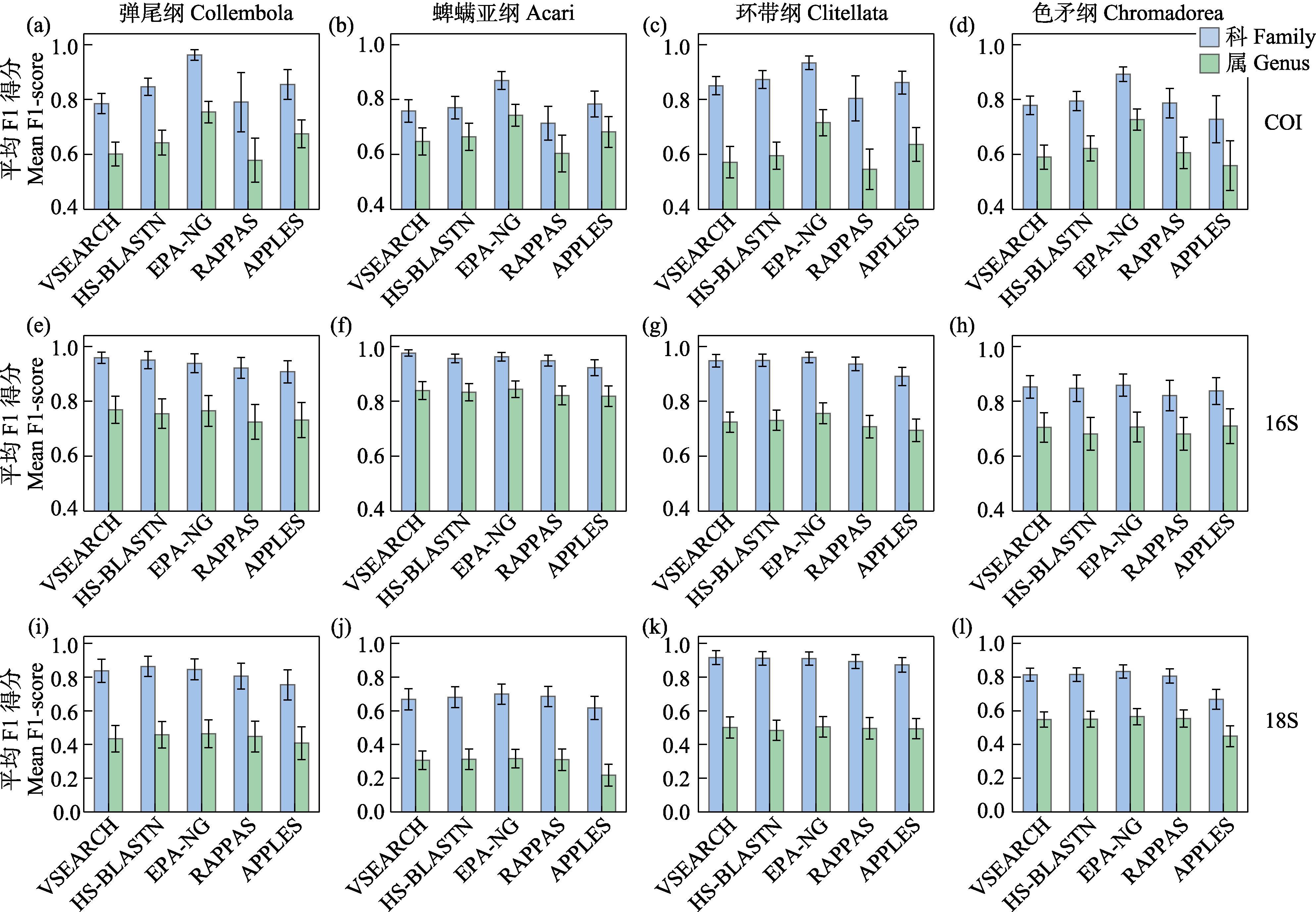
| 图2 5款分类预测软件在4个类群和3种条码应用中的平均F1分数 |
| Fig. 2 Mean F1-score of five taxonomic assignment tools among four groups and three markers |
|